A Novel Internet of Things-Enabled Accident Detection and Reporting System for Smart City Environments
Abstract
1. Introduction
2. Background
2.1. Perception Layer
2.2. Network Layer
2.3. Middleware Layer
2.4. Application Layer
2.5. Business Layer
3. Literature Review
3.1. Smart Phone-Based Systems
3.2. Hardware-Based Systems
4. Proposed Architecture
4.1. Phase 1: Accident Detection
Accident Detection Components
- Smartphone Accelerometer sensor: This component is used to detect accelerometer sensor information to find out the acceleration force (or G-force). The accelerometer in a smartphone is one of the essential components to detect an accident. If the acceleration force is greater than 4 G, an accident flag is raised [35]. It should be noted that, to detect an accident accurately, the G-force data is insufficient in isolation. Furthermore, the threshold value of 4 G is derived through a combination of secondary research and experimentation. When the phone is dropped inside or outside of the vehicle, readings of 2 G or 3 G are observed [11]. If a vehicle stops suddenly but is not in an accident (say under emergency braking), it encounters under 1 G of force. By considering all cases, 4 G is determined as a threshold to raise an accident flag. This threshold value helps to avoid any false positives [62].
- GPS Technology: This component is used to extract the Global Navigation Satellite System (GNSS) positional data through the GPS system. The GPS system identifies and tracks the position of the vehicle and forwards that data through the system. The GPS data can also be used as a determinant of speed and can be used to determine the speed of the vehicle. The probability of accurately identifying an accident is increased by considering the speed of the vehicle, since at different speeds the factors such as noise generated and deceleration experienced are different to higher speed accidents. If the speed of the vehicle is less than 24 km/h, there would not be dramatic changes in the speed unless there was an accident. Previous experiments have shown that the variance in the distribution of the speed value is greater than 2.06 in times of an accident [45,62]. To identify an accident, we therefore consider that, when the speed is less than 24 km/h and the variance is greater than 2.06, we need to check the noise and gravitational force. If the vehicle is moving at low speed and the noise and gravitational force are sufficient, then an accident is identified.
- Pressure sensor: A pressure sensor is used to detect the pressure of a car in collision. This component also collects the continuous data of pressure and it raises an accident flag when the pressure exceeds a prescribed threshold of 350 Pa. The pressure sensor is used to enhance the accuracy of the system and to reduce the chances of false identification and reporting of an accident.
- Smartphone microphone: This component is used to detect the ambient sound. An accident flag is raised when the noise exceeds the threshold value, which is 140 dB. Since we are using accelerometer and pressure sensor to help identify an accident with increased accuracy. The built-in microphone is used to improve the accuracy and to reduce the probability of false positives. The built-in microphone is used to sense sound. At the point when a vehicle collides, a built-in microphone could sense high decibel sounds. However, it should be recognised that there is a possibility that noise is simply made by the passengers laughing, the mobile dropping or loud music. In line with [35,45,62], the sound threshold value is 140 dB. The microphone is used to increase the probability of accurate detection of an accident.
4.2. Phase 2: The Notification Phase
4.3. Databases
- Car Database: A car database contains all necessary information about the cars that have been registered. For example: owner information (Computerized National Identity Card (CNIC), Name, Address) and a car number is stored in the cloud to address any mishap (see Table 3).
- Hospital Database: To inform the hospitals of an emergency, the system needs to know all nearby hospitals. When the system sends a message to the cloud, the cloud needs to find the nearest hospital and forward the message to it. The information stored is provided in Table 4.
5. Proposed Methodology
- Connection The user starts the application on the Android phone, having enabled Wi-Fi/3G/4G. The application commences the collection of data from three sensors, accelerometer, microphone, and pressure sensor of the smartphone as well as recording GPS data.
- Accident Detection The proposed detection phase can be stated by the following equation [45], where AD is the accident detection pointer flag. In the equation:
- (a)
- AC is an acceleration value that is detected by the smartphone.
- (b)
- Noise is the value of noise which is detected by the microphone of the smartphone.
- (c)
- SVP is a speed variation period that is used to detect accidents at low speed.
- (d)
- Accident Threshold (AT) is an accident detection threshold. This is set to 1.5.
- (e)
- Speed (S) is the event speed value, calculated using the G-Force.
- (f)
- Low-speed threshold (LST) is a value to detect accidents at low speed, set to be 3.
