Next Article in Journal
All Single-Mode-Fiber Supercontinuum Source Setup for Monitoring of Multiple Gases Applications
Previous Article in Journal
Estimation of Heart Rate and Respiratory Rate from PPG Signal Using Complementary Ensemble Empirical Mode Decomposition with both Independent Component Analysis and Non-Negative Matrix Factorization
Previous Article in Special Issue
Double Role of Diphenylpyridine Derivatives as Fluorescent Sensors for Monitoring Photopolymerization and the Determination of the Efficiencies of the Generation of Superacids by Cationic Photoinitiators
 
 
Font Type:
Arial Georgia Verdana
Font Size:
Aa Aa Aa
Line Spacing:
Column Width:
Background:
Article

Synthesis and Evaluation of the (S)-BINAM Derivatives as Fluorescent Enantioselective Detectors

by
Alexander V. Shaferov
1,
Anna S. Malysheva
1,
Alexei D. Averin
1,2,*,
Olga A. Maloshitskaya
1 and
Irina P. Beletskaya
1,2
1
Department of Chemistry, Lomonosov Moscow State University, Moscow 119991, Russia
2
A.N. Frumkin Institute of Physical Chemistry and Electrochemistry RAS, Moscow 119991, Russia
*
Author to whom correspondence should be addressed.
Sensors 2020, 20(11), 3234; https://doi.org/10.3390/s20113234
Submission received: 12 May 2020 / Revised: 31 May 2020 / Accepted: 3 June 2020 / Published: 6 June 2020
(This article belongs to the Special Issue Fluorescence-Based Sensors)

Abstract

Pd(0)-catalyzed amination was employed for the synthesis of a new family of (S)-1,1′-bianaphthalene-2,2′-diamine derivatives possessing additional chiral and fluorophore substituents. The Compounds thus obtained were tested as potential detectors of seven amino alcohols, and some of them were found to be able to recognize individual enantiomers of certain amino alcohols by specific changes of their emission spectra in the presence of these analytes. A pronounced dependence of the detecting abilities on the nature of the substituents in the (S)-BINAM derivatives was observed.

1. Introduction

The application of fluorescent methods for the recognition of individual enantiomers of optically active molecules has gained much attention in the recent decade and successfully competes with other spectroscopic techniques like spectrophotometric (or colorimetric) methods [1,2] or measurements of induced circular dichroism [3]. The fluorescent approach employs systematic changes in the emission spectra (quenching or enhancement, red, or blue shifts of the emission maximum) of the chiral detector as a result of molecular complex formation with a certain chiral analyte. At the same time, in the presence of enantiomer with an opposite configuration, the detector′s emission either should not change notably or change in the opposite direction in order to distinguish between two enantiomers.
Both 1,1′-binaphthalene and chiral 2,2′-binaphthol (BINOL) were shown for the first time to change their fluorescence spectra in the presence of chiral amines [4,5]. Soon after, the bis(phenylboronic) derivative of BINOL was used to detect monosaccharides [6]. Later, the fluorescence of a more complex Compound, immobilized BINOLphosphoric acid monoamide (BINOL = 2,2′-binaphthol), was studied using the same amine [7], and since then, BINOL derivatives have been developed as the most convenient fluorescent chemosensors of optically active amino acids, amino alcohols, diamines, and α-hydroxy carboxylic acids [8,9,10,11,12]. It is important that natural amino acids and their various derivatives are the most preferable analytes in almost all these studies.
The BINOL moiety possesses inherent chirality and fluorescent properties, which make it a unique building block for creating chemosensors. Two closely positioned hydroxyl groups help to form molecular complexes with various polar organic Compounds. In order to enhance the selectivity and improve the binding properties, various modifications of BINOL have been elaborated. The introduction of substituents at positions 3 and 3′ resulted in the synthesis of chemosensors able to detect N-Boc-alanine and N-Boc-phenylalanine [13,14]. Among such substituents are amino and diamino groups [15,16,17], and N,O-containing linear moieties [18,19]. Additional fluorophores were also introduced in BINOL-containing molecules to take advantage of the fluorescence at longer waves like BODIPY-derived Compounds [20]. Generally speaking, there is a great variety in the structural types of fluorescent enantioselective detectors, as the applications of the macrocycles containing this moiety have been described [21,22]; and the role of synthetic and supramolecular oligomers, polymers, nanoparticles, and organometallic Compounds in the fluorescent sensing of various chiral objects has been mentioned as well [23].
Another type of enantioselective fluorescent detector is planar chiral 1,8-disubstituted naphthalenes containing two quinoline [24] or acridine [25,26,27,28] moieties. These chemosensors have been used for sensing amino acids, α-halogenosubstituted carboxylic acids, dicarboxylic acids, and 1,2-amino alcohols. In some cases, Sc(III) complexes of 1,8-(acridinyl)substituted naphthalenes were employed [29,30].
The closest nitrogen-containing analogue of BINOL, 1,1′-binapthalene-2,2′-diamine (BINAM), was shown to be efficient in the recognition of α-phenylethylamine enantiomers [31] quite long ago, but since then, it has not been developed further, unlike BINOL. Among the scarce and random applications of this molecule, one may cite the attempts to recognize tryptophan enantiomers using free BINAM [32], its combination with two residues of chiral thiourea to sense enantiomers of mandelic acid [33], and the synthesis of chiral polymers on the basis of BINOL and BINAM for the detection of phenylalanine [34]. Taking this fact into consideration, we decided to develop the synthesis of BINAM-containing detectors using palladium-catalyzed amination reactions, which have become a powerful tool for creating C(sp2)-N bonds in last two decades [35,36,37]. Earlier, we acquired good experience in the synthesis of macrocyclic Compounds with the help of this catalytic reaction [38,39,40], and recently, we showed the possibility of introducing endocyclic BINAM moieties in macrocyclic Compounds using this approach [41,42,43,44]. We began the investigation of the detecting abilities of the macrocyclic Compounds using individual enantiomers of 1,2-amino alcohols due to some advantages of these model Compounds: Good solubility in organic solvents, their non-ionic nature, and the presence of two different donor atoms able to form hydrogen bonds. Our preliminary investigations showed an important relationship between the structures of the BINAM-based detectors and their ability to produce a significant spectral response upon binding the analytes. In this work, we focus on the non-macrocyclic derivatives of BINAM possessing two additional chiral substituents and fluorophore moieties in order to find out the regularities in their sensing behavior.

