A Varactor-Based Very Compact Tunable Filter with Wide Tuning Range for 4G and Sub-6 GHz 5G Communications
Abstract
1. Introduction
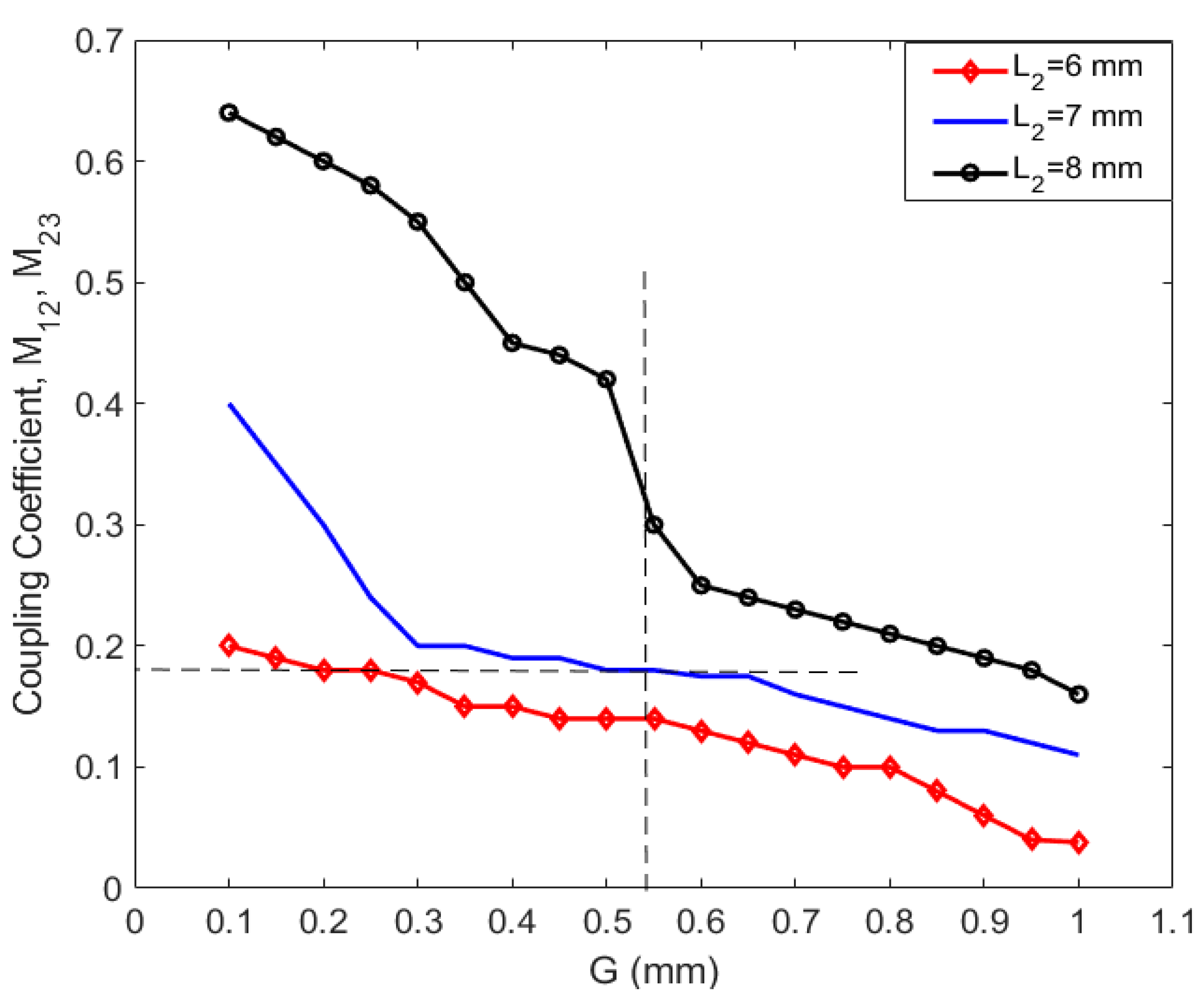
2. Microstrip Asymmetrical Coupled Line BPF
3. Reconfigurable BPF Design Using a Hybrid Simulation Technique
4. Reconfigurable Simulation and Measurement Results
5. Conclusions
Author Contributions
Funding
Acknowledgments
Conflicts of Interest
References
- Malherbe, J. Microwave Transmission Line Filters, 1st ed.; Artech House Inc.: London, UK, 1979. [Google Scholar]
- Karacaoglu, U.; Robertson, I.D.; Guglielmi, M. An improved dual-mode microstrip ring resonator filter with simple geometry. In Proceedings of the 24th European Microwave Conference, Cannes, France, 5–9 September 1994; pp. 472–477. [Google Scholar]
- Hong, J.S.; Li, S. Theory and experiment of dual-mode microstrip triangular patch resonators and filters. IEEE Trans. Microw. Theory Tech. 2004, 52, 1237–1243. [Google Scholar] [CrossRef]
- Wang, S.-M.; Chi, C.-H.; Hsieh, M.-Y.; Chang, C.-Y. Miniaturized spurious passband suppression microstrip filter using meandered parallel coupled lines. IEEE Trans. Microw. Theory Tech. 2005, 53, 747–753. [Google Scholar] [CrossRef]
- Al-Yasir, Y.; Abdullah, A.; Ojaroudi Parchin, N.; Abd-Alhameed, R.; Noras, J. A New Polarization-Reconfigurable Antenna for 5G Applications. Electronics 2018, 7, 293. [Google Scholar] [CrossRef]
- Dinh, D.D.; Lancaster, M.J. Microwave Power Sensors with Integrated Filtering Function for Transfer Power Standards. IEEE Microw. Wirel. Compon. Lett. 2020, 30, 308–311. [Google Scholar] [CrossRef]
- Al-Yasir, Y.I.A.; Abdullah, A.; Mohammed, H.; Mohammed, B.; Abd-Alhameed, R. Design of Radiation Pattern-Reconfigurable 60-GHz Antenna for 5G Applications. J. Telecommun. 2014, 27, 7–11. [Google Scholar]
- Melgarejo, J.C.; Ossorio, J.; Cogollos, S.; Guglielmi, M.; Boria, V.E.; Bandler, J.W. On Space Mapping Techniques for Microwave Filter Tuning. IEEE Trans. Microw. Theory Tech. 2019, 67, 4860–4870. [Google Scholar] [CrossRef]
- Yasir, I.A.A.; Hasanain, A.H.A.; Baha, A.S.; Parchin, N.O.; Ahmed, M.A.; Abdulkareem, S.A.; Raed, A.A. New Radiation Pattern-Reconfigurable 60-GHz Antenna for 5G Communications. In Modern Printed Circuit Antennas; IntechOpen: London, UK, 2019; Available online: https://www.intechopen.com/online-first/new-radiation-pattern-reconfigurable-60-ghz-antenna-for-5g-communications (accessed on 26 September 2019). [CrossRef]
- Chen, F.; Li, R.; Chu, Q. Ultra-Wide Stopband Low-Pass Filter Using Multiple Transmission Zeros. IEEE Access 2017, 5, 6437–6443. [Google Scholar] [CrossRef]