- (g)
- MP is a maximum period of time for consideration of low speed accidents:
The cloud processes the data using the formula above to detect an accident. When an accident is identified, an alarm is raised. The user can press the cancel button within 10 s in the case this is a false flag, in order to avoid a false report of an accident. In the case that the message is not cancelled, an emergency alert message is sent to the nearest hospital. The algorithm of accident detection is described in Algorithm 1. - Notification After the confirmation of an accident, the smartphone finds the geographical location of the accident using the smartphone GPS receiver. We use the Google Maps API to discover the location of the collision. The system determines the nearest hospital and utilizes the Wi-Fi/3G/4 G cellular data connection to send collision information such as vehicle number and the location of the accident to the nearest hospital for rapid recovery. The algorithm of accident detection is described in Algorithm 2.
| Algorithm 1: Algorithms for accident detection. |
![]() |
| Algorithm 2: Algorithms for notification |
| Data: Result: Ambulance Dispatched; Server decode the message; lat1 = start.lat; lon1 = start.lng; lat2 = end.lat; on2 = end.lng; dLat = lat2 - lat1; dLon = lon2 - lon1; a= Math.sin(dLat / 2) * Math.sin(dLat / 2); b= Math.cos(this.toRad(lat1)) * Math.cos(this.toRad(lat2)); c= Math.sin(dLon / 2) * Math.sin(dLon / 2); d= a+b*c; e= 2 * Math.atan2(Math.sqrt(d), Math.sqrt(1 - d)); Dist= R * c; Cloud finds the nearest hospital using the HAVERSINE; Hospital= nearest_hospital; Update the data base; Server sends notification to Hospital Web Interface; Hospital dispatch the ambulance; |
6. System Implementation
6.1. Detection Phase Implementation
- Start and Stop Accident Detection Activity,
- Tracking of Accident,
- Cancellation of Alarm,
- Management of Account.
6.2. Notification Phase Implementation
7. Experimental Results
7.1. Threshold Evaluation
7.2. Comparison with OnStar System
7.3. Comparison with CADANS
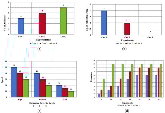
7.4. Evaluation with the FODR Dataset
8. Conclusions and Future Work
Supplementary Materials
Author Contributions
Funding
Conflicts of Interest
Abbreviations
| ITS | Intelligent Traffic System |
| IoT | Internet of Things |
| DSS | Decision Support System |
| GPS | Global Positioning System |
| RFID | Radio-Frequency Identification |
| GSM | Global System for Mobile |
| km/h | kilometer per hour |
| SVP | Speed Variation Period |
| dB | Decibels |
| ADRPS | Accident Detection and the Reporting System |
| RSU | Road Side Unit |
| AC | Acceleration |
| AT | Accident Threshold |
| LST | Low Speed Threshold |
| MP | Maximum Period of Time |
| V | Vehicle |
| VANETs | Vehicular Ad Hoc Networks |
| GM | General Motors |
| IEEE | Institute of Electrical and Electronics Engineers |
| GNSS | Global Navigation Satellite System |
| CNIC | Computerized National Identity Card |
References
- World Health Organization. Global Status Report on Road Safety; World Health Organization: Geneva, Switzerland, 2018. [Google Scholar]
- Asirt.org., Road Crash Statistics. Available online: https://www.asirt.org/safe-travel/road-safety-facts/ (accessed on 30 January 2019).
- Khan, A.; Bibi, F.; Dilshad, M.; Ahmed, S.; Ullah, Z.; Ali, H. Accident Detection and Smart Rescue System using Android Smartphone with Real-Time Location Tracking. Int. J. Adv. Comput. Sci. Appl. 2018, 9, 341–355. [Google Scholar] [CrossRef]
- Jackson, L.; Cracknell, R. Road Accident Casualties in Britain and the World; House of Commons Library: London, UK, 2018. [Google Scholar]
- IEEE. Pbs.gov.pk., Traffic Accidents (Annual) Pakistan Bureau of Statistics. Available online: http://www.pbs.gov.pk/content/traffic-accidents-annual (accessed on 30 January 2019).
- Cuena, J.; Hernández, J.; Molina, M. Knowledge oriented design of an application for real time traffic management: The TRYS system. Eur. Conf. Artif. Intell. 1996, 96, 308–312. [Google Scholar]
- Inoue, S.; Shozaki, K.; Kakuda, Y. An automobile control method for alleviation of traffic congestions using inter-vehicle ad hoc communication in lattice-like roads. In Proceedings of the IEEE Globecom Workshops, Washington, DC, USA, 26–30 November 2007; pp. 1–6. [Google Scholar]
- Maple, C. Security and privacy in the internet of things. J. Cyber Policy 2017, 2, 155–184. [Google Scholar] [CrossRef]
- Special Report: The Internet of Things. Available online: http://theinstitute.ieee.org/static/special-report-the-internet-of-things (accessed on 30 January 2019).