2. Materials and Methods

All Pd(0)-catalyzed amination reactions were run under argon using absolute 1,4-dioxane. 1H and 13C NMR spectra were recorded on a Bruker Avance-400 spectrometer in CDCl3 using the residual peaks of the solvent as standards (δ 7.26 and 77.0 ppm, respectively). UV-vis spectra were obtained using an Agilent Cary 60 spectrophotometer, and the fluorescence spectra were recorded with a Hitachi F2700 spectrofluorometer. MALDI-TOF (Matrix-Assisted Laser Desorption Ionization – Time of Flight) mass spectra were obtained with a Bruker Autoflex II spectrometer using dithranol as the matrix and (polyethylene) glycols as the internal standard for precise calibration. (S)-1,1′-binapthalene-2,2′-diamine (BINAM) (1), 1,3-dibromobenzene, (S)-(tetrahydrofuran-2-yl)-ethanamine (3), tert-butyl (S)-2-(aminomethyl)pyrrolidine-1-carboxylate (4), (1S,2S)-2-(benzyloxy)cyclopentan-1-amine (5), 2-methoxyethan-1-amine (6), 5-(dimethylamino)naphthalene-1-sulfonyl chloride (dansyl chloride) (11), 4-(bromomethyl)-7-methoxy-2H-chromen-2-one (12), 4-(bromomethyl)-6,7-dimethoxy-2H-chromen-2-one (22), 6-bromoquinoline (13), 3-bromoquinoline (17), phosphine ligands Xantphos, rac-BINAP, DavePhos, tBuONa, K2CO3, and aminoalcohols as individual enantiomers were purchased from SigmaAldrich Co and used without special purification. Column chromatography was performed using silica gel 40–63 μm from Fluka Co, 1,4-dioxane was purified by distillation over sodium under argon, acetonitrile for syntheses was distilled over CaH2, and dichloromethane and methanol were freshly distilled prior to use. Acetonitrile of UHPLC grade was employed for UV and fluorescence experiments. Pd(dba)2 was synthesized using a known procedure [45]. N,N′-di(3-bromophenyl)-substituted (S)-BINAM 2 was obtained by a described method [41].
Compound 7. A two-neck flask equipped with a magnetic stirrer and reflux condenser, flushed with dry argon, was charged with Compound 2 (594 mg, 1 mmol), Pd(dba)2 (46 mg, 8 mol%), BINAP (56 mg, 9 mol%), and absolute dioxane (10 mL). After stirring for 2 min, amine 3 (223 mg, 2.2 mmol) and tBuONa (288 mg, 3 mmol) were added and the reaction mixture was refluxed for 15 h. After the reaction was over the residue was filtered and washed with dichloromethane (3 × 5 mL), combined filtrates were evaporated in vacuo, and the residue was chromatographed on silica gel using a sequence of eluents: CH2Cl2, CH2Cl2–MeOH 200:1–100:1. Target Compound 7 was obtained with CH2Cl2–MeOH 100:1 eluent. Yield 688 mg (90%), light-beige crystalline Compound, m. p. 92–95 °C. 1H-NMR (400 MHz, CDCl3): δ 1.60 (dq, 2H, 2J = 12.2 Hz, 3J = 7.3 Hz, CH2), 1.85–2.04 (m, 6H, CH2), 2.99 (dd, 2H, 2J = 12.4 Hz, 3J = 8.2 Hz, CH2N), 3.14 (dd, 2H, 2J = 12.4 Hz, 3J = 3.7 Hz, CH2N), 3.77 (td, 2H, 2J = 7.5 Hz, 3J = 7.5 Hz, 3J = 7.0 Hz, CH2O), 3.87 (q, 2H, Jobs = 7.3 Hz, CH2O), 4.08 (qd, 2H, 3J = 7.0 Hz, 3J = 3.7 Hz, CHO), 5.53 (s, 2H, NH), 6.24–6.33 (br. m, 4H, H(Ph)), 6.37 (d, 2H, 3J = 8.2 Hz, H(Ph)), 6.95 (t, 2H, 3J = 8.2 Hz, H5, H5′(Ph)), 7.11 (d, 2H, 3J = 8.2 Hz, H3, H3′(BiNp)), 7.20–7.25 (m, 2H, H(BiNp)), 7.29–7.34 (m, 2H, H(BiNp)), 7.70 (d, 2H, 3J = 9.0 Hz, H8, H8′(BiNp)), 7.84 (d, 2H, 3J = 8.2 Hz, H4, H4′(BiNp)), 7.87 (d, 2H, 3J = 9.0 Hz, H5, H5′(BiNp)), two NH protons were not assigned. 13C-NMR (100.6 MHz, CDCl3): δ 25.7 (2CH2), 29.0 (2CH2), 48.1 (2CH2N), 68.0 (2CH2O), 77.4 (2CHO), 104.5 (2CH(Ph)), 107.5 (2CH(Ph)), 109.4 (2CH(Ph)), 116.2 (2C(BiNp)), 118.3 (2CH(BiNp)), 123.2 (2CH(BiNp)), 124.5 (2CH(BiNp)), 126.8 (2CH(BiNp)), 128.1 (2CH(BiNp)), 129.1 (2CH(Ph)), 129.2 (2C(BiNp)), 129.8 (2C(BiNp)), 133.9 (2C(BiNp)), 140.5 (2NC(Ar)), 143.5 (2NC(Ar)), 149.2 (2NC(Ar)). MALDI-TOF calcd for C42H43N4O2 [M + H]+ 635.3386, found 635.3362.
Compound 8. A two-neck flask equipped with a magnetic stirrer and reflux condenser, flushed with dry argon, was charged with Compound 2 (594 mg, 1 mmol), Pd(dba)2 (46 mg, 8 mol%), BINAP (56 mg, 9 mol%), and absolute dioxane (10 mL). After stirring for 2 min, amine 4 (450 mg, 2.2 mmol) and tBuONa (288 mg, 3 mmol) were added and the reaction mixture was refluxed for 15 h. After the reaction was over, the residue was filtered, washed with dichloromethane (3 × 5 mL), combined filtrates were evaporated in vacuo, and the residue was chromatographed on silica gel using a sequence of eluents: CH2Cl2, CH2Cl2–MeOH 200:1–50:1. Target Compound 8 was obtained with CH2Cl2–MeOH 100:1 eluent. Yield 706 mg (85%), light-beige crystalline Compound, m. p. 114–116 °C. 1H-NMR (400 MHz, CDCl3, mixture of rotamers): δ 1.46 (br. s, 18H, CH3), 1.65–1.75 (br. m, 2H, CH2), 1.76–1.90 (br. m, 4H, CH2), 1.90–2.01 (br. m, 2H, CH2), 2.91 br. s + (2.97–3.12) br. m + 3.23 br. s + 3.33 br. s + 3.45 br. s (8H, CH2N), 3.99 br. s + 4.14 br. s (2H, CHN), 5.55 (s, 2H, NH), 6.19 (br. s, 2H, H(Ph)), 6.27 (br. d, 2H, 3Jobs = 7.2 Hz, H(Ph)), 6.36 (br. s, 2H, H(Ph)), 6.99 (t, 2H, 3J = 8.0 Hz, H5, H5′(Ph)), 7.14 (d, 2H, 3J = 8.3 Hz, H3, H3′(BiNp)), 7.13–7.18 (m, 2H, H(BiNp)), 7.27–7.32 (m, 2H, H(BiNp)), 7.73 (d, 2H, 3J = 8.7 Hz, H8, H8′(BiNp)), 7.82–7.87 (m, 4H, H4, H4′, H5, H5′(BiNp)), two NH protons were not assigned. 13C-NMR (100.6 MHz, CDCl3, mixture of rotamers): δ 22.8 + 23.9 (2CH2), 28.4 (6CH3), 29.3 (2CH2), 46.5 + 46.9 + 49.4 br. (4CH2N), 55.0 + 56.4 (2CHN), 79.6 + 79.9 (2C(t-Bu)), 104.1 br. (2CH(Ph)), 106.7 br. + 107.1 br. (2CH(Ph)), 109.0 br. (2CH(Ph)), 116.1 br. (2C(Nf)), 118.3 (2CH(Nf)), 123.1 (2CH(Nf)), 124.5 (2CH(Nf)), 126.8 (2CH(Nf)), 128.1 (2CH(Nf)), 129.1 (2CH(Ph)), 129.2 (2C(Nf)), 129.7 (2CH(Nf)), 134.0 (2C(Nf)), 140.6 br. (2NC(Ar)), 143.5 br. (2NC(Ar)), 149.1 br. (2NC(Ar)), 154.7 br. + 156.0 (2CO). MALDI-TOF calcd for C52H61N6O4 [M + H]+ 833.4754, found 833.4817.
Compound 9. A two-neck flask equipped with a magnetic stirrer and reflux condenser, flushed with dry argon, was charged with Compound 2 (119 mg, 0.2 mmol), Pd(dba)2 (18 mg, 16 mol%), BINAP (22 mg, 18 mol%), and absolute dioxane (2 mL). After stirring for 2 min, amine 5 (84 mg, 0.44 mmol) and tBuONa (58 mg, 0.6 mmol) were added and the reaction mixture was refluxed for 15 h. After the reaction was over, the residue was filtered, washed with dichloromethane (3 × 3 mL), combined filtrates were evaporated in vacuo, and the residue was chromatographed on silica gel using a sequence of eluents: CH2Cl2, CH2Cl2–MeOH 200:1–5:1. Target Compound 9 was obtained with CH2Cl2 eluent. Yield 129 mg (79%), yellow glassy Compound. 1H-NMR (400 MHz, CDCl3): δ 1.14 (br. s, 2H, CH2), 1.65–1.88 (m, 8H, CH2), 2.21 (sextet, 2H, 3J = 7.0 Hz, CH2), 3.48 (br. s, 2H, NH), 3.67–3.74 (m, 2H, CH2N), 3.75–3.80 (m, 2H, CHO), 4.44 (d, 2H, 2J = 11.7 Hz, CH2O), 4.51 (d, 2H, 2J = 11.7 Hz, CH2O), 5.57 (s, 2H, NH), 6.23–6.28 (m, 4H, H(Ph)), 6.34 (d, 2H, 3J = 8.6 Hz, H(Ph)), 7.19 (t, 2H, 3J = 7.9 Hz, H(Ph)), 7.16–7.21 (m, 4H, H(Ph), H(BiNp)), 7.22–7.28 (m, 10H, H(Ph), H(BiNp)), 7.29–7.35 (m, 2H, H(BiNp)), 7.76 (d, 2H, 3J = 8.9 Hz, H(BiNp)), 7.86 (d, 2H, 3J = 8.1 Hz, H(BiNp)), 7.88 (d, 2H, 3J = 8.9 Hz, H(BiNp)). 13C-NMR (100.6 MHz, CDCl3): δ 21.8 (2CH2), 30.0 (2CH2), 31.7 (2CH2), 59.9 (2CHN), 71.0 (2CH2O), 85.0 (2CHO), 104.7 (2CH(Ph)), 107.3 (2CH(Ph)), 109.3 (2CH(Ph)), 118.4 (2CH(BiNp)), 119.9 (2C(BiNp)), 123.4 (2CH(BiNp)), 124.5 (2CH(BiNp)), 126.9 (2CH(Ph)), 127.5 (2CH(BiNp)), 127.6 (4CH(Ph)), 128.1 (2CH(BiNp)), 128.3 (4CH(Ph)), 129.2 (2CH(Ph)), 129.3 (2C(BiNp)), 129.8 (2CH(BiNp)), 134.0 (2C(BiNp)), 138.4 (2C(Ph)), 140.5 (2NC(Ar)), 143.5 (2NC(Ar)), 148.6 (2NC(Ar)). MALDI-TOF calcd for C56H55N4O2 [M + H]+ 815.4325, found: 815.4369.
Compound 10. A two-neck flask equipped with a magnetic stirrer and reflux condenser, flushed with dry argon, was charged with Compound 2 (594 mg, 1 mmol), Pd(dba)2 (46 mg, 8 mol%), BINAP (56 mg, 9 mol%), and absolute dioxane (10 mL). After stirring for 2 min, amine 6 (165 mg, 2.2 mmol) and tBuONa (288 mg, 3 mmol) were added and the reaction mixture was refluxed for 15 h. After the reaction was over, the residue was filtered, washed with dichloromethane (3 × 5 mL), combined filtrates were evaporated in vacuo, and the residue was chromatographed on silica gel using a sequence of eluents: CH2Cl2, CH2Cl2–MeOH 200:1–50:1. Target Compound 10 was obtained with CH2Cl2–MeOH 100:1 eluent. Yield 688 mg (89%), light-beige crystalline Compound, m. p. 66–68 °C. 1H-NMR (400 MHz, CDCl3): δ 3.20 (t, 4H, 3J = 5.2 Hz, CH2N), 3.39 (s, 6H, CH3), 3.57 (t, 4H, 3J = 5.2 Hz, CH2O), 3.93 (br. s, 2H, NH), 5.63 (s, 2H, NH), 6.24–6.29 (m, 4H, H(Ph)), 6.43 (dd, 2H, 3J = 7.9 Hz, 4J = 1.0 Hz, H(Ph)), 7.04 (t, 2H, 3J = 7.9 Hz, H5, H5′(Ph)), 7.20 (d, 2H, 3J = 8.4 Hz, H3, H3′(BiNp)), 7.19–7.23 (m, 2H, H(BiNp)), 7.32–7.36 (m, 2H, H(BiNp)), 7.78 (d, 2H, 3J = 9.0 Hz, H8, H8′(BiNp)), 7.89 (d, 2H, 3J = 8.4 Hz, H4, H4′(BiNp)), 7.91 (d, 2H, 3J = 9.1 Hz, H5, H5′(BiNp)). 13C-NMR (100.6 MHz, CDCl3): δ 43.3 (2CH2N), 58.6 (2CH3), 70.8 (2CH2O), 104.4 (2CH(Ph)), 107.3 (2CH(Ph)), 109.4 (2CH(Ph)), 116.2 (2CH(BiNp)), 118.3 (2CH(BiNp)), 123.2 (2CH(BiNp)), 124.4 (2CH(BiNp)), 126.8 (2CH(BiNp)), 128.0 (2CH(BiNp)), 129.1 (2CH(Ph)), 129.2 (2C(BiNp)), 129.8 (2CH(BiNp)), 133.9 (2C(BiNp)), 140.4 (2NC(Ar)), 143.5 (2NC(Ar)), 149.1 (2NC(Ar)). MALDI-TOF calcd for C38H39N4O2 [M + H]+ 583.3073, found: 583.3033.
Compound 14. A one-neck flask equipped with a magnetic stirrer was charged with Compound 7 (127 mg, 0.2 mmol), acetonitrile (2 mL), dansyl chloride 11 (108 mg, 0.4 mmol), K2CO3 (110 mg, 0.8 mmol), and the reaction mixture was stirred for 8 h at room temperature. The residue was filtered, washed with dichloromethane (3 × 5 ml), and the combined organic fractions were evaporated in vacuo. The target Compound 14 was obtained as a yellow crystalline powder. Yield 219 mg (98%), m.p. 140–142°C (decomp.). 1H-NMR (400 MHz, CDCl3): δ 1.61–1.70 (m, 2H, CH2), 1.75–1.92 (m, 6H, CH2), 2.88 (12H, CH3), 3.58–3.70 (m, 6H, CH2O, CH2N), 3.70–3.76 (m, 2H, CH2O), 3.83–3.89 (m, 2H, CHO), 5.44 (s, 2H, NH), 6.70 (d, 2H, 3J = 7.5 Hz, H(Ph)), 6.72 (d, 2H, 3J = 7.7 Hz, H(Ph)), 6.80 (br. s, 2H, H2(Ph)), 7.01 (t, 2H, 3J = 7.5 Hz, H5, H5′(Ph)), 7.04 (d, 2H, 3J = 8.5 Hz, H3, H3′(biNp)), 7.12 (d, 2H, 3J = 7.3 Hz, H6, H6′(Dans)), 7.15–7.22 (m, 4H, H(biNp)), 7.29–7.37 (m, 4H, H3, H3′, H7, H7′(Dans)), 7.41 (t, 2H, 3Jobs = 7.8 Hz, H(biNP)), 7.77 (d, 2H, 3J = 8.9 Hz, H(biNP)), 7.85 (d, 2H, 3J = 7.8 Hz, H(biNP)), 8.08–8.13 (m, 4H, H2, H2′, H8, H8′(Dans)), 8.54 (d, 2H, 3J = 8.5 Hz, H4, H4′(Dans)). 13C-NMR (100.6 MHz, CDCl3): δ 25.3 (2CH2), 29.1 (2CH2), 45.3 (4CH3), 54.0 (2CH2N), 67.9 (2CH2O), 76.4 (2CHO), 115.0 (2CH(Ar)), 116.4 (2C(Np)), 117.3 (2CH(Ar)), 119.0 (2CH(Ar)), 119.6 (2CH(Ar)), 119.9 (2CH(Ar)), 122.5 (2CH(Ar)), 123.0 (2CH(Ar)), 123.6 (2CH(Ar)), 124.2 (2CH(Ar)), 127.0 (2CH(Ar)), 127.7 (2CH(Ar)), 128.1 (2CH(Ar)), 129.3 (2C(Np)), 129.4 (2CH(Ar)), 129.5 (2CH(Ar)), 129.7 (2C(Np)), 130.1 (2C(Np)), 130.3 (2CH(Ar)), 130.7 (2CH(Ar)), 133.5 (2C(Np)), 134.1 (2C(Np)), 139.4 (2NC(Ar)), 140.0 (2NC(Ar)), 142.8 (2NC(Ar)), 151.3 (C5, C5′(Dans)). MALDI-TOF calcd for C66H65N6O6S2 [M + H]+ 1101.4407, found: 1101.4346.
