Driving Factors and Future Prediction of Land Use and Cover Change Based on Satellite Remote Sensing Data by the LCM Model: A Case Study from Gansu Province, China
Abstract
1. Introduction
2. Materials and Methods
2.1. Study Area
2.2. Data Source and Processing
2.3. Methods
2.3.1. Land Use and Land Cover Transition Matrix
2.3.2. Dynamic Degree and Intensity of LUCC
2.3.3. Logistic Regression Model
2.3.4. Integrated LCM Model
2.3.5. Model Validation
2.3.6. Landscape Patterns Analysis
3. Results
3.1. LUCC Pattern from 1980 to 2018
3.2. Driving Factors of LUCC
3.3. Model Validation
3.4. Prediction for Future LUCC Under Two Scenarios
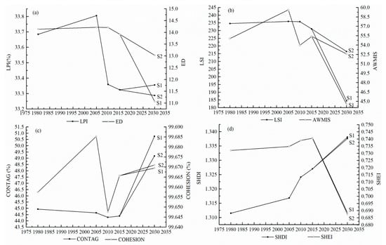
3.5. Landscape Pattern Change from 1980 to 2030
4. Discussion
4.1. Spatiotemporal Characteristics of LUCC from 1980 to 2018
4.2. Driving Mechanism of LUCC
4.2.1. Natural Factors
4.2.2. Proximity Factors
4.2.3. Socioeconomic Factors
4.3. Land Use and Cover in 2030
4.4. The Changes of Landscapes
4.5. Availability of the Integrated LCM Model
4.6. Implication for Optimizing the Land Use and Cover in Global Arid and Semiarid Areas
5. Conclusions
Author Contributions
Funding
Conflicts of Interest
References
- Dibaba, W.T.; Demissie, T.A.; Miegel, K. Drivers and Implications of Land Use/Land Cover Dynamics in Finchaa Catchment, Northwestern Ethiopia. Land 2020, 9, 113. [Google Scholar] [CrossRef]
- Fan, Z.M.; Li, S.B. Change pattern of land cover and its driving force since 2001 in the New Eurasian Continental Bridge Economic Corridor. Acta Ecol. Sin. 2019, 39, 5015–5027. [Google Scholar] [CrossRef]
- Homer, C.; Dewitz, J.; Jin, S.; Xian, G.; Costello, C.; Danielson, P.; Gass, L.; Funk, M.; Wickham, J.; Stehman, S.; et al. Conterminous United States land cover change patterns 2001–2016 from the 2016 National Land Cover Database. ISPRS J. Photogramm. Remote Sens. 2020, 162, 184–199. [Google Scholar] [CrossRef]
- Cao, J.J.; Zhang, X.F.; Deo, E.; Gong, Y.F.; Feng, Q. Influence of stand type and stand age on soil carbon storage in China’s arid and semi-arid regions. Land Use Policy 2018, 78, 258–265. [Google Scholar] [CrossRef]
- Zhu, E.Y.; Deng, J.S.; Zhou, M.M.; Gan, M.Y.; Jiang, R.W.; Wang, K.; Shahtahmassebi, A. Carbon emissions induced by land-use and land-cover change from 1970 to 2010 in Zhejiang, China. Sci. Total Environ. 2019, 646, 930–939. [Google Scholar] [CrossRef]
- Li, G.; Sun, S.B.; Han, J.C.; Yan, J.W.; Liu, W.B.; Wei, Y.; Lu, N.; Sun, Y.Y. Impacts of Chinese Grain for Green program and climate change on vegetation in the Loess Plateau during 1982–2015. Sci. Total Environ. 2019, 660, 177–187. [Google Scholar] [CrossRef]
- Sy, S.; Quesada, B. Anthropogenic land cover change impact on climate extremes during the 21st century. Environ. Res. Lett. 2020, 15, 034002. [Google Scholar] [CrossRef]
- De Koning, G.; Benitez, P.; Munoz, F.; Olschewski, R. Modelling the impacts of payments for biodiversity conservation on regional land-use patterns. Landscape Urban Plan 2007, 83, 255–267. [Google Scholar] [CrossRef]
- Yan, D.; Scott, R.L.; Moore, D.J.P.; Biederman, J.A.; Smith, W.K. Understanding the relationship between vegetation greenness and productivity across dryland ecosystems through the integration of phenocam, satellite, and eddy covariance data. Remote. Sens. Environ. 2019, 223, 50–62. [Google Scholar] [CrossRef]