- Huang, Y.; Li, G. A semantic analysis for internet of things. In Proceedings of the International Conference on Intelligent Computation Technology and Automation, Changsha, China, 11–12 May 2010; pp. 336–339. [Google Scholar]
- Zhou, Q.; Zhang, J. Research prospect of Internet of Things Geography. In Proceedings of the 19th International Conference on Geoinformatics, Shanghai, China, 24–26 June 2011; pp. 1–5. [Google Scholar]
- Jia, X.; Feng, Q.; Fan, T.; Lei, Q. RFID technology and its applications in Internet of Things (IoT). In Proceedings of the 2nd International Conference on Consumer Electronics, Communications and Networks (CECNet), Yichang, China, 21–23 April 2012; pp. 1282–1285. [Google Scholar]
- Duan, R.; Chen, X.; Xing, T. A QoS architecture for IoT. In Proceedings of the International Conference on Internet of Things and 4th International Conference on Cyber, Physical and Social Computing, Dalian, China, 19–22 October 2011; pp. 717–720. [Google Scholar]
- Ali, I.; Gani, A.; Ahmedy, I.; Yaqoob, I.; Khan, S.; Anisi, M.H. Data Collection in Smart Communities Using Sensor Cloud: Recent Advances, Taxonomy, and Future Research Directions. IEEE Commun. Mag. 2018, 56, 192–197. [Google Scholar] [CrossRef]
- Zhang, D.; Ge, H.; Zhang, T.; Cui, Y.Y.; Liu, X.; Mao, G. New Multi-hop Clustering Algorithm for Vehicular Ad Hoc Networks. IEEE Trans. Intell. Transp. Syst. 2018, 15, 1–14. [Google Scholar] [CrossRef]
- Al-Mayouf, Y.R.B.; Abdullah, N.F.; Mahdi, O.A.; Khan, S.; Ismail, M.; Guizani, M.; Ahmed, S.H. Real-Time Intersection-Based Segment Aware Routing Algorithm for Urban Vehicular Networks. IEEE Trans. Intell. Transp. Syst. 2018, 19, 2125–2141. [Google Scholar] [CrossRef]
- Fumagalli, E.; Bose, D.; Marquez, P.; Rocco, L.; Mirelman, A.; Suhrcke, M.; Irvin, A. The High Toll of Traffic Injuries: Unacceptable and Preventable; World Bank Group: Washington, DC, USA, 2017. [Google Scholar]
- Al-Mayouf, Y.R.B.; Mahdi, O.A.; Taha, N.A.; Abdullah, N.F.; Khan, S.; Alam, M. Accident Management System Based on Vehicular Network for an Intelligent Transportation System in Urban Environments. J. Adv. Transp. 2018, 2018, 6168981. [Google Scholar] [CrossRef]
- Martinez, F.; Manzoni, P.; Garrido, P.; Fogue, M. Automatic Accident Detection: Assistance Through Communication Technologies and Vehicles. IEEE Veh. Technol. Mag. 2012, 7, 90–100. [Google Scholar]
- Fogue, M.; Garrido, P.; Martinez, F.J.; Cano, J.C.; Calafate, C.T.; Manzoni, P.; Sanchez, M. Prototyping an automatic notification scheme for traffic accidents in vehicular networks. In Proceedings of the IFIP Wireless Days (WD), Niagara Falls, ON, Canada, 10–12 October 2011; pp. 1–5. [Google Scholar]
- Kaladevi, P.; Kokila, T.; Narmatha, S.; Janani, V. Accident Detection Using Android Smart Phone. Int. J. Innov. Res. Comput. Commun. Eng. 2014, 2, 2367–2372. [Google Scholar]
- Amin, M.S.; Bhuiyan, M.A.S.; Reaz, M.B.I.; Nasir, S.S. GPS and Map matching based vehicle accident detection system. In Proceedings of the IEEE Student Conference on Research and Developement, Putrajaya, Malaysia, 16–17 December 2013; pp. 520–523. [Google Scholar]
- Zualkernan, I.A.; Aloul, F.; Basheer, F.; Khera, G.; Srinivasan, S. Intelligent accident detection classification using mobile phones. In Proceedings of the International Conference on Information Networking (ICOIN), Chiang Mai, Thailand, 10–12 January 2018; pp. 504–509. [Google Scholar]
- Rajkiran, A.; Anusha, M. Intelligent Automatic Vehicle Accident Detection System Using Wireless Communication. Int. J. Res. Stud. Sci. Eng. Technol. 2014, 1, 98–101. [Google Scholar]
