Experimental Evaluation of a 3D-Printed Fluidic System for a Directional Anemometer
Abstract
1. Introduction
2. Sensor Description
2.1. Principles of Operation
2.2. Geometry of the Fluid-Dynamic Elements (Heads)
2.3. Fabrication of the Fluid-Dynamic Elements (Heads)
2.4. Architecture of the Prototypes
3. Results
3.1. Experimemental Setup and Data Processing
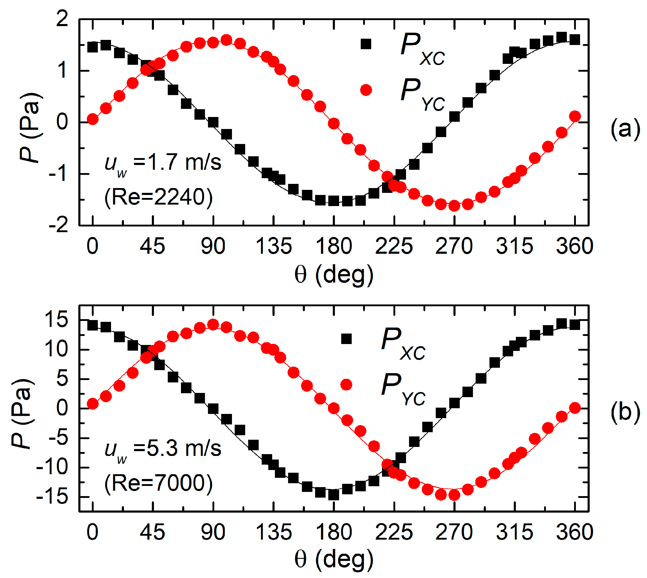
3.2. Results of Measurements
4. Discussion
Author Contributions
Funding
Acknowledgments
Conflicts of Interest
References
- Zhang, N.; Wang, M.; Wang, N. Precision agriculture-a worldwide overview. Comput. Electron. Agric. 2002, 36, 113–132. [Google Scholar] [CrossRef]
- Joseph, G.M.D.; Mohammadi, M.; Sterling, M.; Baker, C.J.; Gillmeier, S.G.; Soper, D.; Jesson, M.; Blackburn, G.A.; Whyatt, J.D.; Gullick, D.; et al. Determination of crop dynamic and aerodynamic parameters for lodging prediction. J. Wind Eng. Ind. Aerodyn. 2020, 202, 104169. [Google Scholar] [CrossRef]
- Bhalchandra, B.; Shinde, G. Wind Speed and Rain Fall Monitoring System for Precision Agriculture using Low Power Consumption Wireless Sensor Network. Int. J. Agric. Innov. Res. 2016, 4, 723–726. [Google Scholar]
- Catania, P.; Vallone, M. Application of A Precision Apiculture System to Monitor Honey Daily Production. Sensors 2020, 20, 2012. [Google Scholar] [CrossRef] [PubMed]
- Li, J.G.; Cao, M.L.; Meng, Q.H. Chemical source searching by controlling a wheeled mobile robot to follow an online planned route in outdoor field environments. Sensors 2019, 19, 426. [Google Scholar] [CrossRef] [PubMed]
- Burgués, J.; Hernández, V.; Lilienthal, A.J.; Marco, S. Gas distribution mapping and source localization using a 3D grid of metal oxide semiconductor sensors. Sens. Actuators B 2020, 304, 127309. [Google Scholar] [CrossRef]
- Chen, X.X.; Huang, J. Odor source localization algorithms on mobile robots: A review and future outlook. Robot. Auton. Syst. 2019, 112, 123–136. [Google Scholar] [CrossRef]
- Pan, Y.; Zhao, Z.; Zhao, R.; Fang, Z.; Wu, H.; Niu, X.; Du, L. High accuracy and miniature 2-D wind sensor for boundary layer meteorological observation. Sensors 2019, 19, 1194. [Google Scholar] [CrossRef]
- Adkins, K.A.; Swinford, C.J.; Wambolt, P.D.; Bease, G. Development of a sensor suite for atmospheric boundary layer measurement with a small multirotor unmanned aerial system. Int. J. Aviat. Aeronaut. Aerosp. 2020, 7, 4. [Google Scholar] [CrossRef]
- Xing, Z.W.; Zhang, Y.M.; Su, C.Y.; Qu, Y.H. Measuring the Horizontal Wind for Forest Fire Monitoring Using Multiple UAVs. In Proceedings of the 2019 Chinese Control Conference (CCC), Guangzhou, China, 27–30 July 2019; pp. 4945–4950. [Google Scholar] [CrossRef]
- Hamadi, H.; Lussier, B.; Fantoni, I.; Francis, C.; Shraim, H. Observer-based Super Twisting Controller Robust to Wind Perturbation for Multirotor UAV. In Proceedings of the 2019 International Conference on Unmanned Aircraft Systems (ICUAS), Atlanta, GA, USA, 11–14 June 2019; pp. 397–405. [Google Scholar] [CrossRef]