Compound 15. A one-neck flask equipped with a magnetic stirrer was charged with Compound 7 (95 mg, 0.15 mmol), acetonitrile (1 mL), 4-bromo-7-methoxycoumarin 12 (82 mg, 0.3 mmol), and K2CO3 (103 mg, 0.75 mmol), and the reaction mixture was stirred for 8 h at 50 °C. The residue was filtered, washed with dichloromethane (3 × 5 mL), and the combined organic fractions were evaporated in vacuo. The target Compound 15 was obtained as a brownish viscous oil. Yield 149 mg (98%). 1H-NMR (400 MHz, CDCl3): δ 1.48 (dq, 2H, 2J = 11.9 Hz, 3J = 8.2 Hz, CH2), 1.78–1.89 (m, 6H, CH2), 1.92–2.00 (m, 2H, CH2), 3.25 (dd, 2H, 2J = 15.4 Hz, 3J = 7.6 Hz, CH2N), 3.56 (dd, 2H, 2J = 15.4 Hz, 3J = 2.8 Hz, CH2N), 3.66–3.72 (m, 2H, CH2O), 3.77–3.83 (m, 2H, CH2O), 3.82 (s, 6H, CH3O), 4.13 (qd, 2H, 3J = 7.3 Hz, 3J = 2.8 Hz, CHO), 4.65 (br. s, 4H, CoumCH2N), 5.48 (br. s, 2H, NH), 6.07 (s, 2H, HC=), 6.14 (br. s, 2H, H2, H2′(Ph)), 6.20 (d, 2H, 3J = 8.2 Hz, H(Ph)), 6.32 (d, 2H, 3J = 7.9 Hz, H(Ph)), 6.77–6.81 (m, 4H, H6, H6′, H8, H8′(Coum)), 6.96 (t, 2H, 3J = 8.1 Hz, H5, H5′(Ph)), 7.01 (d, 2H, 3J = 8.4 Hz, H3, H3′(BiNp)), 7.12–7.16 (m, 2H, H6, H6′(BiNp)), 7.21–7.25 (m, 2H, H7, H7′(BiNp)), 7.43 (d, 2H, 3J = 8.6 Hz, H5, H5′(Coum)), 7.57 (d, 2H, H8, H8′(BiNp)), 7.73 (d, 2H, 3J = 9.1 Hz, H5, H5′(BiNp)), 7.75 (d, 2H, 3J = 8.4 Hz, H4, H4′(BiNp)). 13C-NMR (100.6 MHz, CDCl3): δ 25.4 (2CH2), 29.1 (2CH2), 51.3 (2CH2N), 55.0 (2CoumCH2N), 55.6 (2CH3O), 67.9 (2CH2O), 77.9 (2CHO), 104.0 (2CH(Ar)), 106.3 (2CH(Ar)), 109.0 (2CH(Ar)), 109.2 (2CH(Ar)), 110.9 (C3, C3′(Coum)), 111.4 (C4a, C4a′(Coum)), 116.5 (2C(BiNp)), 118.5 (2C3, C3′(Ar)), 120.1 (2CH(Ar)), 123.1 (2CH(Ar)), 124.1 (2CH(Ar)), 124.2 (2CH(Ar)), 126.6 (2CH(Ar)), 128.0 (2CH(Ar)), 128.9 (2CH(Ar)), 129.1 (2C(BiNp)), 129.8 (2CH(Ar)), 133.7 (2C(Ar)), 140.4 (2C(Ar)), 143.7 (2NC(Ar)), 148.5 (2NC(Ar)), 151.6 (2NC(Ar)), 155.4 (2CO), 161.2 (2CO), 162.4 (2CO). MALDI-TOF calcd for C64H59N4O8 [M + H]+ 1011.4333, found: 1011.4297.
Compound 16. A two-neck flask equipped with a magnetic stirrer and reflux condenser, flushed with dry argon, was charged with Compound 7 (95 mg, 0.15 mmol), Pd(dba)2 (14 mg, 16 mol%), DavePhos (11 mg, 18 mol%), and absolute dioxane (2 mL). After stirring for 2 min, 6-bromoquinoline 12 (125 mg, 0.6 mmol) and tBuONa (72 mg, 0.75 mmol) were added and the reaction mixture was refluxed for 15 h. After the reaction was over the residue was filtered, washed with dichloromethane (3 × 5 mL), the combined filtrates were evaporated in vacuo, and the residue was chromatographed on silica gel using a sequence of eluents: CH2Cl2, CH2Cl2–MeOH 200:1–100:1. Target Compound 16 was obtained with CH2Cl2–MeOH 100:1 eluent. Yield 77 mg (58%), beige crystalline Compound, m. p. 121–124 °C (decomp.). 1H-NMR (400 MHz, CDCl3): δ 1.50 (dq, 2H, 2J = 12.0 Hz, 3J = 7.7 Hz, CH2), 1.77–1.98 (m, 6H, CH2), 3.71 (td, 2H, 3J = 7.8 Hz, 3J = 6.3 Hz, CH2O), 3.79–3.87 (m, 6H, CH2N, CH2O), 4.17 (quin, 2H, 3Jobs = 6.4 Hz, CHO), 5.59 (s, 2H, NH), 6.65 (dd, 2H, 3J = 7.9 Hz, 4J = 1.9 Hz, H(Ph)), 6.73 (dd, 2H, 3J = 7.9 Hz, 4J = 1.9 Hz, H(Ph)), 6.78 (t, 2H, 4J = 1.9 Hz, H2, H2′(Ph)), 7.08 (d, 2H, 3J = 8.1 Hz, H3, H3′(biBiNp)), 7.09 (t, 2H, 3J = 7.9 Hz, H5, H5′(Ph)), 7.18 (ddd, 2H, 3J = 9.1 Hz, 3J = 6.8 Hz, 4J = 1.2 Hz, H6, H6′(BiNp)), 7.23 (d, 2H, 4J = 2.6 Hz, H5, H5′(Quin)), 7.25–7.31 (m, 4H, H7, H7′(BiNp), H3, H3′(Quin)), 7.40 (dd, 2H, 3J = 9.3 Hz, 4J = 2.6 Hz, H7, H7′(Quin)), 7.70 (d, 2H, 3J = 9.0 Hz, H8, H8′(BiNp)), 7.81 (d, 2H, 3J = 8.1 Hz, H4, H4′(BiNp)), 7.85 (d, 2H, 3J = 9.1 Hz, H5, H5′(BiNp)), 7.91 (d, 2H, 3J = 9.3 Hz, H8, H8′(Quin)), 7.95 (d, 2H, 3J = 8.4 Hz, H4, H4′(Quin)), 8.69 (dd, 2H, 3J = 3.8 Hz, 4J = 0.8 Hz, H2, H2′(Quin)). 13C-NMR (100.6 MHz, CDCl3): δ 25.6 (2CH2), 29.7 (2CH2), 56.8 (2CH2N), 67.9 (2CH2O), 76.6 (2CHO), 112.6 (2CH(Ar)), 114.2 (2CH(Ar)), 114.3 (2CH(Ar)), 116.7 (2C(Ar)), 116.8 (2CH(Ar)), 118.0 (2CH(Ar)), 121.2 (2CH(Ar)), 123.5 (2CH(Ar)), 124.4 (2CH(Ar)), 125.0 (2CH(Ar)), 127.0 (2CH(Ar)), 128.1 (2CH(Ar)), 129.3 (2CH(Ar)), 129.4 (4C(Ar)), 129.5 (2CH(Ar)), 130.1 (2CH(Ar)), 133.8 (2C(Ar)), 134.8 (2CH(Ar)), 139.8 (2C(Ar)), 143.7 (2C(Ar)), 143.8 (2C(Ar)), 146.2 (2C(Ar)), 147.2 (2CH(Ar)), 148.6 (2C(Ar)). MALDI-TOF calcd for C60H53N6O2 [M + H]+ 889.4230, found: 889.4157.
Compound 17. A one-neck flask equipped with a magnetic stirrer was charged with Compound 8 (165 mg, 0.2 mmol), acetonitrile (2 mL), dansyl chloride 11 (108 mg, 0.4 mmol), and K2CO3 (110 mg, 0.8 mmol), and the reaction mixture was stirred for 8 h at room temperature. The residue was filtered, washed with dichloromethane (3 × 5 mL), and the combined organic fractions were evaporated in vacuo. The target Compound 17 was obtained as a yellow crystalline powder. Yield 257 mg (99%), m.p. 152–154 °C (decomp.). 1H-NMR (400 MHz, CDCl3, mixture of rotamers): δ 1.10 + 1.32 (s, 18H, CH3C), 1.70–1.83 (br. m, 6H), 2.07 + 2.16 (br. s, 2H, CH2), 2.86 (s, 12H, CH3N), (3.20–3.25) m + 3.30 br. s (4H, CH2N), (3.50–3.58) m + 3.63 br. s + (3.65–3.79) (6H, CH2N, CHN), 5.44 + 5.46 (br. s, 2H, NH), (6.61–6.75) m + 6.80 d (3J = 7.8 Hz) + 6.92 br. s (6H, H(Ph)), 6.95–7.12 (m, 6H, H(Np)), 7.15–7.23 (m, 4H, H(Np)), 7.27–7.34 (m, 4H, H(Np)), 7.35–7.43 (m, 2H, H(Np)), 7.80–7.87 (m, 4H, H(Np)), 7.98 (d, 3J = 8.4 Hz) + 8.05 (d, 3Jobs = 7.3 Hz) (4H, H2, H2′, H8, H8′(Dans)), 8.51 (d, 3J = 8.7 Hz) + 8.53 (d, 3J = 8.5 Hz) (2H, H4, H4′(Dans)). 13C-NMR (100.6 MHz, CDCl3, mixture of rotamers): δ 22.3 + 23.3 (2CH2), 27.4 + 28.1 +28.3 (2CH2 + 6CH3(t-Bu)), 45.3 (4CH3N), 46.3 + 46.9 (2CH2N), 50.2 + 51.3 (2CH2N), 55.2 (2CHN), 78.9 + 79.2 (2C(t-Bu)), 115.0 (2CH(Ar)), 116.1 (2C(biNp)), 117.0 br. + 117.4 br. (2CH(Ar)), 119.0 br. + 119.2 br. + 119.6 + 119.8 + 120.3 br. (6CH(Ar)), 121.8 br. + 122.3 br. (2CH(Ar)), 123.0 (2CH(Ar)), 123.5 br. + 123.6 br. (2CH(Ar)), 124.2 (2CH(Ar)), 127.1 br. (2CH(Ar)), 127.6 + 127.7 (2CH(Ar)), 128.1 (2CH(Ar)), 129.4 br. (4CH(Ar)), 129.7 (2C(Nf)), 130.1 (2C(Nf)), 130.3 + 130.4 (2CH(Ar)), 130.6 (2C(Nf)), 130.8 (2CH(Ar)), 133.5 (2C(Nf)), 133.9 + 134.1 (2C(Nf)), 139.3 + 139.4 + 139.5 + 139.7 (4NC(Ar)), 142.8 br. (2NC(Ar)), 151.3 + 151.4 (C5, C5′(Dans)), 154.0 + 154.2 (2CO). MALDI-TOF calcd for C76H83N8O8S2 [M + H]+ 1299.5775, found: 1299.5712.
Compound 18. A one-neck flask equipped with a magnetic stirrer was charged with Compound 8 (125 mg, 0.15 mmol), acetonitrile (1 mL), 4-bromo-7-methoxycoumarin 12 (82 mg, 0.3 mmol), and K2CO3 (103 mg, 0.75 mmol), and the reaction mixture was stirred for 8 h at 50 °C. The residue was filtered, washed with dichloromethane (3 × 5 mL), combined organic fractions were evaporated in vacuo, and the residue was chromatographed on silica gel using a sequence of eluents: CH2Cl2, CH2Cl2–MeOH 200:1–50:1. Target Compound 18 was obtained with CH2Cl2–MeOH 100:1 eluent. Yield 130 mg (71%), yellow glassy Compound. 1H-NMR (400 MHz, CDCl3, mixture of rotamers): δ 1.28 (s, 9H, CH3), 1.36 (s, 9H, CH3), 1.75–1.97 (br. m, 8H, CH2), 3.05–3.20 (m, 2H, CH2N), 3.27 (br. s, 2H, CH2N), 3.38 (br. s, 2H, CH2N), 3.48–3.60 (m, 2H, CH2N), 3.83 (s, 6H, CH3O), 4.07 + 4. 14 (br. s, 2H, CHN), 4.43 + 4.48 (br. s, 4H, PhCH2N), 5.34 + 5.50 + 5.58 (br. s, 2H, NH), 6.00 + 6.04 (s, 2H, =CH(Coum)), 6.24–6.41 (m, 4H, H6, H6′, H8, H8′(Coum)), 6.73–6.84 (m, 6H, H(Ph)), 6.95–7.04 (m, 4H, H5, H5′(Ph), H3, H3′(BiNp)), 7.06–7.25 (m, 4H, H6, H6′, H7, H7′(BiNp)), 7.31–7.50 (m, 4H, H(BiNp), H5, H5′(Coum)), 7.63–7.69 (m, 2H, H(BiNp)), 7.73 (d, 2H, 3J = 8.0 Hz, H(BiNp)). 13C-NMR (100.6 MHz, CDCl3, mixture of rotamers): δ 22.6 + 23.5 (2CH2), 28.3 (6CH3), 28.6 + 28.9 (2CH2), 46.2 + 46.7 (2CH2N), 51.6 + 53.3 + 53.8 + 55.3 (2PhCH2N, 2CHN), 55.6 (2CH3O), 79.1 + 79.9 (2C(t-Bu)), 100.8 + 101.1 (C3, C3′(Coum)), 104.0–104.5 м. (4C), 106.4 (2C), 109.4 (2C), 111.1 + 111.3 (2C), 112.0 + 112.2 (2C), 117.1 (2C), 118.7 + 119.0 (2C), 123.2 (2C), 133.8 + 124.1 + 124.3 (4C), 126.6 (2C), 128.0 (2C), 128.8 + 128.9 + 129.0 (4C), 129.3 (2C), 129.8 (2C), 133.8 (2C), 140.4 (2C), 144.0 + 144.2 (2C), 148.1 + 148.5 (2C), 150.9 + 151.1 (2C), 151.5 + 151.6 (2C), 154.4 + 155.4 (2CO(t-Bu)), 161.1 + 162.5 (C2, C2′(Coum)). MALDI-TOF calcd for C74H77N6O10 [M + H]+ 1209.5701, found: 1209.5765.
Compound 19. A two-neck flask equipped with a magnetic stirrer and reflux condenser, flushed with dry argon, was charged with Compound 8 (125 mg, 0.15 mmol), Pd(dba)2 (14 mg, 16 mol%), DavePhos (11 mg, 18 mol%), and absolute dioxane (2 mL). After stirring for 2 min, 6-bromoquinoline 12 (125 mg, 0.6 mmol) and tBuONa (72 mg, 0.75 mmol) were added and the reaction mixture was refluxed for 15 h. After the reaction was over, the residue was filtered, washed with dichloromethane (3 × 5 mL), combined filtrates were evaporated in vacuo, and the residue was chromatographed on silica gel using a sequence of eluents: CH2Cl2, CH2Cl2–MeOH 200:1–100:1. Target Compound 19 was obtained with CH2Cl2–MeOH 100:1 eluent. Yield 68 mg (41%), yellow viscous oil. 1H-NMR (400 MHz, CDCl3, mixture of rotamers): δ 1.38 (s, 9H, CH3), 1.45 (s, 9H, CH3), 1.66–1.95 (br. m, 8H, CH2), 3.25 br. s + 3.32–3.40 br. m (4H, CH2N), 3.40–3.46 br. m + 3.52 br. s (2H, CHN), 4.02 d (2J = 12.4 Hz) + 4.13 br. d (2J = 12.4 Hz) (2H, CH2N), 4.21 (br. s, 2H, CH2N), 5.53 + 5.65 + 5.67 (s, 2H, NH), 6.60–6.65 m + 6.71 d (3J = 8.0 Hz) (4H, H(Ph)), 6.67 + 6.85 (br. s, 2H, H2, H2′(Ph)), 7.05–7.19 m +7.54 br. s (8H, H5, H5′(Ph), H5, H5′(Quin), H3, H3′, H6, H6′(Np)), 7.24–7.28 m + 7.28–7.33 br. m 7.36–7.41 br. m (4H, H7, H7′(Np), H3, H3′(Quin)), 7.62–7.70 br. m + 7.80 d (3J = 8.3 Hz), 7.80–7.85 br. m (6H, H4, H4′, H5, H5′, H8, H8′(Np)), 7.88–7.98 br. m + 8.06 br. d (3Jobs = 8.0 Hz) (4H, H8, H8′, H4, H4′(Quin)), 8.69 (br. s, 2H, H2, H2′(Quin)). 13C-NMR (100.6 MHz, CDCl3, mixture of rotamers): δ 22.6 + 23.5 (2CH2), 28.4 + 28.6 (6CH3, 2CH2), 46.4 + 46.7 (2CH2N), 54.3 + 54.5 (2CH2N), 55.3 (2CHN), 79.1 + 79.9 (2C(t-Bu)), 112.6 + 113.0 (2CH(Ar)), 114.1 + 114.4 + 114.8 (4CH(Ar)), 116.4 + 116.8 (2C(Ar), 2CH(Ar)), 118.0 + 118.3 (2CH(Ar)), 121.0 + 121.4 (2CH(Ar)), 123.6 (2CH(Ar)), 124.5 + 125.3 (4CH(Ar)), 126.9 + 127.0 (2CH(Ar)), 128.2 (2CH(Ar)), 129.4 + 129.8 (4CH(Ar), 4C(Ar)), 130.3 (2CH(Ar)), 133.8 + 134.7 (2CH(Ar)), 135.9 + 136.1 (2C(Ar)), 139.8 (2C(Ar)), 144.0 (4C(Ar)), 146.5 + 147.6 (2CH(Ar), 2C(Ar)), 149.0 (2C(Ar)), 154.4 + 154.7 (2CO). MALDI-TOF calcd for C70H71N8O4 [M + H]+ 1087.5598, found: 1087.5663.