- Veldkamp, A.; Lambin, E.F. Predicting land-use change. Agric. Eco-Syst. Environ. 2001, 85, 1–6. [Google Scholar] [CrossRef]
- Meaza, H.; Tsegaye, D.; Nyssen, J. Allocation of degraded hillsides to landless farmers and improved livelihoods in Tigray, Ethiopia. Nor. Geogr. Tidsskr. 2016, 70, 1–12. [Google Scholar] [CrossRef]
- Hoyer, R.; Chang, H. Assessment of freshwater ecosystem services in the Tualatin and Yamhill basins under climate change and urbanization. Appl. Geogr. 2014, 53, 402–416. [Google Scholar] [CrossRef]
- Turner, B.L., II; Lambin, E.F.; Reenberg, A. The emergence of land change science for global environmental change and sustainability. Proc. Natl. Acad. Sci. USA 2007, 104, 20666–20671. [Google Scholar] [CrossRef]
- Hishe, S.; Bewket, W.; Nyssen, J.; Lyimo, J. Analysing past land use land cover change and CA-Markov-based future modelling in the Middle Suluh Valley, Northern Ethiopia. Geocarto Int. 2020, 35, 225–255. [Google Scholar] [CrossRef]
- Tian, Y.; Yin, K.; Lu, D.; Hua, L.; Zhao, Q.; Wen, M. Examining Land Use and Land Cover Spatiotemporal Change and Driving Forces in Beijing from 1978 to 2010. Remote Sens. 2014, 6, 10593–10611. [Google Scholar] [CrossRef]
- Li, C.L.; Liu, M.; Hu, Y.M.; Xu, Y.Y.; Sun, F.Y. Driving forces analysis of urban expansion based on boosted regression trees and Logistic regression. Acta Ecol. Sin. 2014, 34, 727–737. [Google Scholar] [CrossRef]
- Du, X.; Jin, X.; Yang, X.; Yang, X.; Zhou, Y. Spatial Pattern of Land Use Change and Its Driving Force in Jiangsu Province. Int. J. Environ. Res. Public Health 2014, 11, 3215–3232. [Google Scholar] [CrossRef]
- Wang, K.; Li, X.J. Analysis of driving mechanism of land use change in Jinan under the background of urbanization. China Popul. Resour. Environ. 2017, 27, S2. [Google Scholar]
- Fu, X.; Wang, X.; Yang, Y.J. Deriving suitability factors for CA-Markov land use simulation model based on local historical data. J. Environ. Manag. 2017, 206, 10–19. [Google Scholar] [CrossRef]
- Hu, X.; Li, X.; Lu, L. Modeling the Land Use Change in an Arid Oasis Constrained by Water Resources and Environmental Policy Change Using Cellular Automata Models. Sustainability 2018, 10, 2878. [Google Scholar] [CrossRef]
- Jiao, M.Y.; Hu, M.; Xia, B. Spatiotemporal dynamic simulation of land-use and landscape pattern in the pearl river delta, china. Sustain. Cities Soc. 2019, 49, 101581. [Google Scholar] [CrossRef]
- Corner, R.J.; Dewan, A.M.; Chakma, S. Monitoring and Prediction of Land-Use and Land-Cover (LULC) Change. In Dhaka Megacity; Dewan, A., Corner, R., Eds.; Springer: Dordrecht, The Netherlands, 2014. [Google Scholar] [CrossRef]
- Waltz, R. Development of environmental indicator systems: Experiences from Germany. Environ. Manag. 2000, 25, 613–623. [Google Scholar] [CrossRef] [PubMed]
- Agarski, B.; Budak, I.; Kosec, B. An approach to multi-criteria environmental evaluation with multiple weight assignment. Environ. Model. Assess 2012, 17, 255–266. [Google Scholar] [CrossRef]
- Xie, H.L.; Li, B. Driving forces analysis of land-use pattern changes based on logistic regression model in the farming-pastoral zone: A case study of Ongiud Banner, Inner Mongolia. Geogr. Res. 2008, 27, 294–304. [Google Scholar] [CrossRef]