- Wang, J.Y.; Luo, B.; Zeng, M.; Meng, Q.H. A wind estimation method with an unmanned rotorcraft for environmental monitoring tasks. Sensors 2018, 18, 4504. [Google Scholar] [CrossRef]
- Tomić, T.; Haddadin, S. Towards Interaction, Disturbance and Fault Aware Flying Robot Swarms. In Robotics Research; Springer: Cham, Switzerland, 2020; pp. 183–198. [Google Scholar] [CrossRef]
- Arens, E.; Ghahramani, A.; Przybyla, R.; Anderson, M.; Min, S.; Peffer, T.; Raftery, P.; Zhu, M.; Luu, V.; Zhang, H. Measuring 3D indoor air velocity via an inexpensive low-power ultrasonic anemometer. Energy Build. 2020, 211, 109805. [Google Scholar] [CrossRef]
- FT Technologies. Available online: https://fttechnologies.com/ (accessed on 3 June 2020).
- Kim, S.; Nam, T.; Park, S. Measurement of flow direction and velocity using a micromachined flow sensor. Sens. Actuators A 2004, 114, 312–318. [Google Scholar] [CrossRef]
- Liu, H.B.; Lin, N.; Pan, S.S.; Miao, J.; Norford, L.K. High sensitivity, miniature, full 2-D anemometer based on MEMS hot-film sensors. IEEE Sens J. 2013, 13, 1914–1920. [Google Scholar] [CrossRef]
- Zhu, Y.; Qin, M.; Ye, Y.; Yi, Z.; Long, K.; Huang, Q.A. Modelling and characterization of a robust, low-power and wide-range thermal wind sensor. Microsyst. Technol. 2017, 23, 5571–5585. [Google Scholar] [CrossRef]
- Shin, K.S.; Lee, D.S.; Song, S.W.; Jung, J.P. Application of surface protective coating to enhance environment-withstanding property of the MEMS 2D wind direction and wind speed sensor. Sensors 2017, 17, 2152. [Google Scholar] [CrossRef]
- Luo, Z.; Li, Z.; Gao, C.; Hao, Y.; Jin, Y. Anemometer for detection of very low speed air flow with three-dimensional directionality. In Proceedings of the 2017 IEEE 12th International Conference on Nano/Micro Engineered and Molecular Systems (NEMS), Los Angeles, CA, USA, 9–12 April 2017; pp. 615–618. [Google Scholar] [CrossRef]
- Idjeri, B.; Laghrouche, M.; Boussey, J. Wind measurement based on MEMS micro-anemometer with high accuracy using ANN technique. IEEE Sens. J. 2017, 17, 4181–4188. [Google Scholar] [CrossRef]
- Barmpakos, D.; Famelis, I.T.; Moschos, A.; Marinatos, D.; Kaltsas, G. Design and Evaluation of a Multidirectional Thermal Flow Sensor on Flexible Substrate. J. Sens. 2019, 2019, 1–10. [Google Scholar] [CrossRef]
- Li, G.Z.; Zhao, S.; Zhu, R. Wearable anemometer with multi-sensing of wind absolute orientation, wind speed, attitude, and heading. IEEE Sens. J. 2019, 19, 297–303. [Google Scholar] [CrossRef]
- Wang, S.; Yi, Z.; Qin, M.; Huang, Q.A. Modeling, simulation, and fabrication of a 2-D anemometer based on a temperature-balanced mode. IEEE Sens. J. 2019, 19, 4796–4803. [Google Scholar] [CrossRef]
- Bruschi, P.; Dei, M.; Piotto, M. A low-power 2-D wind sensor based on integrated flow meters. IEEE Sens. J. 2009, 9, 1688–1696. [Google Scholar] [CrossRef]
- Eckman, R.M.; Dobosy, R.J.; Auble, D.L.; Strong, T.W.; Crawford, T.L. A pressure-sphere anemometer for measuring turbulence and fluxes in hurricanes. J. Atmos. Ocean. Technol. 2007, 24, 994–1007. [Google Scholar] [CrossRef]