- Sanchez, L.; Galache, J.A.; Gutierrez, V.; Hernández-Muñoz, J.M.; Bernat, J.; Gluhak, A.; Garcia, T. SmartSantander: The meeting point between Future Internet research and experimentation and the smart cities. In Proceedings of the Future Network &, Mobile Summit, Warsaw, Poland, 15–17 June 2011; pp. 1–8. [Google Scholar]
- Din, I.U.; Guizani, M.; Kim, B.S.; Hassan, S.; Khan, M.K. Trust Management Techniques for the Internet of Things: A Survey. IEEE Access 2018, 1, 1–27. [Google Scholar]
- Keertikumar, M.; Shubham, M.; Banakar, R.M. Evolution of IoT in smart vehicles: An overview. In Proceedings of the International Conference on Green Computing and Internet of Things (ICGCIoT), Noida, India, 8–10 October 2016; pp. 804–809. [Google Scholar]
- Khan, O.A.; Shah, M.A.; Din, I.U.; Kim, B.S.; Khattak, H.A.; Rodrigues, J.J.; Farman, H.; Jan, B. Leveraging Named Data Networking for Fragmented Networks in Smart Metropolitan Cities. IEEE Access 2018, 6, 75899–75911. [Google Scholar] [CrossRef]
- Hernández-Ramos, J.L.; Moreno, M.V.; Bernabé, J.B.; Carrillo, D.G.; Skarmeta, A.F. SAFIR: Secure access framework for IoT-enabled services on smart buildings. J. Comput. Syst. Sci. 2015, 81, 1452–1463. [Google Scholar] [CrossRef]
- Khan, R.; Khan, S.U.; Zaheer, R.; Khan, S. Future internet: The internet of things architecture, possible applications and key challenges. In Proceedings of the IEEE 2012 10th International Conference on Frontiers of Information Technology, 17–19 December 2012; pp. 257–260. [Google Scholar]
- Xu, L.D.; He, W.; Li, S. Internet of things in industries: A survey. IEEE Trans. Ind. Inform. 2014, 10, 2233–2243. [Google Scholar] [CrossRef]
- Naphade, M.; Banavar, G.; Harrison, C.; Paraszczak, J.; Morris, R. Smarter cities and their innovation challenges. Computer 2011, 44, 32–39. [Google Scholar] [CrossRef]
- Kang, W.; Xiong, G.; Lv, Y.; Dong, X.; Zhu, F.; Kong, Q. Traffic signal coordination for emergency vehicles. In Proceedings of the 17th International IEEE Conference on Intelligent Transportation Systems (ITSC), Qingdao, China, 8–11 October 2014; pp. 157–161. [Google Scholar]
- Zaldivar, J.; Calafate, C.T.; Cano, J.C.; Manzoni, P. Providing accident detection in vehicular networks through OBD-II devices and Android-based smartphones. In Proceedings of the IEEE 36th Conference on Local Computer Networks, Bonn, Germany, 4–7 October 2011; pp. 813–819. [Google Scholar]
- Thompson, C.; White, J.; Dougherty, B.; Albright, A.; Schmidt, D.C. Using smartphones to detect car accidents and provide situational awareness to emergency responders. In Proceedings of the International Conference on Mobile Wireless Middleware, Operating Systems, and Applications, Berlin, Heidelberg, 30 June–2 July 2010; pp. 29–42. [Google Scholar]
- Sane, N.H.; Patil, D.S.; Thakare, S.D. Real Time Vehicle Accident Detection and Tracking Using GPS and GSM. Int. J. Recent Innov. Trends Comput. Commun. 2016, 4, 479–482. [Google Scholar]
- Prabha, C.; Sunitha, R.; Anitha, R. Automatic Vehicle Accident Detection And Messaging System Using GPS and GSM Modems. Int. J. Adv. Res. Electr. Electron. Instrum. Eng. 2013, 3, 10723–10727. [Google Scholar]
- Hu, W.; Xiao, X.; Xie, D.; Tan, T.; Maybank, S. Traffic accident prediction using 3-D model-based vehicle tracking. IEEE Trans. Veh. Technol. 2004, 53, 677–694. [Google Scholar] [CrossRef]
- Chandran, S.; Chandrasekar, S.; Elizabeth, N.E. Helmet for Accident Detection and Notification. In Proceedings of the IEEE Annual India Conference (INDICON), Bangalore, India, 16–18 December 2016; pp. 1–4. [Google Scholar]
- Zulfiqar, L.O.M.; Rizal Isnanto, R.; Nurhayati, O.D. Using CVRP model in designing decision support system for optimizing distribution route and amounts of utilized vehicles. In Proceedings of the International Conference on Information and Communications Technology (ICOIACT), Yogyakarta, Indonesia, 6–7 March 2018; pp. 789–792. [Google Scholar]