- Silva, L.; Xavier, A.; Silva, R.; Santos, C. Modeling land cover change based on an artificial neural network for a semiarid river basin in northeastern Brazil. Glob. Ecol. Conserv. 2020, 21, e00811. [Google Scholar] [CrossRef]
- Aburas, M.M.; Ho, Y.M.; Ramli, M.F.; Ash’aari, Z.H. Improving the capability of an integrated CA-Markov model to simulate spatio-temporal urban growth trends using an analytical hierarchy process and frequency ratio. Int. J. Appl. Earth Obs. Geoinf. 2017, 59, 65–78. [Google Scholar] [CrossRef]
- Ozturk, D. Urban Growth Simulation of Atakum (Samsun, Turkey) Using Cellular Automata-Markov Chain and Multi-Layer Perceptron-Markov Chain Models. Remote Sens. 2015, 7, 5918–5950. [Google Scholar] [CrossRef]
- Kamusoko, C.; Gamba, J. Simulating Urban Growth Using a Random Forest-Cellular Automata (RF-CA) Model. ISPRS Int. J. Geo-Inf. 2015, 4, 447–470. [Google Scholar] [CrossRef]
- Shahbazian, Z.; Faramarzi, M.; Rostami, N.; Mahdizadeh, H. Integrating logistic regression and cellular automata–Markov models with the experts’ perceptions for detecting and simulating land use changes and their driving forces. Environ. Monit. Assess. 2019, 191, 422. [Google Scholar] [CrossRef]
- Sarkar, T.; Mishra, M. Soil Erosion Susceptibility Mapping with the Application of Logistic Regression and Artificial Neural Network. J. Geovisualization Spat. Anal. 2018, 2, 8. [Google Scholar] [CrossRef]
- Cetin, M.; Demirel, H. Modelling and simulation of urban dynamics. Fresen. Environ. Bull. 2008, 19, 2348–2353. [Google Scholar]
- He, D.; Jin, F.J.; Zhou, J. The Changes of Land Use and Landscape Pattern Based on Logistic-CA-Markov Model—A Case Study of Beijing-Tianjin-Hebei Metropolitan Region. Sci. Geogr. Sin. 2011, 31, 8. [Google Scholar]
- Jokar Arsanjani, J.; Helbich, M.; Kainz, W.; Darvishi Boloorani, A. Integration of logistic regression, markov chain and cellular automata models to simulate urban expansion. Int. J. Appl. Earth Obs. 2013, 21, 265–275. [Google Scholar] [CrossRef]
- White, R.P.; Nackoney, J. Drylands, People and Ecosystem Goods and Services; World Resources Institute: Washington, DC, USA, 2003. [Google Scholar]
- Yan, X.Y.; Zhang, Q.; Yan, X.M.; Wang, S.; Ren, X.Y.; Zhao, F.N. An overview of distribution characteristics and formation mechanisms in global arid areas. Adv. Earth Sci. 2019, 34, 826–841. [Google Scholar] [CrossRef]
- Wang, W.; Adamowski, J.F.; Liu, C.; Liu, Y.; Zhang, Y.; Wang, X.; Su, H.; Cao, J. The Impact of Virtual Water on Sustainable Development in Gansu Province. Appl. Sci. 2020, 10, 586. [Google Scholar] [CrossRef]
- Li, M.T.; Qin, Y.Y.; Cao, J.J.; Xu, X.Y.; Gong, Y.F. Effects of forests types on soil organic carbon in semi-arid area: A case study of Huining county. Chin. J. Ecol. 2018, 37, 45–52. [Google Scholar] [CrossRef]
- Wang, X.; Adamowski, J.F.; Wang, G.; Cao, J.; Zhu, G.; Zhou, J.; Liu, C.; Dong, X. Farmers’ Willingness to Accept Compensation to Maintain the Benefits of Urban Forests. Forests 2019, 10, 691. [Google Scholar] [CrossRef]
- Du, X.; Zhao, X.; Liang, S.; Zhao, J.; Xu, P.; Wu, D. Quantitatively Assessing and Attributing Land Use and Land Cover Changes on China’s Loess Plateau. Remote Sens. 2020, 12, 353. [Google Scholar] [CrossRef]