Compound 22. A one-neck flask equipped with a magnetic stirrer was charged with Compound 10 (87 mg, 0.15 mmol), acetonitrile (1 mL), dansyl chloride 11 (82 mg, 0.3 mmol), and K2CO3 (13 mg, 0.75 mmol), and the reaction mixture was stirred for 8 h at room temperature. The residue was filtered, washed with dichloromethane (3 × 5 mL) and the combined organic fractions were evaporated in vacuo. The target Compound 22 was obtained as a brownish crystalline powder. Yield 130 mg (83%), m.p. 120–122 °C. 1H-NMR (400 MHz, CDCl3): δ 2.89 (s, 12H, CH3N), 3.19 (s, 6H, CH2O), 3.38 (t, 4H, 3J = 6.3 Hz, CH2N), 3.75 (t, 4H, 3J = 6.3 Hz, CH2O), 5.45 (br. s, 2H, NH), 6.87 (dd, 2H, 3J = 8.0 Hz, 4J = 2.0 Hz, H(Ph)), 6.71 (dd, 2H, 3J = 8.0 Hz, 4J = 2.0 Hz, H(Ph)), 6.76 (t, 2H, 4J = 2.0 Hz, H2, H2′(Ph)), 7.01 (t, 2H, 3J = 8.0 Hz, H5, H5′(Ph)), 7.02 (d, 2H, 3J = 8.5 Hz, H(Np)), 7.13 (d, 2H, 3J = 7.5 Hz, H(Np)), 7.19 (ddd, 2H, 3J = 8.2 Hz, 3J = 6.9 Hz, 4J = 1.2 Hz, H(Np)), 7.20 (d, 2H, 3J = 8.9 Hz, H(Np)), 7.32 (ddd, 2H, 3J = 8.0 Hz, 3J = 6.9 Hz, 4J = 1.0 Hz, H(Np)), 7.34 (dd, 2H, 3J = 8.6 Hz, 3J = 7.6 Hz, H(Np)), 7.42 (dd, 2H, 3J = 8.5 Hz, 3J = 7.6 Hz, H(Np)), 7.77 (d, 2H, 3J = 9.0 Hz, H(Np)), 7.84 (d, 2H, 3J = 8.0 Hz, H(Np)), 8.10 (dd, 2H, 3J = 7.3 Hz, 4J = 1.0 Hz, H2? H2′(Dans)), 8.15 (d, 2H, 3J = 8.7 Hz, H8, H8′(Dans)), 8.55 (d, 2H, 3J = 8.4 Hz, H4, H4′(Dans)). 13C-NMR (100.6 MHz, CDCl3): δ 45.4 (4CH3N), 49.9 (2CH2N), 58.5 (2CH3O), 69.9 (2CH2O), 115.2 (2CH(Ar)), 116.5 (2C(Ar)), 117.4 (2CH(Ar)), 119.0 (2CH(Ar)), 119.7 (2CH(Ar)), 120.1 (2C(Ar)), 122.7 (2CH(Ar)), 123.1 (2CH(Ar)), 123.7 (2CH(Ar)), 124.3 (2CH(Ar)), 127.0 (2CH(Ar)), 127.7 (2CH(Ar)), 128.2 (2CH(Ar)), 129.5 (6CH(Ar)), 130.2 (2C(Ar)), 130.3 (2CH(Ar)), 130.7 (2CH(Ar)), 133.6 (2C(Ar)), 134.3 (2C(Ar)), 139.4 (2NC(Ar)), 140.0 (2NC(Ar)), 143.0 (2NC(Ar)), four quaternary carbon atoms were not assigned. MALDI-TOF calcd for C62H61N6O6S2 [M + H]+ 1049.4094, found: 1049.4030.
Compound 23. A one-neck flask equipped with a magnetic stirrer was charged with Compound 10 (87 mg, 0.15 mmol), acetonitrile (1 mL), 4-bromo-7-methoxycoumarin 12 (82 mg, 0.3 mmol), and K2CO3 (103 mg, 0.75 mmol), and the reaction mixture was stirred for 8 h at 50 °C. The residue was filtered, washed with dichloromethane (3 × 5 mL), and the combined organic fractions were evaporated in vacuo. Target Compound 23 was obtained as a brownish crystalline Compound. Yield 141 mg (98%), m.p. 126–128 °C. 1H-NMR (400 MHz, CDCl3): δ 3.28 (s, 6H, CH3O), 3.48–3.52 (m, 4H, CH2N), 3.53–3.56 (m, 4H, CH2O), 3.83 (s, 6H, CH3O), 4.56 (br. s, 4H, CoumCH2N), 5.47 (br. s, 2H, NH), 6.09 (s, 2H, =CH), 6.11 (t, 2H, 4J = 2.0 Hz, H2(Ph)), 6.20 (dd, 2H, 3J = 8.2 Hz, 4J = 2.0 Hz, H(Ph)), 6.34 (dd, 2H, 3J = 7.9 Hz, 4J = 2.0 Hz, H(Ph)), 6.79 (dd, 2H, 3J = 8.8 Hz, 4J = 2.6 Hz, H8, H8′(Coum)), 6.82 (d, 2H, 4J = 2.6 Hz, H6, H6′(Coum)), 6.97 (t, 2H, 3J = 8.1 Hz, H5, H5′(Ph)), 7.03 (d, 2H, 3J = 8.4 Hz, H3, H3′(BiNp)), 7.15 (ddd, 2H, 3J = 8.9 Hz, 3J = 6.9 Hz, 4J = 1.2 Hz, H6, H6′(BiNp)), 7.24 (ddd, 2H, 3J = 8.9 Hz, 3J = 6.9 Hz, 4J = 1.2 Hz, H7, H7′(BiNp)), 7.40 (d, 2H, 3J = 8.8 Hz, H5, H5′(Coum)), 7.57 (d, 2H, 3J = 8.9 Hz, H8, H8′(BiNp)), 7.74 (d, 2H, 3J = 8.4 Hz, H4, H4′(BiNp)), 7.76 (d, 2H, 3J = 8.9 Hz, H5, H5′(BiNp)). 13C-NMR (100.6 MHz, CDCl3): δ 50.9 (2CH2N), 51.8 (2CH3O), 55.6 (2CH3O), 58.9 (2CoumCH2N), 70.7 (2CH2O), 101.0 (2CH=), 103.8 (2CH(Ar)), 106.2 (2CH(Ar)), 109.0 (2CH(Ar)), 109.3 (2CH(Ar)), 111.4 (C4a, C4a′(Coum)), 112.1 (2CH(Ar)), 116.8 (2C(BiNp)), 118.7 (2CH(Ar)), 123.2 (2CH(Ar)), 124.1 (2CH(Ar)), 124.4 (2CH(Ar)), 126.7 (2CH(Ar)), 128.0 (2CH(Ar)), 129.0 (2CH(Ar)), 129.3 (2C(BiNp)), 129.9 (2CH(Ar)), 133.8 (2C(Ar)), 140.4 (2C(Ar)), 143.9 (2NC(Ar)), 148.2 (2NC(Ar)), 151.7 (2NC(Ar)), 155.5 (2CO), 161.2 (2CO), 162.5 (2CO). MALDI-TOF calcd for C60H55N4O8 [M + H]+ 959.4020, found: 959.3957.
Compound 24. A one-neck flask equipped with a magnetic stirrer was charged with Compound 10 (87 mg, 0.15 mmol), acetonitrile (1 mL), 4-bromo-6, 7-dimethoxycoumarin 20 (91 mg, 0.3 mmol), and K2CO3 (103 mg, 0.75 mmol), and the reaction mixture was stirred for 8 h at 50 °C. The residue was filtered, washed with dichloromethane (3 × 5 mL), and the combined organic fractions were evaporated in vacuo. Target Compound 24 was obtained as a brownish crystalline Compound. Yield 150 mg (98%), m.p. 131–133 °C. 1H-NMR (400 MHz, CDCl3): δ 3.29 (s, 6H, CH3O), 3.48–3.52 (m, 4H, CH2N), 3.53–3.57 (m, 4H, CH2O), 3.80 (s, 6H, CH3O), 3.87 (s, 6H, CH2O), 4.59 (br. s, 4H, CoumCH2N), 5.59 (br. s, 2H, NH), 6.10 (s, 2H, =CH), 6.16 (t, 2H, 4J = 2.1 Hz, H2, H2′(Ph)), 6.20 (dd, 2H, 3J = 8.2 Hz, 4J = 2.1 Hz, H(Ph)), 6.38 (dd, 2H, 3J = 7.8 Hz, 4J = 2.1 Hz, H(Ph)), 6.77 (s, 2H, H(Coum)), 6.82 (s, 2H, H(Coum)), 6.96 (t, 2H, 3J = 8.1 Hz, H5, H5′(Ph)), 7.02 (d, 2H, 3J = 8.4 Hz, H3, H3′(BiNp)), 7.12 (ddd, 2H, 3J = 8.8 Hz, 3J = 6.8 Hz, 4J = 1.1 Hz, H6, H6′(BiNp)), 7.20 (ddd, 2H, 3J = 9.0 Hz, 3J = 6.8 Hz, 4J = 1.0 Hz, H7, H7′(BiNp)), 7.60 (d, 2H, 3J = 9.0 Hz, H8, H8′(BiNp)), 7.73 (d, 4H, 3Jobs = 8.8 Hz, H4, H4′, H5, H5′(BiNp)). 13C-NMR (100.6 MHz, CDCl3): δ 50.7 (2CH2N), 51.9 (2CH3O), 56.1 (2CH3O), 56.2 (2CH3O), 58.9 (2CoumCH2N), 70.7 (2CH2O), 100.0 (2CH=), 103.8 (2CH(Ar)), 103.9 (2CH(Ar)), 106.1 (2CH(Ar)), 108.7 (2CH(Ar)), 109.6 (2CH(Ar)), 110.2 (C4a, C4a′(Coum)), 116.7 (2C(BiNp)), 118.5 (2CH(Ar)), 123.1 (2CH(Ar)), 124.3 (2CH(Ar)), 126.6 (2CH(Ar)), 127.9 (2CH(Ar)), 128.9 (2CH(Ar)), 129.2 (2C(BiNp)), 129.8 (2CH(Ar)), 133.8 (2C(Ar)), 140.2 (2C(Ar)), 143.8 (2NC(Ar)), 145.9 (2NC(Ar)), 148.3 (2NC(Ar)), 149.5 (2CO), 151.4 (2CO), 152.5 (2CO), 161.3 (2CO). MALDI-TOF calcd for C62H59N4O10 [M + H]+ 1019.4231, found: 1019.4285.
Compound 25. A two-neck flask equipped with a magnetic stirrer and reflux condenser, flushed with dry argon, was charged with Compound 10 (91 mg, 0.16 mmol), Pd(dba)2 (15 mg, 16 mol%), DavePhos (11 mg, 18 mol%), and absolute dioxane (2 mL). After stirring for 2 min, 6-bromoquinoline 12 (129 mg, 0.62 mmol) and tBuONa (74 mg, 0.77 mmol) were added and the reaction mixture was refluxed for 15 h. After the reaction was over, the residue was filtered, washed with dichloromethane (3 × 5 mL), combined filtrates were evaporated in vacuo, and the residue was chromatographed on silica gel using a sequence of eluents: CH2Cl2, CH2Cl2–MeOH 200:1–100:1. Target Compound 25 was obtained with CH2Cl2–MeOH 200:1 eluent. Yield 91 mg (71%), yellow crystalline Compound, m.p. 106–108 °C. 1H-NMR (400 MHz, CDCl3): δ 3.30 (s, 6H, CH3), 3.56 (t, 4H, 3J = 6.1 Hz, CH2N), 3.92 (t, 4H, 3J = 6.1 Hz, CH2O), 5.60 (s, 2H, NH), 6.65 (dd, 2H, 3J = 7.9 Hz, 4J = 1.9 Hz, H(Ph)), 6.70. (dd, 2H, 3J = 7.9 Hz, 4J = 1.9 Hz, H(Ph)), 6.76 (t, 2H, 4J = 1.9 Hz, H2, H2′(Ph)), 7.08 (d, 2H, 3J = 8.1 Hz, H3, H3′(BiNp)), 7.10 (t, 2H, 3J = 7.9 Hz, H5, H5′(Ph)), 7.16–7.20 (m, 2H, H6, H6′(BiNp)), 7.18 (d, 2H, 4J = 2.6 Hz, H5, H5′(Quin)), 7.25–7.30 (m, 4H, H7, H7′(BiNp), H3, H3′(Quin)), 7.37 (dd, 2H, 3J = 9.3 Hz, 4J = 2.6 Hz, H7, H7′(Quin)), 7.70 (d, 2H, 3J = 9.0 Hz, H8, H8′(BiNp)), 7.81 (d, 2H, 3J = 8.1 Hz, H4, H4′(BiNp)), 7.85 (d, 2H, 3J = 9.0 Hz, H5, H5′(BiNp)), 7.90 (d, 2H, 3J = 9.3 Hz, H8, H8′(Quin)), 7.94 (d, 2H, 3J = 8.3 Hz, H4, H4′(Quin)), 8.69 (dd, 2H, 3J = 4.1 Hz, 4J = 0.9 Hz, H2, H2′(Quin)). 13C-NMR (100.6 MHz, CDCl3): δ 51.8 (2CH2N), 59.0 (2CH2O), 69.4 (2CH2O), 112.3 (2CH(Ar)), 114.0 (2CH(Ar)), 114.2 (2CH(Ar)), 116.6 (2CH(Ar)), 116.8 (2C(Ar)), 118.1 (2CH(Ar)), 121.2 (2CH(Ar)), 123.6 (2CH(Ar)), 124.4 (2CH(Ar)), 124.8 (2CH(Ar)), 127.0 (2CH(Ar)), 128.1 (2CH(Ar)), 129.3 (2CH(Ar)), 129.5 (4C(Ar)), 129.6 (2CH(Ar)), 130.1 (2CH(Ar)), 133.8 (2C(Ar)), 134.7 (2CH(Ar)), 139.8 (2C(Ar)), 143.7 (2C(Ar)), 143.9 (2C(Ar)), 145.8 (2C(Ar)), 147.3 (2CH(Ar)), 148.1 (2C(Ar)). MALDI-TOF calcd for C56H49N6O2 [M + H]+ 837.3917, found: 837.3882.
Compound 26. A two-neck flask equipped with a magnetic stirrer and reflux condenser, flushed with dry argon, was charged with Compound 10 (78 mg, 0.13 mmol), Pd(dba)2 (12 mg, 16 mol%), DavePhos (9 mg, 18 mol%), and absolute dioxane (2 mL). After stirring for 2 min, 6-bromoquinoline 21 (112 mg, 0.53 mmol) and tBuONa (64 mg, 0.67 mmol) were added and the reaction mixture was refluxed for 15 h. After the reaction was over, the residue was filtered, washed with dichloromethane (3 × 5 mL), combined filtrates were evaporated in vacuo, and the residue was chromatographed on silica gel using a sequence of eluents: CH2Cl2, CH2Cl2–MeOH 500:1–100:1. Target Compound 26 was obtained with CH2Cl2–MeOH 250:1 eluent. Yield 44 mg (39%), yellow viscous oil. 1H-NMR (400 MHz, CDCl3): δ 3.28 (s, 6H, CH3), 3.54 (t, 4H, 3J = 5.7 Hz, CH2O), 3.90 (t, 4H, 3J = 5.7 Hz, CH2N), 5.56 (s, 2H, NH), 6.64 (d, 2H, 3J = 8.7 Hz, H(Ph)), 6.66–6.70 (m, 4H, H(Ph)), 7.08 (d, 2H, 3J = 8.3 Hz, H3, H3′(BiNp)), 7.09 (t, 2H, 3J = 8.4 Hz, H5, H5′(Ph)), 7.17–7.21 (m, 2H, H6, H6′(BiNp)), 7.27–7.31 (m, 2H, H7, H7′(BiNp)), 7.47–7.56 (m, 4H, H6, H6′, H7, H7′ (Quin)), 7.63–7.67 (m, 4H, H4, H4′, H5, H5′(Quin)), 7.70 (d, 2H, 3J = 9.0 Hz, H8, H8′(BiNp)), 7.82 (d, 2H, 3J = 8.3 Hz, H4, H4′(BiNp)), 7.88 (d, 2H, 3J = 8.8 Hz, H5, H5′(BiNp)), 8.10 (br. d, 2H, 3Jobs = 7.6 Hz, H8, H8,(Quin)), 8.64 (br. d, 2H, 4J = 2.6 Hz, H2, H2′(Quin)). 13C-NMR (100.6 MHz, CDCl3): δ 51.9 (2CH2N), 59.1 (2CH3O), 69.5 (2CH2O), 113.4 (2CH(Ph)), 114.5 (2CH(Ph)), 116.0 (2CH(Ph)), 117.2 (2C(Ar)), 118.3 (2CH(Ar)), 122.0 (2CH(Ar)), 123.7 (2CH(Ar)), 124.5 (2CH(Ar)), 126.6 (2CH(Ar)), 127.1 (2CH(Ar)), 127.4 (2CH(Ar)), 127.5 (2CH(Ar)), 128.2 (2CH(Ar)), 129.0 (2CH(Ar)), 129.5 (2CH(Ar)), 129.6 (2CH(Ar)), 130.5 (2CH(Ar)), 133.8 (2CH(Ar)), 139.7 (4C(Ar)), 141.6 (4C(Ar)), 144.3 (2CH(Ar)), 147.2 (4C(Ar)). MALDI-TOF calcd for C56H49N6O2 [M + H]+ 837.3917, found: 837.3855.
Titrations of the selected Compounds with amino alcohols using the fluorescence spectra were conducted as follows: The spectrofluorometric cuvette (l = 1 cm) was charged with 3 mL of the 10−5 M solution of the corresponding ligand 7, 1416, 2226, and an individual enantiomer of the certain amino alcohol (leucinol, tert-leucinol, valinol, 2-amino-1-propanol, phenylglycinol, 2-amino-1-butanol, 2-amino-1,2-diphenylethanol) (C = 0.2 M) was added stepwise (100, 200, 500, 1000 equiv.) into the cuvette. Emission spectra were recorded with each addition. The excitation wavelengths: 310 nm (7, 16, 25), 340 nm (14, 22), 320 nm (15, 23), 330 nm (24), and 350 nm (26), and they corresponded to the absorption maxima of the ligands under investigation.