- Wu, Y.; Cui, L.; Zhang, W.; Jiao, L.; Zhuang, Z.; Liu, Y. High performance single-ended wideband and balanced bandpass filters loaded with stepped-impedance stubs. IEEE Access 2017, 5, 5972–5981. [Google Scholar] [CrossRef]
- Jin, X.; Huang, X.; Chen, D.; Cheng, C. Response diversity of stub loaded ring bandpass filter based on commensurate line element: Single and dual-band applications. IEEE Access 2019, 7, 25681–25689. [Google Scholar] [CrossRef]
- Psychogiou, D.; Gomez-Garcia, R.; Peroulis, D. RF wide-band bandpass filter with dynamic in-band multi-interference suppression capability. IEEE Trans. Circuits Syst. II Express Briefs 2018, 65, 898–902. [Google Scholar] [CrossRef]
- Ni, J.; Hong, J. Compact varactor-tuned microstrip high-pass filter with a quasi-elliptic function response. IEEE Trans. Microw. Theory Tech. 2013, 61, 3853–3859. [Google Scholar] [CrossRef]
- Xiao, J.-K.; Qi, X.; Wang, H.-X.; Ma, J.-G. High selective balanced bandpass filters using end-connected conductor-backed coplanar waveguide. IEEE Access 2019, 7, 16184–16193. [Google Scholar] [CrossRef]
- Feng, W.; Gao, X.; Che, W.; Yang, W.; Xue, Q. High selectivity wideband balanced filters with multiple transmission zeros. IEEE Trans. Circuits Syst. II Express Briefs 2017, 64, 1182–1186. [Google Scholar] [CrossRef]
- Zhou, W.-J.; Chen, J.-X. High-selectivity tunable balanced bandpass filter with constant absolute bandwidth. IEEE Trans. Circuits Syst. II Express Briefs 2017, 64, 917–921. [Google Scholar] [CrossRef]
- Chan, K.Y.; Ramer, R.; Mansour, R.R.; Sorrentino, R. Design of Waveguide Switches Using Switchable Planar Bandstop Filters. IEEE Microw. Wirel. Compon. Lett. 2016, 26, 798–800. [Google Scholar] [CrossRef]
- Xie, Y.; Chen, F.-C.; Li, Z. Design of dual-band bandpass filter with high isolation and wide stopband. IEEE Access 2017, 5, 25602–25608. [Google Scholar] [CrossRef]
- Bi, X.-K.; Cheng, T.; Cheong, P.; Ho, S.-K.; Tam, K.-W. Design of dual-band bandpass filters with fixed and reconfigurable bandwidths based on terminated cross-shaped resonators. IEEE Trans. Circuits Syst. II Express Briefs 2019, 66, 317–321. [Google Scholar] [CrossRef]
- Levy, R.; Snyder, R.V.; Matthaei, G. Design of microwave filters. IEEE Trans. Microw. Theory Tech. 2002, 50, 783–793. [Google Scholar] [CrossRef]
- Gómez-García, R.; Yang, L.; Muñoz-Ferreras, J.; Psychogiou, D. Single/Multi-Band Coupled-Multi-Line Filtering Section and Its Application to RF Diplexers, Bandpass/Bandstop Filters, and Filtering Couplers. IEEE Trans. Microw. Theory Tech. 2019, 67, 3959–3972. [Google Scholar] [CrossRef]