- Kuang, W.H.; Liu, J.Y.; Dong, J.W.; Chi, W.F.; Zhang, C. The rapid and massive urban and industrial land expansions in China between 1990 and 2010: A CLUD-based analysis of their trajectories, patterns, and drivers. Landsc. Urban Plan 2016, 145, 21–33. [Google Scholar] [CrossRef]
- Zhang, F.; Kung, H.T.; Johnson, V.C. Assessment of Land-Cover/Land-Use Change and Landscape Patterns in the Two National Nature Reserves of Ebinur Lake Watershed, Xinjiang, China. Sustainability 2017, 9, 724. [Google Scholar] [CrossRef]
- Li, X.W.; Fang, J.Y.; Piao, S.L. Land use Changes and Its Implication to the Ecological Consequences in Lower Yangtze Region. Acta Geogr. Sin. 2003, 58, 659–667. [Google Scholar]
- Pereira, J.M.C.; Itami, R.M. GIS-based habitat modeling using logistic multiple regression: A study of the Mt. Graham red squirrel. Photogramm. Eng. Remote Sens. 1991, 57, 1475–14861. [Google Scholar]
- Pontius, R.G.; Schneider, L.C. Land-cover change model validation by an ROC method for the Ipswich-watershed, Massachusetts, USA. Agric. Ecosyst. Environ. 2001, 85, 239–248. [Google Scholar] [CrossRef]
- Nor, A.N.M.; Corstanje, R.; Harris, J.A.; Brewer, T. Impact of rapid urban expansion on green space structure. Ecol. Ind. 2017, 81, 274–284. [Google Scholar] [CrossRef]
- Basse, R.M.; Omrani, H.; Charif, O.; Gerber, P.; Bódis, K. Land use changes modelling using advanced methods: Cellular automata and artificial neural networks. The spatial and explicit representation of land cover dynamics at the cross-border region scale. Appl. Geogr. 2014, 53, 160–171. [Google Scholar] [CrossRef]
- Chu, S.; Chen, L. Evaluation of Energy Saving and Emission Reduction of Anhui Based on Variance Coefficient Approach. China Popul. Resour. Environ. 2011, 21, 512–516. [Google Scholar] [CrossRef]
- Visser, H.; de Nijs, T. The map comparison kit. Environ. Model. Softw. 2006, 21, 346–358. [Google Scholar] [CrossRef]
- Mcgarigal, K.; Marks, B.J. FRAGSTATS: Spatial pattern analysis program for quantifying landscape structure. Gen. Tech. Rep. PNW 1995, 351. [Google Scholar] [CrossRef]
- McGarigal, K. Fragstats v4: Spatial Pattern Analysis Program for Categorical and Continuous Maps-Help Manual; University of Massachusetts: Amherst, MA, USA, 2014; p. 44. [Google Scholar]
- Huang, S.W.; Li, X.F.; Wu, B.F.; Pei, L. The Distribution and Drivers of Land Degradation in the Three-North Shelter Forest Region of China during 1982-2006. Acta Geogr. Sin. 2012, 67, 15–24. [Google Scholar] [CrossRef]
- Wen, J. The characteristics of atmosphere turbidity and sand and dust over Heihe basin desert and Gobi area. J. Appl. Meteorol. Sci. 1994, 5, 27–33. [Google Scholar]
- Li, X.Y.; Wang, L.X.; Zhang, Y.S.; Zhang, H.Q. Analysis of Roles of Human Activities in Land Desertification in Arid Area of Northwest China. Sci. Geogr. Sin. 2004, 24, 68–75. [Google Scholar]
- Zhao, M.M.; He, Z.B.; Du, J.; Chen, L.F.; Lin, P.F.; Fang, S. Assessing the effects of ecological engineering on carbon storage by linking the CA-Markov and InVEST models. Ecol. Indic. 2019, 98, 29–38. [Google Scholar] [CrossRef]
- Zhang, T.R. The Formation Mechanism of Dust Storm in Northern China and Desertification Control Studies. Master’s Thesis, Lanzhou University, Lanzhou, China, June 2008. [Google Scholar]