- Bergonda, S.; Soma, S.; Sushmita. IoT Based Vehicle Accident Detection and Tracking System Using GPS Modem | Internet Of Things | Electronics. Int. J. Innov. Sci. Res. Technol. 2017, 2, 261–263. [Google Scholar]
- Nasr, E.; Kfoury, E.; Khoury, D. An IoT approach to vehicle accident detection, reporting, and navigation. In Proceedings of the 2016 IEEE International Multidisciplinary Conference on Engineering Technology (IMCET), Beirut, Lebanon, 2–4 November 2016; pp. 231–236. [Google Scholar]
- Zhao, Y. Mobile phone location determination and its impact on intelligent transportation systems. IEEE Trans. Intell. Transp. Syst. 2000, 1, 55–64. [Google Scholar] [CrossRef]
- Reddy, M.; Tulasi, J. Accident detection depending on the vehicle position and vehicle theft tracking, reporting systems. Int. J. Sci. Eng. Technol. Res 2014, 3, 2359–2362. [Google Scholar]
- Ali, H.M.; Alwan, Z.S. Car Accident Detection and Notification System Using Smartphone. Int. J. Comput. Sci. Mob. Comput. 2015, 4, 620–635. [Google Scholar]
- Patel, K. Utilizing the Emergence of Android Smartphones for Public Welfare by Providing Advance Accident Detection and Remedy by 108 Ambulances. Int. J. Eng. Res. Technol. (IJERT) 2013, 2, 1340–1342. [Google Scholar]
- Aloul, F.; Zualkernan, I.; Abu-Salma, R.; Al-Ali, H.; Al-Merri, M. iBump: Smartphone application to detect car accidents. Comput. Electrical Eng. 2014, 43, 66–75. [Google Scholar] [CrossRef]
- Khot, I.; Jadhav, M.; Desai, A.; Bangar, V. Go Safe: Android application for accident detection and notification. Int. Res. J. Eng. Technol. 2018, 5, 4118–4122. [Google Scholar]
- Faiz, A.B.; Imteaj, A.; Chowdhury, M. Smart vehicle accident detection and alarming system using a smartphone. In Proceedings of the 2015 International Conference on Computer and Information Engineering (ICCIE), Rajshahi, Bangladesh, 26–27 November 2016; pp. 66–69. [Google Scholar]
- Yee, T.H.; Lau, P.Y. Mobile vehicle crash detection system. In Proceedings of the 2018 International Workshop on Advanced Image Technology (IWAIT), Chiang Mai, Thailand, 7–9 January 2018; pp. 1–4. [Google Scholar]
- Dogru, N.; Subasi, A. Traffic accident detection using random forest classifier. In Proceedings of the 2018 15th Learning and Technology Conference (LT), Jeddah, Saudi Arabia, 25–26 February 2018; pp. 40–45. [Google Scholar] [CrossRef]
- POP, A.F.; Puscasiu, A.; Folea, S.; Vălean, H. Trauma accident detecting and reporting system. In Proceedings of the IEEE International Conference on Automation, Quality and Testing, Robotics (AQTR), luj-Napoca, Romania, 24–26 May 2018; pp. 1–5. [Google Scholar]
- Young, R.A. Association between embedded cellular phone calls and vehicle crashes involving airbag deployment. In Proceedings of the First International Driving Symposium on Human Factors in Driver Assessment, Training and Vehicle Design, Aspen, CO, USA, 17 August 2001; pp. 1–10. [Google Scholar]
- Ki, Y.K.; Lee, D.Y. A traffic accident recording and reporting model at intersections. IEEE Trans. Intell. Transp. Syst. 2007, 8, 188–194. [Google Scholar] [CrossRef]
- Tushara, D.B.; Vardhini, P.A. Wireless vehicle alert and collision prevention system design using Atmel microcontroller. In Proceedings of the International Conference on Electrical, Electronics, and Optimization Techniques (ICEEOT), Chennai, India, 3–5 March 2016; pp. 2784–2787. [Google Scholar]
- Fogue, M.; Garrido, P.; Martinez, F.J.; Cano, J.C.; Calafate, C.T.; Manzoni, P. A system for automatic notification and severity estimation of automotive accidents. IEEE Trans. Mob. Comput. 2014, 13, 948–963. [Google Scholar] [CrossRef]