- Sun, B.; Zhou, W.; Yuan, M.Z.; Fang, E.Q.; Gan, N. A Cylindrical Vehicle-Mounted Anemometer Based on 12 Pressure Sensors—Principle, Prototype Design, and Validation. IEEE Sens J. 2018, 18, 6954–6961. [Google Scholar] [CrossRef]
- Piotto, M.; Pennelli, G.; Bruschi, P. Fabrication and characterization of a directional anemometer based on a single chip MEMS flow sensor. Microelectron. Eng. 2011, 88, 2214–2217. [Google Scholar] [CrossRef]
- Bruschi, P.; Piotto, M.; Dell’Agnello, F.; Ware, J.; Roy, N. Wind speed and direction detection by means of solid-state anemometers embedded on small quadcopters. Procedia Eng. 2017, 168, 802–805. [Google Scholar] [CrossRef]
- Bruschi, P.; Ria, A.; Piotto, M. A scalable 2D, low power airflow probe for unmanned vehicle and WSN applications. In Proceedings of the International Conference on Applications in Electronics Pervading Industry, Environment and Society, Pisa, Italy, 26–27 September 2018; Springer: Cham, Switzerland, 2018; pp. 93–99. [Google Scholar] [CrossRef]
- Bruschi, P.; Nurra, V.; Piotto, M. A compact package for integrated silicon thermal gas flow meters. Microsyst. Technol. 2008, 14, 943–949. [Google Scholar] [CrossRef]
- Bruschi, P.; Piotto, M. Determination of the wind speed and direction by means of fluidic-domain signal processing. IEEE Sens. J. 2017, 18, 985–994. [Google Scholar] [CrossRef]
- Liu, C.; Du, L.; Zhao, Z. A directional cylindrical anemometer with four sets of differential pressure sensors. Rev. Sci. Instrum. 2016, 87, 035105. [Google Scholar] [CrossRef]
- Leoni, A.; Stornelli, V.; Pantoli, L. A low-cost portable spherical directional anemometer for fixed points measurement. Sens. Actuators A 2018, 280, 543–551. [Google Scholar] [CrossRef]
- Monteiro, J.; Carrilho, J.; Silva, M.G.D.; Miranda, A.; Silva, A. 3D Printed Pressure Anemometers. 3D Print. Addit. Manuf. 2017, 4, 172–181. [Google Scholar] [CrossRef]
- Prudden, S.; Fisher, A.; Mohamed, A.; Watkins, S. An anemometer for UAS-based atmospheric wind measurements. In Proceedings of the 17th Australian International Aerospace Congress: AIAC 2017, Melbourne, Australia, 26–28 February 2017; pp. 303–308. [Google Scholar]
- Al-Rubaiai, M.; Tsuruta, R.; Gandhi, U.; Wang, C.; Tan, X. A 3D-printed stretchable strain sensor for wind sensing. Smart Mater. Struct. 2019, 28, 084001. [Google Scholar] [CrossRef]
- Shin, H.S.; Kim, T.; Bergbreiter, S.; Park, Y.L. Biomimetic Soft Airflow Sensor with Printed Ionogel Conductor. In Proceedings of the 2019 2nd IEEE International Conference on Soft Robotics (RoboSoft), Seoul, Korea, 14–18 April 2019; pp. 611–616. [Google Scholar] [CrossRef]
- Daniel, F.; Peyrefitte, J.; Radadia, A.D. Towards a Completely 3D Printed Hot Wire Anemometer. Sens. Actuators A 2020, 111963. [Google Scholar] [CrossRef]
- Barile, G.; Leoni, A.; Fern, G. A Differential Capacitive Multi-Material 3D Printed Sensor for Portable Anemometric Applications. In Proceedings of the 2019 IEEE 8th International Workshop on Advances in Sensors and Interfaces (IWASI), Otranto, Italy, 13–14 June 2019; pp. 234–238. [Google Scholar] [CrossRef]
- Formlabs. Available online: https://formlabs.com/it/ (accessed on 3 June 2020).