- Zhang, J.M.; Zang, C.F. spatial and temporal variability characteristics and driving mechanism of land use in Southeastern river basin from 1990 to 2015. Acta Ecol. Sin. 2019, 39, 9339–9550. [Google Scholar] [CrossRef]
- Jin, S.T.; Li, B.; Yang, Y.C.; Shi, P.J.; Da, F.W.; Wang, M.M. Spatiotemporal characteristics and patterns of land use changes in Gansu Province. J. Lanzhou Univ. Nat. Sci. 2016, 52, 341. [Google Scholar] [CrossRef]
- Pan, J.H.; Shi, P.J.; Dong, X.F. Study on intensive land use and urbanization development in Gansu Province. J. Arid Land Resour. Environ. 2008, 22, 28–33. [Google Scholar] [CrossRef]
- Halmy, M.W.A.; Gessler, P.E.; Hicke, J.A.; Salem. B.B. Land use/land cover change detection and prediction in the north-western coastal desert of Egypt using Markov-CA. Appl. Geogr. 2015, 63, 101–112. [Google Scholar] [CrossRef]
- Li, L.; Liu, P.X.; Yao, Y.L. land-use dynamic change of Jinchang city in the last 28 years and simulation prediction. Chin. J. Ecol. 2015, 34, 1097–1104. [Google Scholar] [CrossRef]
- Yu, H.; Zhang, B.; Wang, Z.M.; Ren, C.Y.; Mao, D.H.; Jia, M.M. Land Cover Change and Its Driving Forces in the Republic of Korea Since the 1990s. Sci. Geogr. Sin. 2017, 37, 1755–1763. [Google Scholar] [CrossRef]
- Bezak, N.; Rusjan, S.; Petan, S.; Sodnik, J.; Mikos, M. Estimation of soil loss by the WATEM/SEDEM model using an automatic parameter estimation procedure. Environ. Earth Sci. 2015, 74, 5245–5261. [Google Scholar] [CrossRef]
- Dong, Y.L.; Yu, H.; Wang, Z.M.; Li, M.Y. Land cover change of DPRK and its driving forces from 1990 to 2015. J. Nat. Resour. 2019, 34, 70–82. [Google Scholar] [CrossRef]
- Chamling, M.; Bera, B. Spatio-temporal Patterns of Land Use/Land Cover Change in the Bhutan-Bengal Foothill Region Between 1987 and 2019: Study towards Geospatial Applications and Policy Making. Earth Syst. Environ. 2020, 4, 117–130. [Google Scholar] [CrossRef]
- Li, Y.L.; Han, M.; Kong, X.L.; Wang, M.; Pan, B.; Wei, F.; Huang, S.P. Study on transformation trajectory and driving factors of cultivated land in the Yellow River Delta in recent 30 years. China Popul. Resour. Environ. 2019, 29, 136–143. [Google Scholar] [CrossRef]
- Bai, W.Q.; Yan, J.Z.; Zhang, Y.L. Land use/land cover change and driving forces in the region of upper reaches of the Dadu river. Prog. Geogr. 2004, 23, 71–78. [Google Scholar] [CrossRef]
- Liu, M.; Hu, Y.M.; Sun, F.Y.; Xu, Y.Y.; Zhou, Y. Application of land use model CLUE-S in the planning of central Liaoning urban agglomerations. Chin. J. Ecol. 2012, 31, 413–420. [Google Scholar] [CrossRef]
- Zhang, M. A statistical analysis on land use structure and its driving forces-taking Yulin prefecture as an example. Prog. Geogr. 1997, 16, 19–26. [Google Scholar] [CrossRef]
- Wang, J.; Chen, Y.; Shao, X.; Zhang, Y.; Cao, Y. Land-use changes and policy dimension driving forces in china: Present, trend and future. Land Use Policy 2012, 29, 737–749. [Google Scholar] [CrossRef]
- Yue, M.; Li, H.L. The dynamic analysis of economic development in gansu since reform and opening up-based on the perspective of the industrial structure evolution. Hum. Geogr. 2009, 2, 102–107. [Google Scholar] [CrossRef]