3. Results and Discussion

3.1. Synthesis of (S)-BINAM-Containing Detectors

The synthesis of the crucial intermediate, N,N′-di(3-bromophenyl)substituted (S)-BINAM, was accomplished according to a procedure developed by us earlier [41] by reacting free diamine 1 with a slight excess (2.2 equiv.) of 1,3-dibromobenzene in the presence of Pd(dba)2/Xantphos (4/4.5 mol%) catalyst (Scheme 1).
Compound 2 was isolated in a 68% yield and introduced in further Pd(0)-catalyzed amination reactions. The first of them was carried out with (S)-tetrahydrofurfuryl amine (3) and resulted in a 90% yield of the target product of diamination 7. This Compound as well as many others were obtained in the individual state by the column chromatography on silica gel. For this reaction and for subsequent syntheses, the Pd(dba)2/rac-BINAP catalytic system was used, which was shown previously to be the most versatile and convenient. The reactions with two other chiral amines 4 and 5 also produced corresponding diaminated products 8 and 9 in high yields; in the latter case, the use of 16 mol% catalyst was inevitable due to steric hindrances in the amine 5. Compounds 79 differ by the nature of the donor atoms in the substituents, their reciprocal positions, and steric hindrances. They possess, besides the C2 chiral BINAM moiety, two (Compounds 7 and 8) or four (derivative 9) additional chiral centers, which may enhance their ability to distinguish between two enantiomers of the analyte. Lastly, simple 2-methoxyethylamino substituents were introduced in the diphenyl-BINAM framework in view of employing the only C2 chirality of the diaminobinaphthalene fragment in the perspective detector (synthesis of Compound 10).
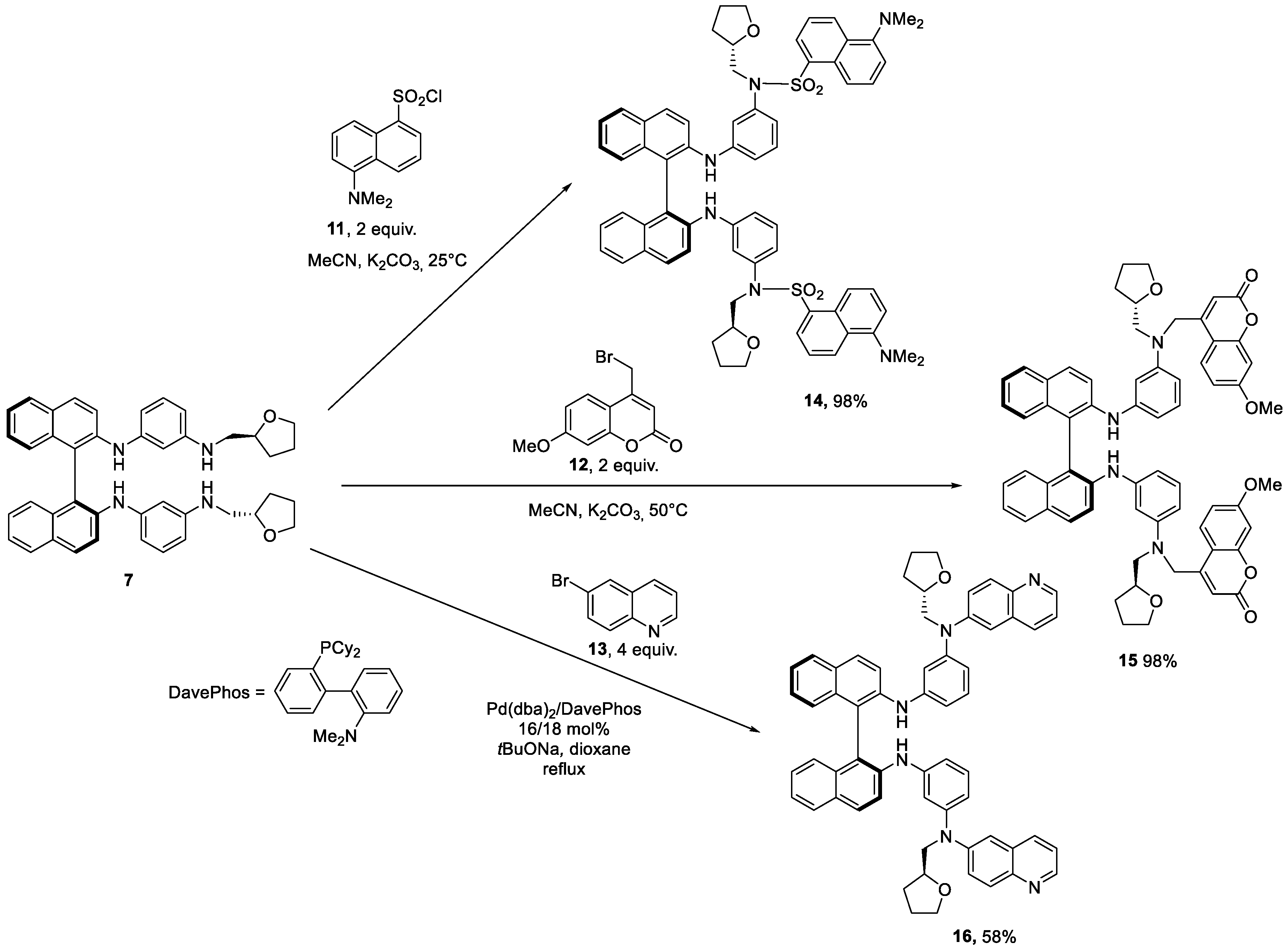
At the next step, the Compound 7 possessing two tetrahydrofurfurylamino substituents was subjected to modifications with several fluorophore groups (Scheme 2). Such modifications resulted in the change of the emission maxima, shifting them from 460 nm (parent Compound 7) to 505 (Compound possessing 6-aminoquinolinyl moieties) or 520 nm (Compound with dansylamide moieties). Additionally, the number of coordination sites increased after the modifications as all fluorophores employed possess additional N or O donor atoms. The reaction with dansyl chloride 11 allowed the didansylated product 14 in almost a quantitative yield, and this process was carried out at room temperature. The introduction of two 7-methoxycoumarin substituents was accomplished at a slightly elevated temperature to ensure full conversion of the starting Compounds, and the target derivative 15 was also isolated in a 98% yield by a simple work-up of the reaction mixture. The reaction with 6-bromoquinoline (13) proceeded under the catalytic conditions, where the application of 16% mol catalyst and 4 equiv. of the bromide was important to facilitate the heteroarylation of two secondary amino groups. More of the electron-donating DavePhos ligand was used instead of BINAP in this coupling. The isolation of the target Compound 16 by column chromatography afforded a 58% yield of the diquinolinyl derivative.
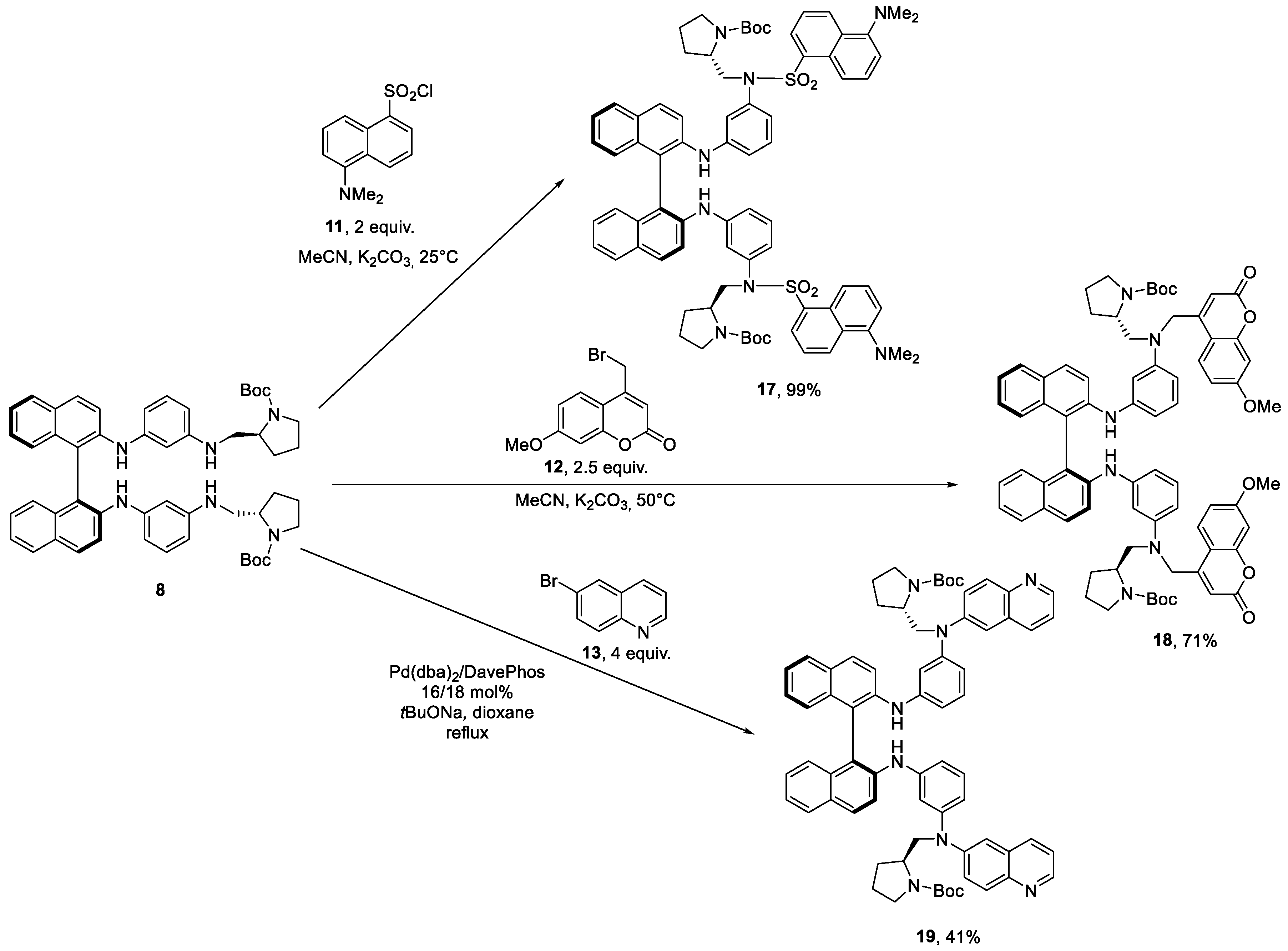
The BINAM derivative 8 with two N-Boc-substituted pyrrolidine moieties was reacted with dansyl chloride 11 and 4-bromomethyl)-7-methoxycoumarin 12 under similar conditions, giving the corresponding derivatives 17 and 18 in 99% and 71% yields, respectively (Scheme 3). It was also modified with the quinolin-6-yl fluorophore group. For this purpose, the reaction with 6-bromoquinoline (13) (4 equiv.) was accomplished under catalytic conditions to produce the desired product 19 in a 41% yield. For all derivatives 1719, the NMR spectra are quite complicated due to the presence of two N-Boc groups, resulting in four rotamers. The number of the signals substantially increases together with the line broadening of many of them. The influence of the N-Boc group is different for various parts of the molecule, more seriously altering the aliphatic part.
The decoration of the BINAM derivative 9 containing two benzyloxy-substituted cyclopentylamino groups with additional fluorophore groups was impossible due to steric hindrances at the secondary amino groups. Neither the reaction with dansyl chloride, even at an elevated temperature, nor the attempts to introduce the 7-methoxycoumarin fluorophore substituent were successful. Thus, it should be employed in the fluorescence studies as it is.
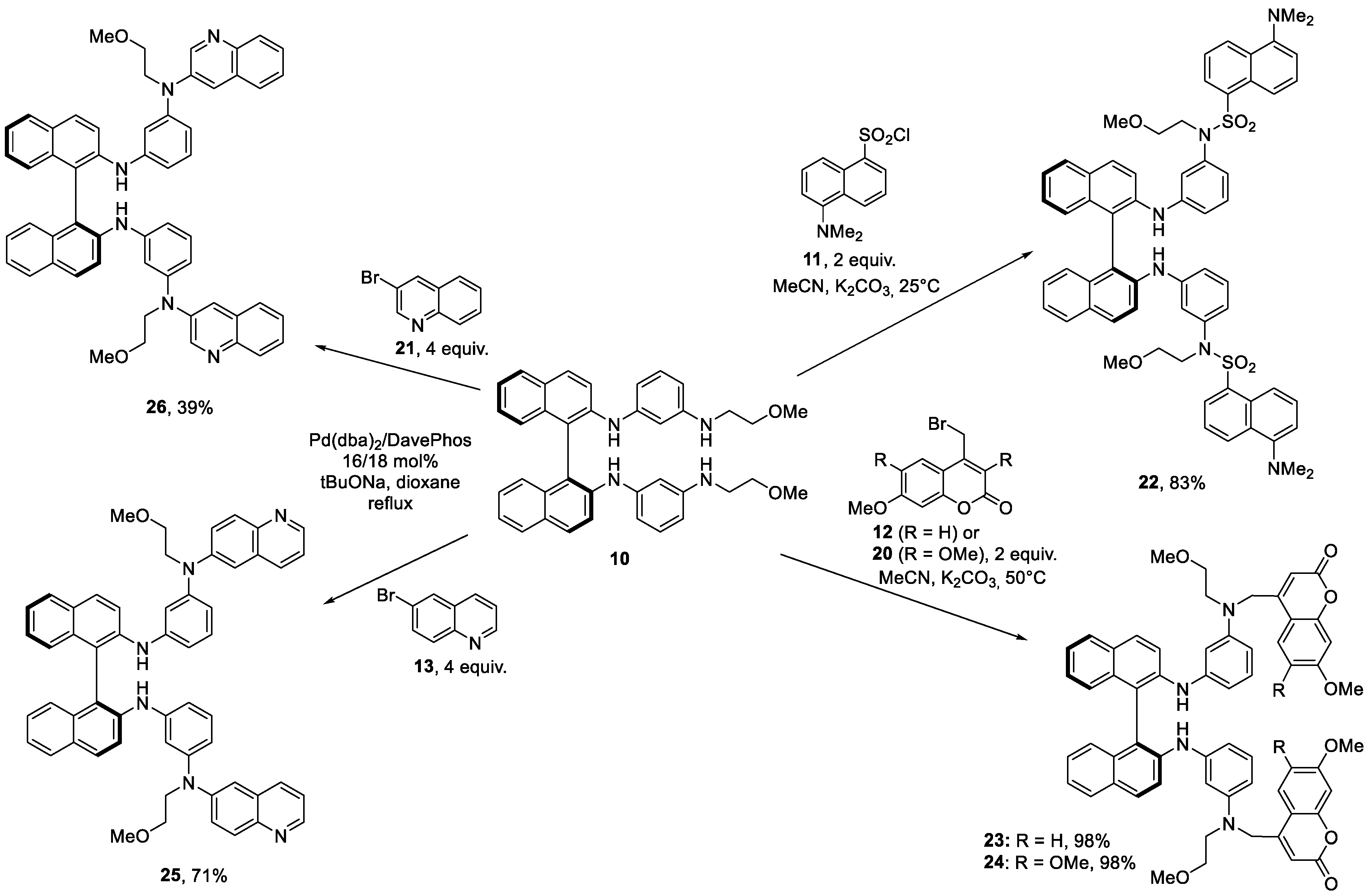
The BINAM derivative 10 was introduced in the reactions with five Compounds to ensure the variety of the fluorophore substituents (Scheme 4). While the didansyl derivative 22 was obtained in an 83% yield, both 7-methoxy- and 6, 7-dimethoxycoumarin derivatives 23 and 24 were synthesized in almost quantitative yields. The catalytic reaction with 6-bromoquinoline (13) was more successful (71% yield of 25) than that with the isomeric 3-bromoquinoline (21) (39% yield of 26) because in the latter case, two successive chromatographic purifications were needed to separate the excess of the starting bromide. The necessity of obtaining such isomers in which quinoline groups are attached in a different manner to the BINAM-based framework is due not only to a difference in the spectral properties on 6- and 3-aminoquinolines but also stems from the different positions of the nitrogen atoms in these two derivatives, which may result in the different binding modes of these molecules.