- Richard, J.C.; Chandra, M.K.; Raafat, R.M. Microwave Filters for Communication Systems Fundamentals, Design, and Applications; John Wiley and Sons: Hoboken, NJ, USA, 2017. [Google Scholar]
- Ian, H. Theory and Design of Microwave Filters; IET Electromagnetic Waves Series 48; IET: London, UK, 2006. [Google Scholar]
- Alam, T.; Thummaluru, S.R.; Chaudhary, R.K. Integration of MIMO and Cognitive Radio for Sub-6 GHz 5G Applications. IEEE Antennas Wirel. Propag. Lett. 2019, 18, 2021–2025. [Google Scholar] [CrossRef]
- Machavaram, V.R.; Nistala, B.R. A Compact Low Loss Onchip Bandpass Filter For 5G Radio Front End Using Integrated Passive Device Technology. In Proceedings of the 2019 Third International conference on I-SMAC (IoT in Social, Mobile, Analytics and Cloud) (I-SMAC), Palladam, India, 12–14 December 2019; pp. 649–654. [Google Scholar]
- Guan, Y.; Wu, Y.; Tentzeris, M.M. A Bidirectional Absorptive Common-Mode Filter Based on Interdigitated Microstrip Coupled Lines for 5G “Green” Communications. IEEE Access 2020, 8, 20759–20769. [Google Scholar] [CrossRef]
- Al-Yasir, Y.I.A.; Ojaroudi Parchin, N.; Abdulkhaleq, A.M.; Bakr, M.S.; Abd-Alhameed, R.A. A Survey of Differential-Fed Microstrip Bandpass Filters: Recent Techniques and Challenges. Sensors 2020, 20, 2356. [Google Scholar] [CrossRef] [PubMed]
- Li, Y.; Zhao, Z.; Tang, Z.; Yin, Y. Differentially-Fed, Wideband Dual-Polarized Filtering Antenna with Novel Feeding Structure for 5G Sub-6 GHz Base Station Applications. IEEE Access 2019, 7, 184718–184725. [Google Scholar] [CrossRef]
- Al-Yasir, Y.I.A.; Parchin, N.O.; Abd-Alhameed, R.A. A Differential-Fed Dual-Polarized High-Gain Filtering Antenna Based on SIW Technology for 5G Applications. In Proceedings of the 14th European Conference on Antennas and Propagation (EuCAP), Copenhagen, Denmark, 15–20 March 2020; pp. 1–5. [Google Scholar]
- Al-Yasir, Y.; Parchin, N.O.; Rachman, Z.-A.S.A.; Ullah, A.; Abd-Alhameed, R. Compact tunable microstrip filter with wide-stopband restriction and wide tuning range for 4G and 5G applications. In Proceedings of the IET’s Antennas and Propagation Conference, Birmingham, UK, 11–12 November 2019; pp. 1–6. [Google Scholar]
- Al-Yasir, Y.I.A.A.; JaroudiParchin, N.O.; Alabdullah, A.; Mshwat, W.; Ullah, A.; Abd-Alhameed, R. New Pattern Reconfigurable Circular Disk Antenna Using Two PIN Diodes for WiMax/WiFi (IEEE 802. 11 a) Applications. In Proceedings of the 2019 16th International Conference on Synthesis, Modeling, Analysis and Simulation Methods and Applications to Circuit Design (SMACD), Lausanne, Switzerland, 15–18 July 2019; pp. 53–56. [Google Scholar]