- FreeCAD. Available online: https://www.freecadweb.org/ (accessed on 3 June 2020).
- Sensirion Series SDP800 Differential Pressure Sensors, Sensirion Catalogue. Available online: https://www.sensirion.com (accessed on 3 June 2020).















| Type | N | Work | Angles (ϕk) | Weights (wk) |
|---|---|---|---|---|
| UDS | 1 | This work | 0, ±45 | cos(ϕk) |
| UW | 3 | This work | 0, ±17°, ±32.5°, ±58.3° | 1/7 |
| UDS | 3 | [29,30] | 0, ±22.5, ±45, ±67.5 | cos(ϕk) |
| UW | 1 | [25] | 0, ±21°, ±53° | 1/3 |
| UW | 2 | [28] | 0, ±40° | 1/5 |
| Head | Type | N | Figure | LA0 (mm) | LA1 (mm) | LB (mm) | Dcy (mm) | DO (mm) | Dch (mm) | hc (mm) |
|---|---|---|---|---|---|---|---|---|---|---|
| H3L | UDS | 1 | 2a | 4 | 5.65 | - | 20 | 1 | 1 | 3 |
| H7L | UW | 3 | 2b | - | - | 4 | 20 | 1 | 1 | 3 |
| H7S | UW | 3 | 2b | - | - | 2 | 20 | 1 | 1 | 3 |
| Type | N | Work | Max Angular Error (deg) | Max Magnitude Deviation |
|---|---|---|---|---|
| UDS | 1 | This work, (H3L) | 11 | 20% |
| UW | 3 | This work (H7L) | 10 | 13% |
| UDS | 3 | [29,30] | 12 | 30% |
| UW | 1 | [25] | 7 1 | 8% 1 |
| UW | 2 | [28] | 5 | 8% |
© 2020 by the authors. Licensee MDPI, Basel, Switzerland. This article is an open access article distributed under the terms and conditions of the Creative Commons Attribution (CC BY) license (http://creativecommons.org/licenses/by/4.0/).
Share and Cite
Ria, A.; Catania, A.; Bruschi, P.; Piotto, M. Experimental Evaluation of a 3D-Printed Fluidic System for a Directional Anemometer. Sensors 2020, 20, 4094. https://doi.org/10.3390/s20154094
Ria A, Catania A, Bruschi P, Piotto M. Experimental Evaluation of a 3D-Printed Fluidic System for a Directional Anemometer. Sensors. 2020; 20(15):4094. https://doi.org/10.3390/s20154094
Chicago/Turabian StyleRia, Andrea, Alessandro Catania, Paolo Bruschi, and Massimo Piotto. 2020. "Experimental Evaluation of a 3D-Printed Fluidic System for a Directional Anemometer" Sensors 20, no. 15: 4094. https://doi.org/10.3390/s20154094
APA StyleRia, A., Catania, A., Bruschi, P., & Piotto, M. (2020). Experimental Evaluation of a 3D-Printed Fluidic System for a Directional Anemometer. Sensors, 20(15), 4094. https://doi.org/10.3390/s20154094