3.2. Spectroscopic Investigations

The recognition of the optically active molecules by fluorescent detectors is based on the fact that the coordination of the chiral detector with an enantiomer of the chiral analyte leads to a formation of the chiral complex, and the coordination with the opposite enantiomer of the analyte results in another complex. These complexes, being diastereomers, may possess different fluorescence. For the qualitative analysis, the preferable case is the change of the fluorescence in the presence of one enantiomer and the absence of any change or the change with the opposite sign of the fluorescence in the presence of the opposite enantiomer. More interesting, however, and rarer is the shift of the emission maximum upon the addition of the enantiomer. In the majority of cases, the molecular complexes are formed via hydrogen bonds, and π interactions are also possible.
The investigation of the ability of synthesized Compounds to act as fluorescent enantioselective detectors was carried out using a panel of seven amino alcohols differing by the nature of the substituents (Figure 1). In principle, the most demanding analytes to be detected by means of the fluorescence spectra are amino acids and some α-hydroxy acids. For the sake of the simplicity of the experimental procedures, the corresponding amino alcohols or diols can be used instead of the acids as the latter do not dissociate, are well-soluble in the majority of solvents, and do not need the control of the media pH. Each amino alcohol was tested as an individual enantiomer; 100, 200, 500, and 1000 equiv. of each enantiomer were added successively to a solution of selected BINAM derivatives and the fluorescence spectra were recorded. Such a great excess of amino alcohols was necessary due to the obviously low binding constants and the need to observe a reliable spectroscopic response of the system. All experiments were conducted in MeCN at the ligand concentrations of ca. 10−5 M and 0.2 M concentrations of amino alcohols. Selected data are discussed, which show the influence of the ligands’ structures on their sensing properties and only significant data are presented, where the recognition of the enantiomers was possible. Plausible coordination patterns for amino alcohols with our ligands are shown in Supplementary Materials Figure S1.
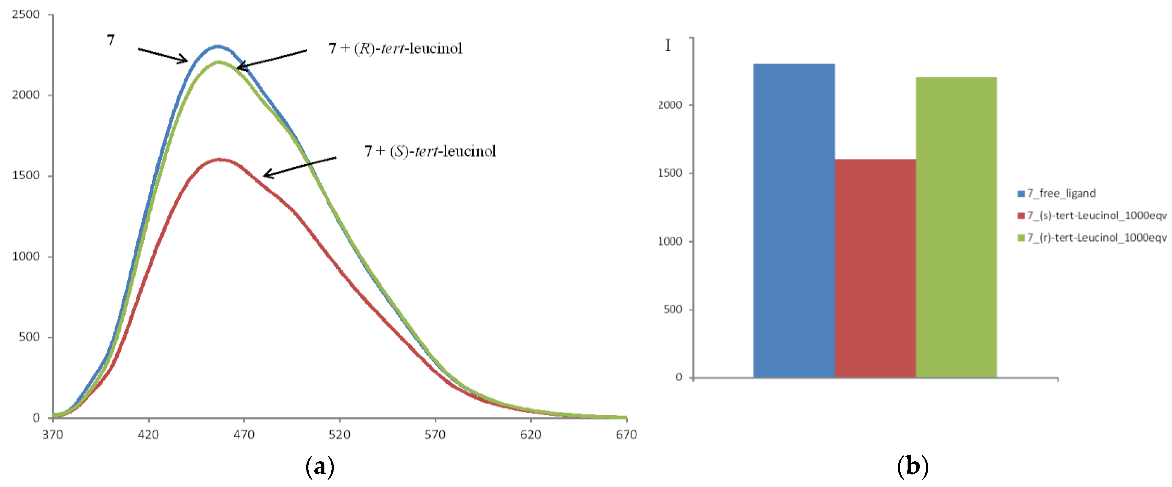
The first studied Compound was 7 possessing two tetrahydrofurfurylamino moieties. The BINAM fragment is characterized by the absorption maximum at 310 nm and emits at 460 nm. The addition of (S)-tert-leucinol resulted in emission quenching while the presence of the (R)-isomer almost did not change the fluorescence spectrum (Figure 2). The addition of other amino alcohol either did not change the spectra at all, and both enantiomers led to similar and quite small changes in the emission. The modification of this ligand with two dansyl groups (Compound 14) resulted in the changes of the absorption and emission maxima (340 and 525 nm, respectively); however, it made the ligand’s fluorescence less sensitive to the presence of the amino alcohols. Only in the case of the same tert-leucinol can one note small changes with the opposite sign in the emission spectrum in the presence of two enantiomers (Figure 3). Such weak changes disfavor its sensing abilities.
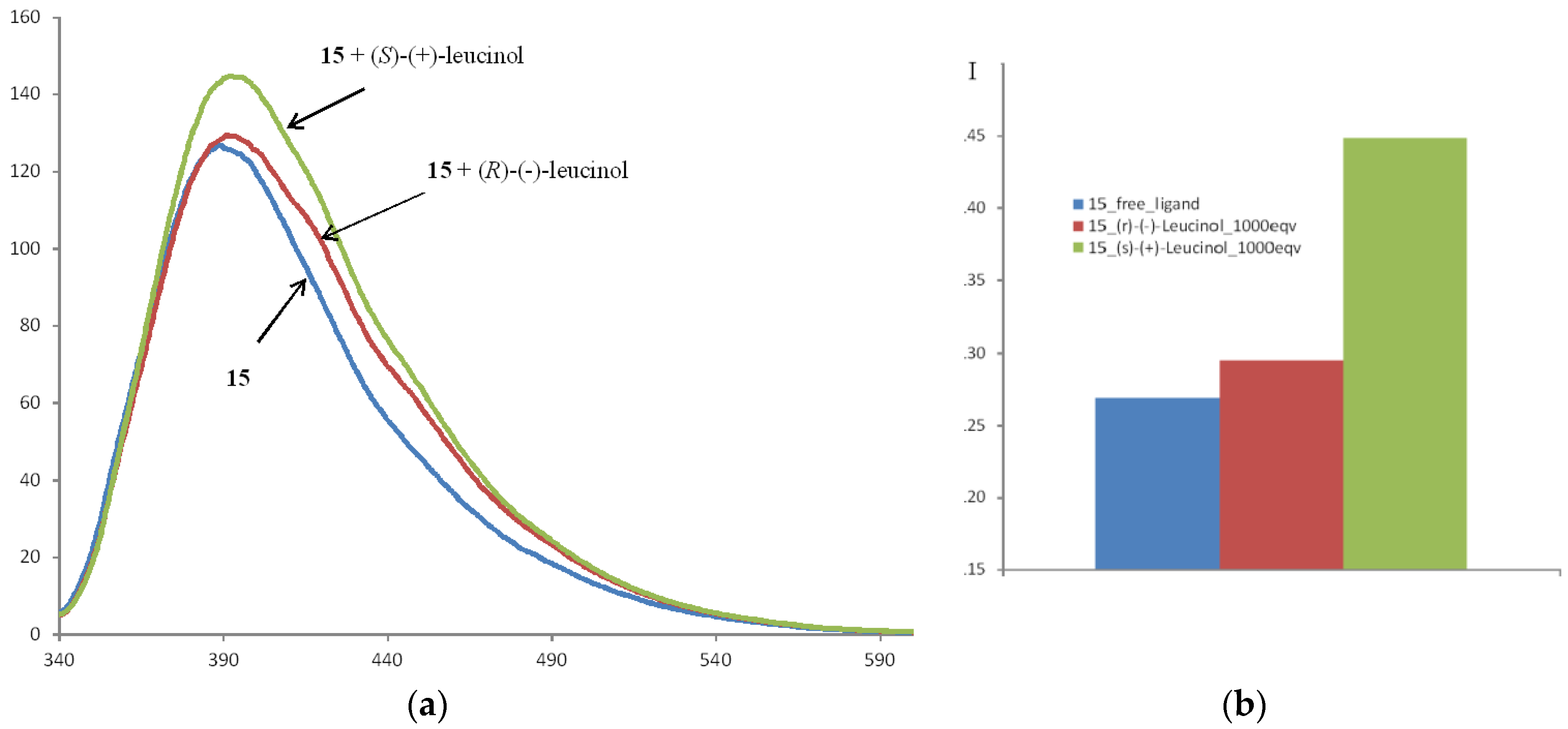
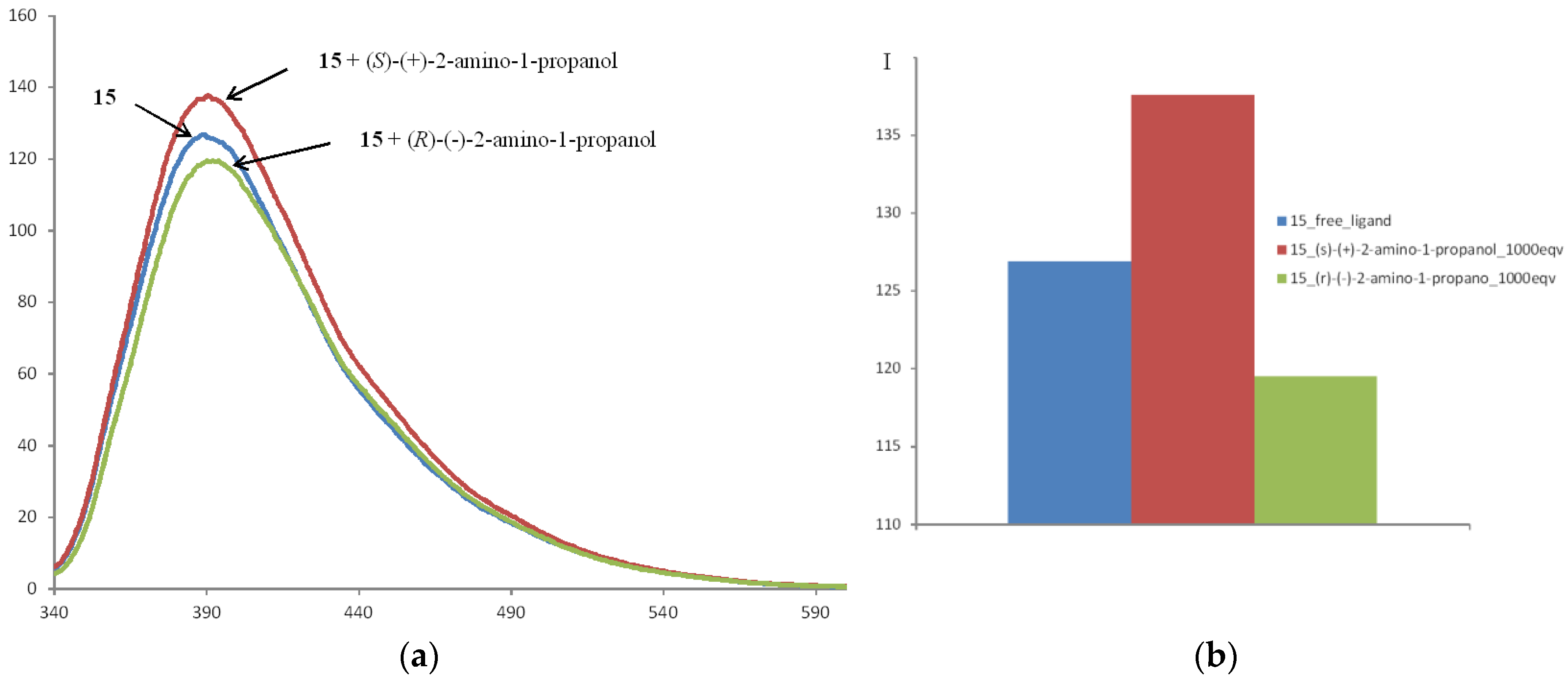
Changing the dansyl fluorophore groups for 7-methoxycoumarin substituents (Compound 15) resulted in the absorption at 320 nm and the emission maximum shifted to the shortwave region at 390 nm (Figure 4). The addition of (S)-leucinol slightly increased the fluorescence intensity while (R)-isomer did not change it at all. Like its dansylated analog 14, 7-methoxycoumarin derivative 15 in other cases showed weak responses to the addition of other amino alcohols, e.g., the two enantiomers of 2-amino-1-propanol only slightly changed its emission intensity (Figure 5).
The ligand 16 possesses two 6-aminoquinoline moieties, with the emission maximum at 505 nm. The addition of (S)- and (R)-leucinol led to emission quenching, but in the case of the (S)-isomer, the second maximum of lower intensity emerged at 415 nm (Figure 6); thus, it can be used for recognition between these two enantiomers. A similar spectral behavior of Compound 16 was noted when adding (S)-2-amino-1-propanol (Figure 7); however, in this case, the effect was not so pronounced as only the shoulder at 400–420 nm was noted. The nature of these additional emission maxima in the spectra is vague. (S)-enantiomers of tert-leucinol and 2-amino-1-propanol did not cause this effect with the other ligands tested, and one may assume that this effect could arise from a specific interaction of two fluorophore moieties present in the Compound 16, i.e., BINAM and quinoline fragments. The coordination with these aminoalcohols could promote the rapprochement of the two fluorophores to produce a new emission band. However, this phenomenon needs to be studied specially. The second plausible explanation is the coordination of the amino alcohol with the nitrogen atom of the quinoline moiety causing the hypsochromic shift. Another coordination mode that does not involve the fluorophore group simply leads to fluorescence quenching. (R)-isomer participates only in the second type of coordination due to the different stabilities of the diastereomers of the molecular complexes.
Next, we studied the BINAM derivatives bearing two 2-methoxyethylamino substituents. The Compound 22 possessing two additional dansyl fluorophore groups was not informative enough as upon the addition of the amino alcohols, the changes in its emission spectrum were tiny. It could hardly recognize the different enantiomers of tert-leucinol (Figure 8) and 2-phenylglycinol (Figure 9): In each case, (S)-isomer slightly quenched the emission while (R)-isomer did not change it at all. One may assume that two dansyl groups are spacious enough and shield the chiral centers of the ligand, hindering the formation of the molecular complexes of 14 and 22 with amino alcohols. A similar behavior of the dansylated derivatives of chiral cryptands was observed by us earlier [44].
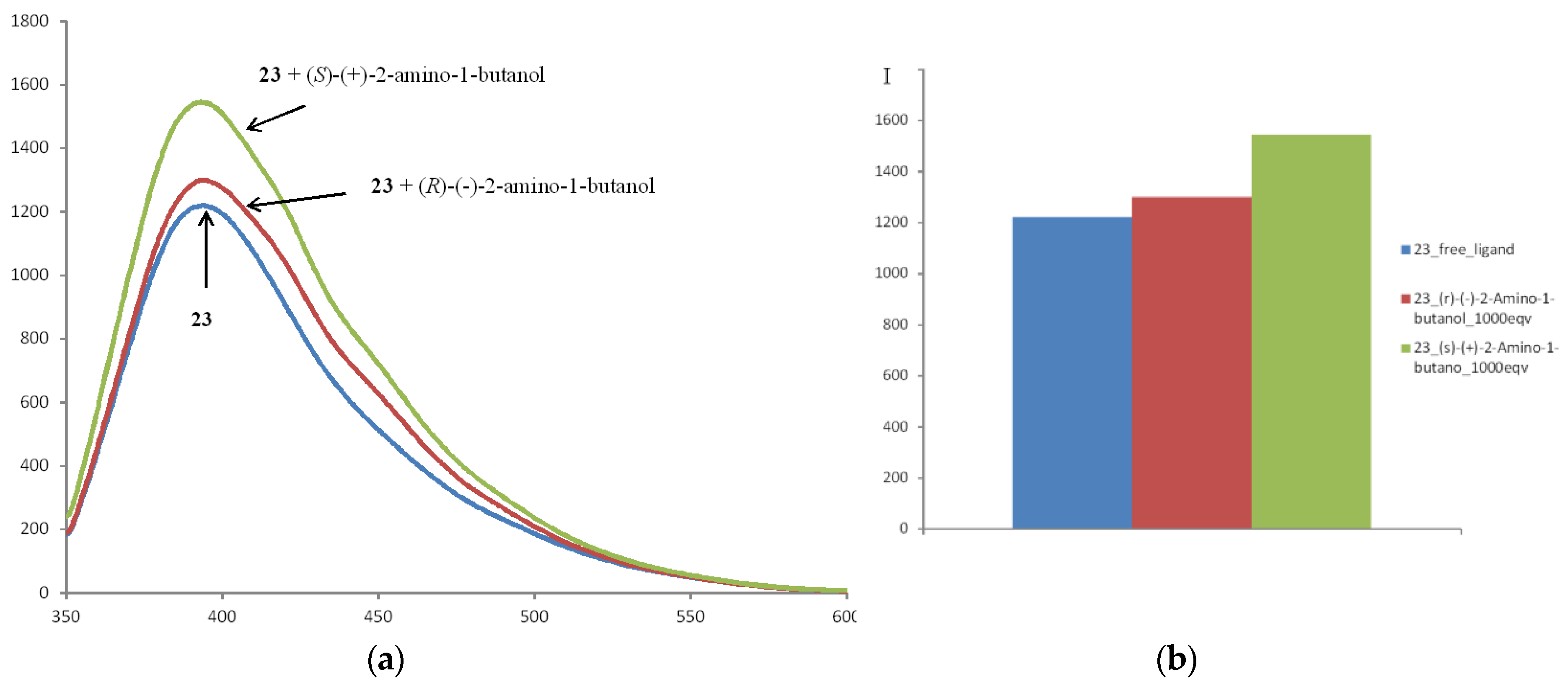
The introduction of 7-methoxy- and 6, 7-dimethoxycoumarin fluorophore groups in the parent molecule of 10, resulting in the ligands 23 and 24, changed the spectral response of these Compounds to the presence of amino alcohols. In all cases, a certain enhancement of the fluorescence upon the addition of the analytes was observed, though only in one case, in a pair 23/2-amino-1-butanol, was the difference in this increase substantial for the opposite enantiomers (Figure 10). The addition of (S)-isomer resulted in much more pronounced emission enhancement than that of (R)-isomer. In the case of 24, the difference for the opposite enantiomers of any amino alcohol was less significant (e.g., with tert-leucinol, Figure 11). With some other analytes, there was no difference in the spectroscopic response at all, e.g., in the case of leucinol enantiomers (Figure 12). Though the alteration of the emission by opposite enantiomers differing in the intensity but with the same sign is not suitable for qualitative observations, it can be employed for quantification, i.e., control of the optical purity of the analyte, provided the changes are substantial and well distinguishable.
Compound 25 possesses two 6-aminoquinoline fluorophore groups and the emission maximum at 505 nm (Figure 13). The addition of both (S)-and (R)-leucinol led to an equal emission quenching at this wavelength.
The introduction of the isomeric 3-aminoquinoline fluorophore in the ligand 26 was efficient enough. The Compound is able to distinguish between the enantiomers of tert-leucinol (Figure 14), valinol (Figure 15), and 2-amino-1-propanol (Figure 16). The ligand itself possesses the emission maximum at 500 nm, and the addition of (S)-tert-leucinol resulted in the increase in the intensity of the fluorescence with a simultaneous hypsochromic shift of the maximum by ca 20 nm. In the presence of (R)-isomer, a similar shift was also observed together with a tiny quenching of the emission.
With D-valinol, the emission enhancement was achieved while with L-valinol promoted the emission quenching. At last, (S)- and (R)-enantiomers of 2-amino-1-propanol changed the intensity of fluorescence with opposite signs, and with this amino alcohol, the hypsochromic shift was the most prominent (up to 30 nm). In all experiments, except for the titrations with the Compound 26, we observed changes in the intensities of fluorescence. Such behavior is usual in the case when the photoinduced electron transfer (PET) mechanism of fluorescence is applicable [46]. Only in the case of 26 were the hypsochromic shifts of the emission maximum noted upon the addition of the amino alcohols, which may imply that in these cases, the photoinduced charge transfer (PCT) mechanism might be considered. This mechanism is well documented for such fluorophore groups like dansyl, coumarin, and quinoline which possess electron-donating and electron-withdrawing sites to achieve the charge transfer in the fluorophore moiety. This mechanism demands that such an interaction with the analyte takes place, which alters this intramolecular charge transfer. In the case of 26, the quinoline nitrogen atom is situated closer to the methoxy group in the substituent and may participate in the binding of the amino alcohol through the H-bond (Supplementary Materials Figure S2).
We chose tert-leucinol to follow the response of all our detectors after the addition of its enantiomers. We showed above that the Compounds 7, 14, 22, and 26 are able to recognize its enantiomers while the Compound 24 can be used only in quantitative assignments because both enantiomers led to emission enhancement (Figure 11). In the case of the ligand 16, both enantiomers quenched fluorescence, but in a different way (Figure S4), as the coumarin-containing Compound 15 did not change its fluorescence at all in the presence of tert-leucinol (Figure S3). While ligand 23 responded to both enantiomers by equal intensification of the emission (Figure S5), the fluorescence of the Compound 25 was equally quenched by both enantiomers (Figure S6).
The response of the most interesting detector 26 upon the addition of all amino alcohols can also be mentioned. It cannot distinguish between enantiomers of leucinol (Figure S7), 2-phenylglycinol (Figure S8), or 2-amino-1,2-diphenylethanol (Figure S10) as both enantiomers of these analytes gave rise to more or less emission enhancement with simultaneous hypsochromic shifts of the maximum by 10–30 nm. The recognition of 2-amino-1-butanol (Figure S9) is dubious as the quenching with its (S)-isomer is very tiny. Thus, we can conclude that the best detector is able to recognize enantiomers of no more than three amino alcohols. It means that even small changes in the nature of the substituents in these analytes (say, a change of methyl for ethyl) seriously affect the possibility of forming a molecular complex with the detector to promote necessary changes in the fluorescence.