- Al-Yasir, Y.I.A.; Parchin, N.O.; Abd-Alhameed, R.A. New High-Gain Differential-Fed Dual-Polarized Filtering Microstrip Antenna for 5G Applications. In Proceedings of the 14th European Conference on Antennas and Propagation (EuCAP), Copenhagen, Denmark, 15–20 March 2020; pp. 1–5. [Google Scholar]
- Al-Yasir, Y.; Abd-Alhameed, R.A.; Noras, J.M.; Abdulkhaleq, A.M.; Ojaroudi, N. Design of Very Compact Combline Band-Pass Filter for 5G Applications. In Proceedings of the Loughborough Antennas & Propagation Conference (LAPC), Loughborough, UK, 12–13 November 2018; pp. 1–4. [Google Scholar]
- Gómez-García, R.; Rosario-De Jesus, J.; Psychogiou, D. Multi-Band Bandpass and Bandstop RF Filtering Couplers with Dynamically-Controlled Bands. IEEE Access 2018, 6, 32321–32327. [Google Scholar] [CrossRef]
- Al-Yasir, Y.I.A.; Parchin, N.O.; Abdulkhaleq, A.; Hameed, K.; Al-Sadoon, M.; Abd-Alhameed, R. Design, Simulation and Implementation of Very Compact Dual-band Microstrip Bandpass Filter for 4G and 5G Applications. In Proceedings of the 16th International Conference on Synthesis, Modeling, Analysis and Simulation Methods and Applications to Circuit Design (SMACD), Lausanne, Switzerland, 15–18 July 2019; pp. 41–44. [Google Scholar]
- Hua, C.; Li, R.; Wang, Y.; Lu, Y. Dual-Polarized Filtering Antenna With Printed Jerusalem-Cross Radiator. IEEE Access 2018, 6, 9000–9005. [Google Scholar] [CrossRef]
- Li, Y.; Zhao, Z.; Tang, Z.; Yin, Y. Differentially Fed, Dual-Band Dual-Polarized Filtering Antenna with High Selectivity for 5G Sub-6 GHz Base Station Applications. IEEE Trans. Antennas Propag. 2020, 68, 3231–3236. [Google Scholar] [CrossRef]
- Al-Yasir, Y.I.A.; Parchin, N.O.; Alabdallah, A.; Abdulkhaleq, A.M.; Sajedin, M.; Elfergani, I.T.E.; Abd-Alhameed, R.A. Design, Simulation and Implementation of Very Compact Open-loop Trisection BPF for 5G Communications. In Proceedings of the 2019 IEEE 2nd 5G World Forum (5GWF), Dresden, Germany, 30 September–2 October 2019; pp. 189–193. [Google Scholar]
- David, M.P. Microwave Engineering; John Wiley and Sons: Hoboken, NJ, USA, 2012. [Google Scholar]
- Chen, C.; Hsu, C.; Chuang, H. Design of Miniature Planar Dual-Band Filter Using Dual-Feeding Structures and Embedded Resonators. IEEE Microw. Wireless Compon. Lett. 2006, 16, 669–671. [Google Scholar] [CrossRef]
- Zhou, M.; Tang, X.; Xiao, F. Miniature Microstrip Bandpass Filter Using Resonator-Embedded Dual-Mode Resonator Based on Source-Load Coupling. IEEE Microw. Wirel. Compon. Lett. 2010, 20, 139–141. [Google Scholar] [CrossRef]