- Bai, W.Q.; Zhang, Y.M.; Yan, J.Z.; Zhang, Y.L. Simulation of land use dynamic in the upper reaches of the Dadu River. Geogr. Res. 2005, 24. [Google Scholar]
- Xu, X.; Guan, M.; Jiang, H.; Wang, L. Dynamic Simulation of Land Use Change of the Upper and Middle Streams of the Luan River, Northern China. Sustainability 2019, 11, 4909. [Google Scholar] [CrossRef]
- Li, G.D.; Qi, W. Impacts of construction land expansion on landscape pattern evolution in China. Acta Geogr. Sin. 2019, 74, 2572–2591. [Google Scholar]
- Wang, C.; Lei, S.; Elmore, A.J.; Jia, D.; Mu, S. Integrating Temporal Evolution with Cellular Automata for Simulating Land Cover Change. Remote Sens. 2019, 11, 301. [Google Scholar] [CrossRef]
- Wang, C.; Zhen, L.; Dui, B.Z.; Sun, C.Z. Assessment of the impact of Grain for Green project on farmers’ livelihood in the Loess Plateau. Chin. J. Eco-Agric. 2014, 22, 850–858. [Google Scholar] [CrossRef]







| Factor Types | Potential Driving Factors | Description | Units | Signs |
|---|---|---|---|---|
| Natural factors | temperature | annual mean temperature | mm | X1 |
| precipitation | annual mean precipitation | °C | X2 | |
| elevation | DEM data | m | X3 | |
| aspect | range from 0 to 360 | ° | X4 | |
| slope | range from 0 to 90 | ° | X5 | |
| Proximity factors | distance to water body | Euclidean distance to water body | km | X6 |
| distance to road | Euclidean distance to road | km | X7 | |
| distance to residential point | Euclidean distance to residential point | km | X8 | |
| Socioeconomic factors | GDP change | mean annual growth rate of GDP | % | X9 |
| GDP per capita | mean annual growth rate of GDP per capita | % | X10 | |
| agricultural outputs | mean annual growth rate of agricultural output | % | X11 | |
| industrial outputs | mean annual growth rate of industrial output | % | X12 | |
| tertiary industry outputs | mean annual growth rate of tertiary industry output | % | X13 | |
| livestock number | mean annual growth rate of livestock | % | X14 | |
| population change | mean annual natural population growth rate | % | X15 |
| Potential Factors | Farmland | Forest | Grassland | Water Area | Built-Up Land | Unused Land |
|---|---|---|---|---|---|---|
| X1 | - | 0.039 | 0.028 | 0.034 | - | 0.033 |
| X2 | 0.077 | 0.113 | 0.082 | 0.098 | 0.164 | 0.096 |
| X3 | 0.044 | 0.064 | 0.046 | 0.055 | 0.093 | 0.054 |
| X4 | 0.067 | 0.098 | 0.071 | - | - | - |
| X5 | 0.114 | 0.166 | 0.121 | 0.144 | 0.242 | 0.170 |
| X6 | 0.138 | - | - | 0.174 | - | 0.135 |
| X7 | 0.109 | - | 0.116 | 0.138 | 0.232 | 0.117 |
| X8 | 0.095 | 0.139 | 0.101 | 0.120 | 0.202 | - |
| X9 | - | 0.084 | 0.061 | - | - | - |
| X10 | 0.066 | 0.096 | 0.070 | 0.083 | - | 0.081 |
| X11 | 0.031 | - | - | - | 0.066 | - |
| X12 | 0.121 | - | 0.128 | 0.153 | - | 0.149 |
| X13 | - | - | 0.029 | - | - | 0.034 |
| X14 | 0.106 | 0.155 | 0.112 | - | - | 0.131 |
| X15 | 0.032 | 0.047 | 0.034 | - | - | - |
| Land Use and Cover Types in 1980 | Land Use and Cover Types in 2005 | Total | |||||
|---|---|---|---|---|---|---|---|
| Farmland | Forest | Grassland | Water Area | Built-Up Land | Unused Land | ||
| Farmland | - | 341.11 | 1997.17 | 46.03 | 479.05 | 136.66 | 3000.02 |
| Forest | 211.59 | - | 918.90 | 6.96 | 19.08 | 26.39 | 1182.90 |
| Grassland | 2373.87 | 983.81 | - | 34.55 | 71.69 | 674.99 | 4138.90 |