4. Conclusions

As a result of the research, a new family of (S)-BINAM-based potential enantioselective fluorescent detectors were synthesized. Pd(0)-catalyzed amination was successfully employed for the introduction of chiral N- and N,O-containing substituents and additional fluorophore groups. This methodology allowed the synthesis of Compounds combining the C2 chirality of the central BINAM structural unit and an additional two or four stereocenters. The introduction of such fluorophore groups like dansyl and aminoquinoline led to emission at larger wavelengths compared to BINAM. In addition, the number of donor N and O atoms able to participate in binding analytes was increased by such modifications. Nine selected Compounds were tested for their ability to act as enantioselective fluorescent detectors of amino alcohols. Compounds 7, 16, 25, and especially 26 were found to recognize the enantiomers of some analytes by specific changes in their emission spectra, and Compounds 15 and 23 also demonstrated a different behavior in the presence of some amino alcohols, but the changes in the spectra of fluorescence were tiny enough. Compound 26 possessing two 3-aminoquinolines is the most versatile as it was shown to recognize enantiomers of tert-leucinol, valinol, and 2-amino-1-propanol. Among the amino alcohols tested, tert-leucinol was most often the analyte that could be detected by the tested Compounds. It may be due to the presence of a bulky tert-butyl group in its structure, as it is well known that stereodiscrimination is favored by bulky substituents in interacting species. Enantiomers of less bulky leucinol could be recognized in fewer cases.

Supplementary Materials

The following are available online at https://www.mdpi.com/1424-8220/20/11/3234/s1, Figure S1: Plausible coordination patterns for amino alcohols with the BINAM-based ligands, Figure S2: Plausible coordination of amino alcohols with the ligand 26, Figure S3: Fluorescence spectra of Compound 15 in the presence of (R)- and (S)-enantiomers of tert-leucinol (1000 equiv.), Figure S4: Fluorescence spectra of Compound 16 in the presence of (R)- and (S)-enantiomers of tert-leucinol (1000 equiv.), Figure S5: Fluorescence spectra of Compound 23 in the presence of (R)- and (S)-enantiomers of tert-leucinol (1000 equiv.), Figure S6: Fluorescence spectra of Compound 25 in the presence of (R)- and (S)-enantiomers of tert-leucinol (1000 equiv.), Figure S7: Fluorescence spectra of Compound 26 in the presence of (R)- and (S)-enantiomers of leucinol (1000 equiv.), Figure S8: Fluorescence spectra of Compound 26 in the presence of (R)- and (S)-enantiomers of 2-phenylglycinol (1000 equiv.), Figure S9: Fluorescence spectra of Compound 26 in the presence of (R)- and (S)-enantiomers of 2-amino-1-butanol (1000 equiv.), Figure S10: Fluorescence spectra of Compound 26 in the presence of the enantiomers of 2-amino-1,2-diphenylethanol (1000 equiv.).

Author Contributions

Conceptualization, A.D.A. and A.V.S.; methodology, A.D.A. and A.S.M.; investigation, A.V.S., A.S.M. and O.A.M.; writing—original draft preparation, O.A.M.; writing—review and editing, A.D.A., I.P.B.; supervision, I.P.B.; project administration, A.D.A.; funding acquisition, A.D.A. All authors have read and agreed to the published version of the manuscript.

Funding

This research was funded by the RFBR, grant number 18-03-00709.

Conflicts of Interest

The authors declare no conflict of interest.