- Al-Yasir, Y.I.A.; Tu, Y.; Parchin, N.O.; Elfergani, I.; Abd-Alhameed, R.; Rodriguez, J.; Noras, J. Mixed-coupling multi-function quint-wideband asymmetric stepped impedance resonator filter. Microw. Opt. Technol. Lett. 2019, 61, 1181–1184. [Google Scholar] [CrossRef]
- Park, S.J.; Van Caekenberghe, K.; Rebeiz, G.M. A miniature 2.1-GHz low loss microstrip filter with independent electric and magnetic coupling. IEEE Microw. Wirel. Compon. Lett. 2004, 14, 496–498. [Google Scholar] [CrossRef]
- Al-Yasir, Y.I.A.; Tu, Y.; Parchin, N.O.; Abdulkhaleq, A.; Kosha, J.; Ullah, A.; Abd-Alhameed, R.; Noras, J. New Multi-standard Dual-Wideband and Quad-Wideband Asymmetric Step Impedance Resonator Filters with Wide Stop Band Restriction. Int. J. RF Microw. Comput. Aided Eng. 2019, 29, e21802. [Google Scholar] [CrossRef]
- Ghatak, R.; Sarkar, P.; Mishra, R.K.; Poddar, D.R. A Compact UWB Bandpass Filter with Embedded SIR as Band Notch Structure. IEEE Microw. Wirel. Compon. Lett. 2011, 21, 261–263. [Google Scholar] [CrossRef]
- Liu, H.; Liu, T.; Zhang, Q.; Ren, B.; Wen, P. Compact Balanced Bandpass Filter Design Using Asymmetric SIR Pairs and Spoof Surface Plasmon Polariton Feeding Structure. IEEE Microw. Wirel. Compon. Lett. 2018, 28, 987–989. [Google Scholar] [CrossRef]
- Al-Yasir, Y.I.A.; Tu, Y.; Bakr, M.S.; Parchin, N.O.; Asharaa, A.S.; Mshwat, W.A.; Abd-Alhameed, R.A.; Noras, J.M. Design of multi-standard single/tri/quint-wideband asymmetric stepped-impedance resonator filters with adjustable TZs. IET Microw. Antennas Propag. 2019, 13, 1637–1645. [Google Scholar] [CrossRef]
- Yuceer, M. A Reconfigurable Microwave Combline Filter. IEEE Trans. Circuits Syst. II Express Briefs 2016, 63, 84–88. [Google Scholar] [CrossRef]
- Cho, Y.; Baek, H.; Lee, H.; Yun, S. A Dual-Band Combline Bandpass Filter Loaded by Lumped Series Resonators. IEEE Microw. Wirel. Compon. Lett. 2009, 19, 626–628. [Google Scholar] [CrossRef]
- Velez, P.; Naqui, J.; Fernández-Prieto, A.; Duran-Sindreu, M.; Bonache, J.; Martel, J.; Medina, F.; Martin, F. Differential Bandpass Filter With Common-Mode Suppression Based on Open Split Ring Resonators and Open Complementary Split Ring Resonator. IEEE Microw. Wirel. Compon. Lett. 2013, 23, 22–24. [Google Scholar] [CrossRef]
- Chen, D.; Pan, W.; Jiang, P.; Jin, J.; Mo, T.; Zhou, J. Reconfigurable Dual-Channel Multiband RF Receiver for GPS/Galileo/BD-2 Systems. IEEE Trans. Microw. Theory Tech. 2012, 60, 3491–3501. [Google Scholar] [CrossRef]