| Water area | 165.07 | 22.30 | 84.72 | - | 8.59 | 58.49 | 339.17 |
| Built-up land | 105.53 | 4.83 | 25.23 | 1.52 | - | 1.92 | 139.02 |
| Unused land | 997.22 | 35.15 | 735.23 | 63.19 | 46.60 | - | 1877.38 |
| Total | 3853.27 | 1387.19 | 3761.25 | 152.25 | 625.00 | 898.44. | 10677.41 |
| Land Use and Cover Types in 2005 | Land Use and Cover Types in 2018 | Total | |||||
|---|---|---|---|---|---|---|---|
| Farmland | Forest | Grassland | Water Area | Built-Up Land | Unused Land | ||
| Farmland | - | 1335.04 | 12703.67 | 319.27 | 1916.13 | 632.04 | 16906.15 |
| Forest | 1121.55 | - | 5412.95 | 57.88 | 80.93 | 327.87 | 7001.17 |
| Grassland | 11532.78 | 5624.00 | - | 332.93 | 626.79 | 5367.83 | 23484.34 |
| Water area | 270.05 | 56.21 | 272.08 | - | 43.77 | 205.70 | 847.81 |
| Built-up land | 1119.76 | 51.28 | 295.43 | 24.19 | - | 29.94 | 1520.59 |
| Unused land | 1340.63 | 312.00 | 5535.72 | 664.38 | 452.30 | - | 8305.03 |
| Total | 15384.77 | 7378.53 | 24219.85 | 1398.66 | 3119.92 | 6563.37 | 58065.09 |
| Land Use and Cover Types | Dynamic Degree (%) | Intensity (%) | ||
|---|---|---|---|---|
| 1980–2005 | 2005–2018 | 1980–2005 | 2005–2018 | |
| Farmland | 0.051 | −0.168 | 0.008 | −0.028 |
| Forest | 0.020 | 0.065 | 0.002 | 0.006 |
| Grassland | −0.010 | 0.034 | −0.003 | 0.012 |
| Water area | −0.205 | 1.146 | −0.002 | 0.010 |
| Built-up land | 0.569 | 3.030 | 0.004 | 0.029 |
| Unused land | −0.022 | −0.076 | −0.009 | −0.033 |
| Land Use and Cover Types | Driving Factors | Regression Coefficients | Standard Error | Wald Statistic | Significance Level | Exp (B) |
|---|---|---|---|---|---|---|
| Farmland | X4 | −0.001 | 0.000 | 10.281 | 0.001 | 0.999 |
| X3 | −0.001 | 0.000 | 170.418 | 0.000 | 0.999 | |
| X2 | 0.003 | 0.000 | 138.424 | 0.000 | 1.003 | |
| X5 | −0.052 | 0.004 | 160.534 | 0.000 | 0.949 | |
| X12 | −2.723 | 0.309 | 77.781 | 0.000 | 0.066 | |
| X7 | −0.065 | 0.000 | 13.307 | 0.000 | 1.000 | |
| X8 | −0.206 | 0.000 | 363.532 | 0.000 | 1.000 | |
| X6 | −0.051 | 0.000 | 11.809 | 0.001 | 1.000 | |
| X11 | 6.017 | 1.053 | 32.631 | 0.000 | 410.209 | |
| X10 | 5.910 | 0.607 | 94.715 | 0.000 | 368.881 | |
| X15 | −0.536 | 0.253 | 4.510 | 0.034 | 0.585 | |
| X14 | 0.193 | 0.088 | 4.788 | 0.029 | 1.212 | |
| Forest | X4 | 0.001 | 0.000 | 3.967 | 0.046 | 1.001 |
| X3 | 0.001 | 0.000 | 200.220 | 0.000 | 1.001 | |
| X2 | 0.005 | 0.000 | 380.118 | 0.000 | 1.005 | |
| X5 | 0.049 | 0.004 | 163.644 | 0.000 | 1.050 | |
| X1 | 0.160 | 0.021 | 56.974 | 0.000 | 1.173 | |
| X9 | −2.280 | 0.656 | 12.079 | 0.001 | 0.102 | |
| X8 | −0.030 | 0.000 | 12.065 | 0.001 | 1.000 | |
| X10 | 5.248 | 0.685 | 58.726 | 0.000 | 190.262 | |
| X15 | −0.755 | 0.308 | 5.998 | 0.014 | 0.470 | |
| X14 | −0.512 | 0.093 | 30.063 | 0.000 | 0.600 | |
| Grassland | X4 | 0.000 | 0.000 | 5.913 | 0.015 | 1.000 |
| X3 | 0.000 | 0.000 | 71.275 | 0.000 | 1.000 | |
| X2 | 0.001 | 0.000 | 54.098 | 0.000 | 1.001 | |
| X5 | 0.008 | 0.003 | 10.756 | 0.001 | 1.009 | |
| X1 | −0.041 | 0.014 | 8.750 | 0.003 | 0.960 | |
| X9 | −2.202 | 0.496 | 19.749 | 0.000 | 0.111 | |
| X13 | 0.965 | 0.400 | 5.834 | 0.016 | 2.625 | |
| X12 | −1.196 | 0.245 | 23.870 | 0.000 | 0.302 | |
| X7 | −0.017 | 0.000 | 6.290 | 0.012 | 1.000 | |
| X8 | −0.020 | 0.000 | 43.804 | 0.000 | 1.000 | |