References

  1. Iwaniuk, D.P.; Yearick-Spangler, K.; Wolf, C. Stereoselective UV sensing of 1,2-diaminocyclohexane isomers based on ligand displacement with a diacridylnaphthalene N,N′-dioxide scandium complex. J. Org. Chem. 2012, 77, 5203–5208. [Google Scholar] [CrossRef] [PubMed]
  2. Zhang, P.; Wolf, C. Sensing of the concentration and enantiomeric excess of chiral Compounds with tropos ligand derived metal complexes. Chem. Commun. 2013, 49, 7010–7012. [Google Scholar] [CrossRef] [PubMed]
  3. Wolf, C.; Bentley, K.W. Chirality sensing using stereodynamic probes with distinct electronic circular dichroism output. Chem. Soc. Rev. 2013, 42, 5408–5424. [Google Scholar] [CrossRef] [PubMed]
  4. Irie, M.; Yorozu, T.; Hayashi, K. Steric effect on fluorescence quenching of 1,1′-binaphthyl by chiral amines. J. Am. Chem. Soc. 1987, 100, 2236–2237. [Google Scholar] [CrossRef]
  5. Yorozu, T.; Hayashi, K.; Irie, M. Chiral discrimination in fluorescence quenching. J. Am. Chem. Soc. 1981, 103, 5480–5484. [Google Scholar] [CrossRef]
  6. James, T.D.; Sandanayake, K.R.A.S.; Shinkai, S. Chiral discrimination of monosaccharides using a fluorescent molecular sensor. Nature 1994, 374, 345–347. [Google Scholar] [CrossRef]
  7. Avnir, D.; Wellner, E.; Ottolenghi, M. Photophysical recognition of chiral surfaces. J. Am. Chem. Soc. 1989, 111, 2001–2003. [Google Scholar] [CrossRef]
  8. Iwanek, W.; Mattay, J. Ground state and excited state association: Chiral recognition between 2, 2′-dihydroxy-1,1′-binaphthyl and amines. J. Photochem. Photobiol. A 1992, 67, 209–226. [Google Scholar] [CrossRef]
  9. Pu, L. Fluorescence of organic molecules in chiral recognition. Chem. Rev. 2004, 104, 1687–1716. [Google Scholar] [CrossRef]
  10. Pu, L. Enantioselective fluorescent sensors: A tale of BINOL. Acc. Chem. Res. 2012, 45, 150–163. [Google Scholar] [CrossRef]
  11. Zhang, X.; Yin, J.; Yoon, J. Recent advances in development of chiral fluorescent and colorimetric sensors. Chem. Rev. 2014, 114, 4918–4959. [Google Scholar] [CrossRef] [PubMed]
  12. Ema, T. Synthetic macrocyclic receptors in chiral analysis and separation. J. Incl. Phenom. Macrocycl. Chem. 2012, 74, 41–55. [Google Scholar] [CrossRef]
  13. Xu, K.; Qiu, Z.; Zhao, J.; Zhao, J.; Wang, C. Enantioselective fluorescent sensors for amino acid derivatives based on BINOL bearing benzoyl units. Tetrahedron Asymmetry 2009, 20, 1690–1696. [Google Scholar] [CrossRef]
  14. Xu, K.; Yang, L.; Wang, Y.; Zhao, J.; Wang, C. Synthesis and enantioselective fluorescent sensors for amino acid derivatives based on BINOL. Supramol. Chem. 2010, 22, 563–570. [Google Scholar] [CrossRef]
  15. Lin, J.; Rajaram, A.R.; Pu, L. Enantioselective fluorescent recognition of chiral acids by 3- and 3, 3′-aminomethyl substituted binols. Tetrahedron 2004, 60, 11277–11281. [Google Scholar] [CrossRef]
  16. He, X.; Cui, X.; Li, M.; Lin, L.; Liu, X.; Feng, X. Highly enantioselective fluorescent sensor for chiral recognition of amino acid derivatives. Tetrahedron Lett. 2009, 50, 5853–5856. [Google Scholar] [CrossRef]
  17. Yang, X.; Shen, K.; Liu, X.; Zhu, C.; Cheng, Y. Highly enantioselective fluorescent recognition of amino acid derivatives by unsymmetrical salan sensors. Tetrahedron Lett. 2011, 52, 4611–4614. [Google Scholar] [CrossRef]
  18. Liu, H.; Hou, X.; Pu, L. Enantioselective precipitation and solid-state fluorescence enhancement in the recognition of α-hydroxycarboxylic acids. Angew. Chem. Int. Ed. 2009, 48, 382–385. [Google Scholar] [CrossRef]
  19. Liu, H.; Zhao, Q.; Hou, X.; Pu, L. Clarification of a misconception in the BINOL-based fluorescent sensors: Synthesis and study of major-groove BINOL-amino alcohols. Chem. Commun. 2011, 47, 3646–3648. [Google Scholar] [CrossRef]
  20. Beer, G.; Rurack, K.; Daub, J. o-Carborane-assisted Lewis acidity enhancement of triarylboranes. J. Chem. Soc. Chem. Commun. 2001, 46, 1138–1140. [Google Scholar] [CrossRef]
  21. Zhong, D.-C.; Lu, N.-B. Molecular recognition and activation by polyaza macrocyclic Compounds based on host–guest interactions. Chem. Commun. 2016, 52, 10322–10337. [Google Scholar] [CrossRef] [PubMed]
  22. Chen, Z.; Wang, Q.; Wu, X.; Li, Z.; Jiang, Y.B. Optical chirality sensing using macrocycles, synthetic and supramolecular oligomers/polymers, and nanoparticle based sensors. Chem. Soc. Rev. 2015, 44, 4249–4263. [Google Scholar] [CrossRef] [PubMed]
  23. Li, H.; Yao, Z.-J.; Liu, D.; Jin, G.-X. Multi-component coordination-driven self-assembly toward heterometallic macrocycles and cages. Coord. Chem. Rev. 2015, 303, 139–157. [Google Scholar] [CrossRef]
  24. Tumambac, G.E.; Wolf, C. Enantioselective analysis of an asymmetric reaction using a chiral fluorosensor. Org. Lett. 2005, 7, 4045–4048. [Google Scholar] [CrossRef] [PubMed]
  25. Mei, X.; Wolf, C. A highly congested N, N′-dioxide fluorosensor for enantioselective recognition of chiral hydrogen bond donors. Chem. Commun. 2004, 18, 2078–2079. [Google Scholar] [CrossRef]
  26. Mei, X.; Wolf, C. Enantioselective sensing of chiral carboxylic acids. J. Am. Chem. Soc. 2004, 126, 14736–14737. [Google Scholar] [CrossRef]
  27. Wolf, C.; Liu, S.; Reinhardt, B.C. An enantioselective fluorescence sensing assay for quantitative analysis of chiral carboxylic acids and amino acid derivatives. Chem. Commun. 2006, 40, 4242–4244. [Google Scholar] [CrossRef]
  28. Mei, X.; Martin, R.M.; Wolf, C. Synthesis of a sterically crowded atropisomeric 1,8-diacridylnaphthalene for dual-mode enantioselective fluorosensing. J. Org. Chem. 2006, 71, 2854–2861. [Google Scholar] [CrossRef]
  29. Mei, X.; Wolf, C. Determination of enantiomeric excess and concentration of unprotected amino acids, amines, amino alcohols, and carboxylic acids by competitive binding assays with a chiral scandium complex. J. Am. Chem. Soc. 2006, 128, 13326–13327. [Google Scholar] [CrossRef]
  30. Liu, S.; Pestano, J.P.C.; Wolf, C. Enantioselective fluorescence sensing of chiral α-amino alcohols. J. Org. Chem. 2008, 73, 4267–4270. [Google Scholar] [CrossRef]
  31. Parker, K.S.; Townshend, A.; Bale, S.J. Simultaneous determination of the concentrations of each enantiomer of 1-phenylethylamine using their quenching of the fluorescence of two chiral fluorophores. Anal. Commun. 1996, 33, 265–267. [Google Scholar] [CrossRef]
  32. Murakoshi, K.; Azechi, T.; Hosokawa, H.; Wada, Y.; Yanagida, S. Chiroselective electron transfer at enantiomer-capped ZnO nanocrystalline surfaces. J. Electroanal. Chem 1999, 473, 117–124. [Google Scholar] [CrossRef]
  33. Wei, L.; He, Y.; Xu, K.; Liu, S.; Meng, L. Chiral fluorescent receptors based on (R)-1,1′- binaphthylene-2,2′-bisthiourea: Synthesis and chiral recognition. Chin. J. Chem. 2005, 23, 757–761. [Google Scholar]
  34. Meng, J.; Wei, G.; Huang, X.; Dong, Y.; Cheng, Y.; Zhu, C. Fluorescence sensor based on chiral polymer for highly selective recognition of phenylalaninol. Polymer 2011, 52, 363–367. [Google Scholar] [CrossRef]
  35. Ruiz-Castillo, P.; Buchwald, S.L. Applications of palladium-catalyzed C−N cross-coupling reactions. Chem. Rev. 2016, 116, 12564–12649. [Google Scholar] [CrossRef] [PubMed]
  36. Heravi, M.M.; Kheilkordi, Z.; Zadsirjan, V.; Heydari, M.; Malmir, M. Buchwald-Hartwig reaction: An overview. J. Organomet. Chem. 2018, 861, 17–104. [Google Scholar] [CrossRef]
  37. Dorel, R.; Grugel, C.P.; Haydl, A.M. The Buchwald–Hartwig amination after 25 years. Angew. Chem. Int. Ed. 2019, 58, 2–14. [Google Scholar] [CrossRef] [PubMed]
  38. Beletskaya, I.P.; Averin, A.D.; Bessmertnykh, A.G.; Denat, F.; Guilard, R. Palladium-catalyzed amination in the synthesis of polyazamacrocycles. Russ. J. Org. Chem. 2010, 46, 947–967. [Google Scholar] [CrossRef]
  39. Averin, A.D.; Uglov, A.N.; Lemeune, A.; Guilard, R.; Beletskaya, I.P. A simple and efficient approach to polyazamacrocycles. In Heterocyclic Compounds: Synthesis, properties and applications; Nylund, K., Johansson, P., Eds.; Nova Science Pubs: Hauppauge, NY, USA, 2010; pp. 119–146. [Google Scholar]
  40. Averin, A.D.; Kobelev, S.M.; Anokhin, M.V.; Bessmertnykh Lemeune, A.G.; Guilard, R.; Beletskaya, I.P. Palladium-catalyzed amination reaction in the synthesis of nitrogen and oxygen-containing macrocycles and macropolycycles. In Targets in heterocyclic systems: Chemistry and properties; Attanasi, O.A., Spinelli, D., Eds.; RSC: Cambridge, UK, 2011; Volume 15, pp. 193–225. [Google Scholar]
  41. Grigorova, O.K.; Averin, A.D.; Maloshitskaya, O.A.; Beletskaya, I.P. Synthesis of macrocycles containing endocyclic chiral BINAM moieties. Macroheterocycles 2016, 9, 425–432. [Google Scholar] [CrossRef]
  42. Grigorova, O.K.; Averin, A.D.; Maloshitskaya, O.A.; Beletskaya, I.P. Chiral BINAM-containing macrocycles with endocyclic 1,8- and 1,5-disubstituted anthraquinone structural fragments. Macroheterocycles 2017, 10, 446–453. [Google Scholar] [CrossRef][Green Version]
  43. Grigorova, O.K.; Gusev, D.I.; Averin, A.D.; Maloshitskaya, O.A.; Beletskaya, I.P. Chiral cryptands possessing fragments of (S)-2,2′-diamino-1,1′-binaphtalene and diaza-crown ethers. Russ. Chem. Bull. 2019, 68, 848–854. [Google Scholar] [CrossRef]
  44. Grigorova, O.K.; Averin, A.D.; Maloshitskaya, O.A.; Denat, F.; Beletskaya, I.P. Chiral cryptands possessing tetraazamacrocyclic and BINAM moieties: Synthesis and evaluation as fluorescent detectors. Macroheterocycles 2019, 12, 312–318. [Google Scholar] [CrossRef]
  45. Ukai, T.; Kawazura, H.; Ishii, Y.; Bonnet, J.J.; Ibers, J.A. Chemistry of dibenzylideneacetone-palladium(0) complexes: I. Novel tris(dibenzylideneacetone)dipalladium(solvent) complexes and their reactions with quinones. J. Organomet. Chem. 1974, 65, 253–266. [Google Scholar] [CrossRef]
  46. Valeur, B.; Leray, I. Design principles of fluorescent molecular sensors for cation recognition. Coord. Chem. Rev. 2000, 205, 3–40. [Google Scholar] [CrossRef]
Scheme 1. Pd-catalyzed modification of BINAM with N- and O-containing substituents.
Scheme 1. Pd-catalyzed modification of BINAM with N- and O-containing substituents.
Sensors 20 03234 sch001
Scheme 2. Modification of the Compound 7 with fluorophore groups.
Scheme 2. Modification of the Compound 7 with fluorophore groups.
Sensors 20 03234 sch002
Scheme 3. Modification of the Compound 8 with fluorophore groups.
Scheme 3. Modification of the Compound 8 with fluorophore groups.
Sensors 20 03234 sch003
Scheme 4. Modification of the Compound 10 with fluorophore groups.
Scheme 4. Modification of the Compound 10 with fluorophore groups.
Sensors 20 03234 sch004
Figure 1. Amino alcohols employed in this work.
Figure 1. Amino alcohols employed in this work.
Sensors 20 03234 g001
Figure 2. Fluorescence spectra of Compound 7 in the presence of (R)- and (S)-enantiomers of tert-leucinol (1000 equiv.); (a) general view; (b) schematic representation of the changes in emission.
Figure 2. Fluorescence spectra of Compound 7 in the presence of (R)- and (S)-enantiomers of tert-leucinol (1000 equiv.); (a) general view; (b) schematic representation of the changes in emission.
Sensors 20 03234 g002
Figure 3. Fluorescence spectra of Compound 14 in the presence of (R)- and (S)-enantiomers of tert-leucinol (1000 equiv.); (a) general view; (b) schematic representation of the changes in emission.
Figure 3. Fluorescence spectra of Compound 14 in the presence of (R)- and (S)-enantiomers of tert-leucinol (1000 equiv.); (a) general view; (b) schematic representation of the changes in emission.
Sensors 20 03234 g003
Figure 4. Fluorescence spectra of Compound 15 in the presence of (R)- and (S)-enantiomers of leucinol (1000 equiv.); (a) general view; (b) schematic representation of the changes in emission.
Figure 4. Fluorescence spectra of Compound 15 in the presence of (R)- and (S)-enantiomers of leucinol (1000 equiv.); (a) general view; (b) schematic representation of the changes in emission.
Sensors 20 03234 g004
Figure 5. Fluorescence spectra of Compound 15 in the presence of (R)- and (S)-enantiomers of 2-amino-1-propanol (1000 equiv.); (a) general view; (b) schematic representation of the changes in emission.
Figure 5. Fluorescence spectra of Compound 15 in the presence of (R)- and (S)-enantiomers of 2-amino-1-propanol (1000 equiv.); (a) general view; (b) schematic representation of the changes in emission.
Sensors 20 03234 g005
Figure 6. Fluorescence spectra of Compound 16 in the presence of (R)- and (S)-enantiomers of leucinol (1000 equiv.).
Figure 6. Fluorescence spectra of Compound 16 in the presence of (R)- and (S)-enantiomers of leucinol (1000 equiv.).
Sensors 20 03234 g006
Figure 7. Fluorescence spectra of Compound 16 in the presence of (R)- and (S)-enantiomers of 2-amino-1-propanol (1000 equiv.).
Figure 7. Fluorescence spectra of Compound 16 in the presence of (R)- and (S)-enantiomers of 2-amino-1-propanol (1000 equiv.).
Sensors 20 03234 g007
Figure 8. Fluorescence spectra of Compound 22 in the presence of (R)- and (S)-enantiomers of tert-leucinol (500 equiv.); (a) general view; (b) schematic representation of the changes in emission.
Figure 8. Fluorescence spectra of Compound 22 in the presence of (R)- and (S)-enantiomers of tert-leucinol (500 equiv.); (a) general view; (b) schematic representation of the changes in emission.
Sensors 20 03234 g008
Figure 9. Fluorescence spectra of Compound 22 in the presence of (R)- and (S)-enantiomers of 2-phenylglycinol (1000 equiv.); (a) general view; (b) schematic representation of the changes in emission.
Figure 9. Fluorescence spectra of Compound 22 in the presence of (R)- and (S)-enantiomers of 2-phenylglycinol (1000 equiv.); (a) general view; (b) schematic representation of the changes in emission.
Sensors 20 03234 g009
Figure 10. Fluorescence spectra of Compound 23 in the presence of (R)- and (S)-enantiomers of 2-amino-1-butanol (1000 equiv.); (a) general view; (b) schematic representation of the changes in emission.
Figure 10. Fluorescence spectra of Compound 23 in the presence of (R)- and (S)-enantiomers of 2-amino-1-butanol (1000 equiv.); (a) general view; (b) schematic representation of the changes in emission.
Sensors 20 03234 g010
Figure 11. Fluorescence spectra of Compound 24 in the presence of (R)- and (S)-enantiomers of tert-leucinol (1000 equiv.).
Figure 11. Fluorescence spectra of Compound 24 in the presence of (R)- and (S)-enantiomers of tert-leucinol (1000 equiv.).
Sensors 20 03234 g011
Figure 12. Fluorescence spectra of Compound 24 in the presence of (R)- and (S)-enantiomers of leucinol (1000 equiv.).
Figure 12. Fluorescence spectra of Compound 24 in the presence of (R)- and (S)-enantiomers of leucinol (1000 equiv.).
Sensors 20 03234 g012
Figure 13. Fluorescence spectra of Compound 25 in the presence of (R)- and (S)-enantiomers of leucinol (1000 equiv.).
Figure 13. Fluorescence spectra of Compound 25 in the presence of (R)- and (S)-enantiomers of leucinol (1000 equiv.).
Sensors 20 03234 g013
Figure 14. Fluorescence spectra of Compound 26 in the presence of (R)- and (S)-enantiomers of tert-leucinol (1000 equiv.); (a) general view; (b) schematic representation of the changes in emission.
Figure 14. Fluorescence spectra of Compound 26 in the presence of (R)- and (S)-enantiomers of tert-leucinol (1000 equiv.); (a) general view; (b) schematic representation of the changes in emission.
Sensors 20 03234 g014
Figure 15. Fluorescence spectra of Compound 26 in the presence of L- and D-valinol (1000 equiv.); (a) general view; (b) schematic representation of the changes in emission.
Figure 15. Fluorescence spectra of Compound 26 in the presence of L- and D-valinol (1000 equiv.); (a) general view; (b) schematic representation of the changes in emission.
Sensors 20 03234 g015
Figure 16. Fluorescence spectra of Compound 26 in the presence of (R)- and (S)-enantiomers of 2-amino-1-propanol (1000 equiv.); (a) general view; (b) schematic representation of the changes in emission.
Figure 16. Fluorescence spectra of Compound 26 in the presence of (R)- and (S)-enantiomers of 2-amino-1-propanol (1000 equiv.); (a) general view; (b) schematic representation of the changes in emission.
Sensors 20 03234 g016

Share and Cite

MDPI and ACS Style

Shaferov, A.V.; Malysheva, A.S.; Averin, A.D.; Maloshitskaya, O.A.; Beletskaya, I.P. Synthesis and Evaluation of the (S)-BINAM Derivatives as Fluorescent Enantioselective Detectors. Sensors 2020, 20, 3234. https://doi.org/10.3390/s20113234

AMA Style

Shaferov AV, Malysheva AS, Averin AD, Maloshitskaya OA, Beletskaya IP. Synthesis and Evaluation of the (S)-BINAM Derivatives as Fluorescent Enantioselective Detectors. Sensors. 2020; 20(11):3234. https://doi.org/10.3390/s20113234

Chicago/Turabian Style

Shaferov, Alexander V., Anna S. Malysheva, Alexei D. Averin, Olga A. Maloshitskaya, and Irina P. Beletskaya. 2020. "Synthesis and Evaluation of the (S)-BINAM Derivatives as Fluorescent Enantioselective Detectors" Sensors 20, no. 11: 3234. https://doi.org/10.3390/s20113234

APA Style

Shaferov, A. V., Malysheva, A. S., Averin, A. D., Maloshitskaya, O. A., & Beletskaya, I. P. (2020). Synthesis and Evaluation of the (S)-BINAM Derivatives as Fluorescent Enantioselective Detectors. Sensors, 20(11), 3234. https://doi.org/10.3390/s20113234

Note that from the first issue of 2016, this journal uses article numbers instead of page numbers. See further details here.

Article Metrics

Back to TopTop