- Wang, G.; Polley, T.; Hunt, A.; Papapolymerou, J. A high performance tunable RF MEMS switch using barium strontium titanate (BST) dielectrics for reconfigurable antennas and phased arrays. IEEE Antennas Wirel. Propag. Lett. 2005, 4, 217–220. [Google Scholar] [CrossRef]
- Zhou, Z.; Melde, K.L. Frequency Agility of Broadband Antennas Integrated With a Reconfigurable RF Impedance Tuner. IEEE Antennas Wirel. Propag. Lett. 2007, 6, 56–59. [Google Scholar] [CrossRef]
- Al-Yasir, Y.I.A.; Parchin, N.O.; Abdulkhaleq, A.; Abd-Alhameed, R.; Noras, J. Recent Progress in the Design of 4G/5G Reconfigurable Filters. Electronics 2019, 8, 114. [Google Scholar] [CrossRef]
- Tang, W.; Hong, J. Varactor-Tuned Dual-Mode Bandpass Filters. IEEE Trans. Microw. Theory Tech. 2010, 58, 2213–2219. [Google Scholar] [CrossRef]
- Long, J.; Li, C.; Cui, W.; Huangfu, J.; Ran, L. A Tunable Microstrip Bandpass Filter with Two Independently Adjustable Transmission Zeros. IEEE Microw. Wirel. Compon. Lett. 2011, 21, 74–76. [Google Scholar] [CrossRef]
- Al-Yasir, Y.I.A.; Parchin, N.O.; Alabdallah, A.; Abdulkhaleq, A.M.; Abd-Alhameed, R.A.; Noras, J.M. Design of Bandpass Tunable Filter for Green Flexible RF for 5G. In Proceedings of the 2019 IEEE 2nd 5G World Forum (5GWF), Dresden, Germany, 30 September–2 October 2019. [Google Scholar]
- Ebrahimi, A.; Baum, T.; Scott, J.; Ghorbani, K. Continuously Tunable Dual-Mode Bandstop Filter. IEEE Microw. Wirel. Compon. Lett. 2018, 28, 419–421. [Google Scholar] [CrossRef]
- Chen, C.; Wang, G.; Li, J. Microstrip Switchable and Fully Tunable Bandpass Filter with Continuous Frequency Tuning Range. IEEE Microw. Wirel. Compon. Lett. 2018, 28, 500–502. [Google Scholar] [CrossRef]
- Chen, F.; Li, R.; Chen, J. Tunable Dual-Band Bandpass-To-Bandstop Filter Using pin Diodes and Varactors. IEEE Access 2018, 6, 46058–46065. [Google Scholar] [CrossRef]
- Lu, D.; Tang, X.; Barker, N.; Feng, Y. Single-Band and Switchable Dual-/Single-Band Tunable BPFs With Predefined Tuning Range, Bandwidth, and Selectivity. IEEE Trans. Microw. Theory Tech. 2018, 66, 1215–1227. [Google Scholar] [CrossRef]
- Song, K.; Wang, X.; Fan, M.; Chen, Y.; Patience, S.R.; Iman, A.M.; Fan, Y. Tunable balanced bandpass filter with constant absolute bandwidth and high common mode suppression. IET Microw. Antennas Propag. 2020, 14, 147–152. [Google Scholar] [CrossRef]
- Li, C.; Xue, Q. Tunable Balanced Bandpass Filter With Constant Bandwidth and High Common-Mode Suppression. IEEE Trans. Microw. Theory Tech. 2011, 59, 2452–2460. [Google Scholar] [CrossRef]
- CST Studio Suite. Dassault Systems; Dassault Systemes: Vélizy-Villacoublay, France, 2019. [Google Scholar]