| X10 | 3.961 | 0.491 | 64.958 | 0.000 | 52.494 | |
| X15 | 0.945 | 0.171 | 30.683 | 0.000 | 2.573 | |
| X14 | −0.326 | 0.076 | 18.425 | 0.000 | 0.722 | |
| Water area | X3 | 0.001 | 0.000 | 37.197 | 0.000 | 1.001 |
| X2 | −0.002 | 0.001 | 6.110 | 0.013 | 0.998 | |
| X5 | −0.046 | 0.013 | 11.821 | 0.001 | 0.955 | |
| X1 | 0.195 | 0.069 | 8.047 | 0.005 | 1.215 | |
| X12 | −4.478 | 1.274 | 12.356 | 0.000 | 0.011 | |
| X7 | −0.129 | 0.000 | 16.105 | 0.000 | 1.000 | |
| X8 | −0.102 | 0.000 | 18.335 | 0.000 | 1.000 | |
| X6 | −0.001 | 0.000 | 44.078 | 0.000 | 0.999 | |
| X10 | 5.070 | 1.919 | 6.979 | 0.008 | 159.219 | |
| Built-up land | X3 | 0.000 | 0.000 | 5.749 | 0.016 | 1.000 |
| X2 | 0.003 | 0.001 | 31.395 | 0.000 | 1.003 | |
| X5 | −0.139 | 0.019 | 53.999 | 0.000 | 0.870 | |
| X7 | −0.390 | 0.000 | 19.492 | 0.000 | 1.000 | |
| X8 | −0.255 | 0.000 | 47.063 | 0.000 | 1.000 | |
| X11 | −6.555 | 2.902 | 5.101 | 0.024 | 0.001 | |
| Unused land | X3 | 0.000 | 0.000 | 108.017 | 0.000 | 1.000 |
| X2 | −0.012 | 0.000 | 933.409 | 0.000 | 0.988 | |
| X1 | −0.562 | 0.036 | 240.324 | 0.000 | 0.570 | |
| X13 | 1.762 | 0.584 | 9.110 | 0.003 | 5.825 | |
| X12 | 4.198 | 0.422 | 98.789 | 0.000 | 66.535 | |
| X7 | 0.044 | 0.000 | 25.954 | 0.000 | 1.000 | |
| X8 | 0.035 | 0.000 | 89.307 | 0.000 | 1.000 | |
| X6 | 0.081 | 0.000 | 76.450 | 0.000 | 1.000 | |
| X10 | −6.935 | 0.808 | 73.715 | 0.000 | 0.001 | |
| X14 | −1.608 | 0.312 | 26.473 | 0.000 | 0.200 |
| Land Use and Cover | Farmland | Forest | Grassland | Water Area | Built-Up Land | Unused Land | Total |
|---|---|---|---|---|---|---|---|
| Actuality | 64927.88 | 38226.20 | 143,281.66 | 3357.43 | 4260.18 | 171,445.61 | 425,498.98 |
| Prediction | 72139.68 | 38431.24 | 145,349.78 | 5376.15 | 5849.64 | 158,393.94 | 425,540.43 |
| Error | 0.111 | 0.005 | 0.014 | 0.60 | 0.373 | −0.076 | 0.0001 |
© 2020 by the authors. Licensee MDPI, Basel, Switzerland. This article is an open access article distributed under the terms and conditions of the Creative Commons Attribution (CC BY) license (http://creativecommons.org/licenses/by/4.0/).
Share and Cite
Li, K.; Feng, M.; Biswas, A.; Su, H.; Niu, Y.; Cao, J. Driving Factors and Future Prediction of Land Use and Cover Change Based on Satellite Remote Sensing Data by the LCM Model: A Case Study from Gansu Province, China. Sensors 2020, 20, 2757. https://doi.org/10.3390/s20102757
Li K, Feng M, Biswas A, Su H, Niu Y, Cao J. Driving Factors and Future Prediction of Land Use and Cover Change Based on Satellite Remote Sensing Data by the LCM Model: A Case Study from Gansu Province, China. Sensors. 2020; 20(10):2757. https://doi.org/10.3390/s20102757
Chicago/Turabian StyleLi, Kongming, Mingming Feng, Asim Biswas, Haohai Su, Yalin Niu, and Jianjun Cao. 2020. "Driving Factors and Future Prediction of Land Use and Cover Change Based on Satellite Remote Sensing Data by the LCM Model: A Case Study from Gansu Province, China" Sensors 20, no. 10: 2757. https://doi.org/10.3390/s20102757
APA StyleLi, K., Feng, M., Biswas, A., Su, H., Niu, Y., & Cao, J. (2020). Driving Factors and Future Prediction of Land Use and Cover Change Based on Satellite Remote Sensing Data by the LCM Model: A Case Study from Gansu Province, China. Sensors, 20(10), 2757. https://doi.org/10.3390/s20102757