- Jin, G.; Deng, C.; Xu, Y.; Yang, J.; Liao, S. Differential Frequency-Reconfigurable Antenna Based on Dipoles for Sub-6 GHz 5G and WLAN Applications. IEEE Antennas Wirel. Propag. Lett. 2020, 19, 472–476. [Google Scholar] [CrossRef]
- Shahgholi, A.; Moradi, G.; Abdipour, A. Low-Profile Frequency-Reconfigurable LTE-CRLH Antenna for Smartphones. IEEE Access 2020, 8, 26487–26494. [Google Scholar] [CrossRef]
- Abdulraheem, Y.I.; Abdullah, A.; Mohammed, H.; Abd-Alhameed, R.; Noras, J. Design of Frequency reconfigurable Multiband Compact Antenna using two PIN diodes for WLAN/WiMAX Applications. IET Microw. Antennas Propag. 2017, 11, 1098–1105. [Google Scholar] [CrossRef]
- Subbaraj, S.; Kanagasabai, M.; Alsath, M.G.N.; Palaniswamy, S.K.; Kingsly, S.; Kulandhaisamy, I.; Shrivastav, A.K.; Natarajan, R.; Meiyalagan, S.; Meiyalagan, S. A Compact Frequency-Reconfigurable Antenna with Independent Tuning for Hand-Held Wireless Devices. IEEE Trans. Antennas Propag. 2020, 68, 1151–1154. [Google Scholar] [CrossRef]
- Al-Yasir, Y.I.; Alhamadani, H.A.A.; Kadhim, A.S.; Ojaroudi Parchin, N.; Saleh, A.L.; Elfergani, I.T.E.; Rodriguez, J.; Abd-Alhameed, R.A. Design of a Wide-Band Microstrip Filtering Antenna with Modified Shaped Slots and SIR Structure. Inventions 2020, 5, 11. [Google Scholar] [CrossRef]
- Rodrigues, L.; Varum, T.; Matos, J.N. The Application of Reconfigurable Filtennas in Mobile Satellite Terminals. IEEE Access 2020, 8, 77179–77187. [Google Scholar] [CrossRef]
- Al-Yasir, Y.I.A.; Alkhafaji, M.K.; Alhamadani, A.; Ojaroudi Parchin, N.; Elfergani, I.; Saleh, A.L.; Rodriguez, J.; Abd-Alhameed, R.A. A New and Compact Wide-Band Microstrip Filter-Antenna Design for 2.4 GHz ISM Band and 4G Applications. Electronics 2020, 9, 1084. [Google Scholar] [CrossRef]
- Abdel-Jabbar, H.; Kadhim, A.S.; Saleh, A.L.; Al-Yasir, Y.I.; Parchin, N.O.; Abd-Alhameed, R.A. Design and optimization of microstrip filtering antenna with modified shaped slots and SIR filter to improve the impedance bandwidth. Telkomnika Telecommun. Comput. Electron. Control 2020, 18, 515–545. [Google Scholar] [CrossRef]
- Alkhafaji, M.K.; Hana’a, A.A.; Al-Yasir, Y.I.; Saleh, A.L.; Parchin, N.O.; Abd-Alhameed, R.A. Study on the effect of the substrate material type and thickness on the performance of the filtering antenna design. Telkomnika Telecommun. Comput. Electron. Control 2020, 18, 72–79. [Google Scholar] [CrossRef]
- Chen, S.; Karmokar, D.K.; Li, Z.; Qin, P.; Ziolkowski, R.W.; Guo, Y.J. Continuous Beam Scanning at a Fixed Frequency with a Composite Right-/Left-Handed Leaky-Wave Antenna Operating over a Wide Frequency Band. IEEE Trans. Antennas Propag. 2019, 67, 7272–7284. [Google Scholar] [CrossRef]


















| Ref. | Tuning Range (GHz)/(%) | Fractional Tuning Range (%) | BW (MHz)/(%) | Tunable Fractional Bandwidth (%) | No. of Switches | IL (dB) | |
|---|---|---|---|---|---|---|---|
| [56] | 0.6–1.0 | 50 | 85–95 | 8–9 | 3 | 2.2 | 30 × 23 × 1.27/ 0.2 × 0.15 × 0.008 |
| [57] | 1.5–2.0 | 28.5 | 93–110 | 5–7 | 4 | 4 | 36 × 30 × 0.80/ 0.60 × 0.50 × 0.013 |
| [59] | 0.66–0.99 | 41 | 92–108 | 6–8 | 4 | 0.75 | 72 × 70 × 1.6/ 0.53 × 0.53 × 0.01 |
| [60] | 1.1–2.1 | 62 | 28–40 | 1–3 | 7 | 6 | 52 × 12 × 1.6/ 0.61 × 0.14 × 0.02 |
| [61] | 1.7–2.9 | 52.1 | 32–40 | 1–2 | 7 | 4 | 36 × 35 × 0.8/ 0.65 × 0.63 × 0.02 |
| [62] | 0.76–2 | 69.2 | 75–150 | 1–7 | 4 | 1.2 | 100 × 8 × 0.50/ 0.80 × 0.06 × 0.004 |
| [63] | 0.97–1.72 | 55 | 56–64 | 3–5 | 4 | 4.5 | 42 × 35 × 0.63/ 0.43 × 0.36 × 0.006 |
| [64] | 0.90–1.7 | 61.5 | 80–85 | 4–6 | 4 | 4.3 | 48 × 40 × 0.51/ 0.46 × 0.40 × 0.005 |
| this work | 2.5–3.8 | 41.3 | 95–115 | 7–9 | 2 | 0.8 | 13 × 8 × 0.80/ 0.3 × 0.2 × 0.02 |
© 2020 by the authors. Licensee MDPI, Basel, Switzerland. This article is an open access article distributed under the terms and conditions of the Creative Commons Attribution (CC BY) license (http://creativecommons.org/licenses/by/4.0/).
Share and Cite
Al-Yasir, Y.I.A.; Ojaroudi Parchin, N.; Tu, Y.; Abdulkhaleq, A.M.; Elfergani, I.T.E.; Rodriguez, J.; Abd-Alhameed, R.A. A Varactor-Based Very Compact Tunable Filter with Wide Tuning Range for 4G and Sub-6 GHz 5G Communications. Sensors 2020, 20, 4538. https://doi.org/10.3390/s20164538
Al-Yasir YIA, Ojaroudi Parchin N, Tu Y, Abdulkhaleq AM, Elfergani ITE, Rodriguez J, Abd-Alhameed RA. A Varactor-Based Very Compact Tunable Filter with Wide Tuning Range for 4G and Sub-6 GHz 5G Communications. Sensors. 2020; 20(16):4538. https://doi.org/10.3390/s20164538
Chicago/Turabian StyleAl-Yasir, Yasir I. A., Naser Ojaroudi Parchin, Yuxiang Tu, Ahmed M. Abdulkhaleq, Issa T. E. Elfergani, Jonathan Rodriguez, and Raed A. Abd-Alhameed. 2020. "A Varactor-Based Very Compact Tunable Filter with Wide Tuning Range for 4G and Sub-6 GHz 5G Communications" Sensors 20, no. 16: 4538. https://doi.org/10.3390/s20164538
APA StyleAl-Yasir, Y. I. A., Ojaroudi Parchin, N., Tu, Y., Abdulkhaleq, A. M., Elfergani, I. T. E., Rodriguez, J., & Abd-Alhameed, R. A. (2020). A Varactor-Based Very Compact Tunable Filter with Wide Tuning Range for 4G and Sub-6 GHz 5G Communications. Sensors, 20(16), 4538. https://doi.org/10.3390/s20164538