- Chaturvedi, N.; Srivastava, P. Automatic Vehicle Accident Detection and Messaging System Using GSM and GPS Modem. Int. Res. J. Eng. Technol. (IRJET) 2018, 5, 252–254. [Google Scholar]
- Liang, G. Automatic Traffic Accident Detection Based on the Internet of Things and Support Vector Machine. Int. J. Smart Home 2015, 9, 97–106. [Google Scholar] [CrossRef]
- Maleki, J.; Foroutan, E.; Rajabi, M.A. Intelligent Alarm System for Road Collision. J. Earth Sci. Eng. 2011, 1, 162–168. [Google Scholar]
- Amadini, R.; Sefrioui, I.; Mauro, J.; Gabbrielli, M. A Constraint-Based Model for Fast Post-Disaster Emergency Vehicle Routing. Int. J. Interact. Multimed. Artif. Intell. 2013, 2, 67. [Google Scholar] [CrossRef][Green Version]
- Khaliq, K.A.; Raza, S.M.; Chughtai, O.; Qayyum, A.; Pannek, J. Experimental validation of an accident detection and management application in vehicular environment. Comput. Electrical Eng. 2018, 71, 137–150. [Google Scholar] [CrossRef]
- White, J.; Thompson, C.; Turner, H.; Dougherty, B.; Schmidt, D.C. Wreckwatch: Automatic traffic accident detection and notification with smartphones. Mobile Netw. Appl. 2011, 16, 285–303. [Google Scholar] [CrossRef]
- OnStar by GM. 2009. Available online: http://www.onstar.com/ (accessed on 30 January 2019).














| Ref. | Features | Limitations | Evaluation Parameter | Tools |
|---|---|---|---|---|
| [43] | Detects accident using accelerometer and GPS | Single point of failure | Accuracy | Actual Implementation |
| [44] | Accident detection based on position of vehicle | Single point of failure | Response Time | Actual Implementation |
| [45] | Accident detection and reporting system | No resource estimation | Accuracy | Actual Implementation |
| [46] | Detects accident using accelerometer | Single point of failure | Accuracy | Actual Implementation |
| [47] | Use Accelerometer for detection | Single point of failure | Response Time | Actual Implementation |
| [52] | Use accelerometer & Gyroscope for detection | Single point of failure | Response Time | Actual Implementation |
| [48] | Finds the nearest emergency point | Single point of failure | Response Time | Actual Implementation |
| [34] | Accident detection and rescue system | Manual system | Efficiency | Real vehicle |
| [49] | Accident detection using a smartphone | Single point of failure | Accuracy | Actual Implementation |
| [50] | Detects accident using two sensors | Single point of failure | Accuracy | Actual Implementation |
| [35] | Accident detection using mobile phone | Involvement of the third party | Response Time | Google ION device |
| [24] | Accident detection via accelerometer | Single point of failure | Response Time | Actual Implementation |
| [36] | Accident detection and alarm system | Single point of failure | Response Time | Simulation |
| [60] | Path planning and controlling the traffic lights | No guarantee of smooth travel | Accuracy | Empirical Result |
| [37] | Detects the accident via accelerometer | Single point of failure | Accuracy | GSM and GPS modem |
| [51] | Detects the accident via speed | Single point of failure | Response Time | GSM and GPS modem |
| [54] | Detects accidents at the intersection | Only valid on intersections | Accuracy | Actual Implementation |
| [55] | Informs about the collision | Informs only one mobile number | Response Time | Actual Implementation |
| [53] | Accident detection via air bag | Inform only to the emergency number | Accuracy | Actual Vehicle |
| [22] | Detects the accident using the GPS speed | False reporting of accident | Response Time | GSM and GPS modem |
| [56] | Detects severity of the accident | Delay in the message sending | Accuracy | Prototype |
| [57] | Detects accident and reporting system | Based on one sensor | Accuracy | Aurdino Implementation |
| [58] | Detect accident via vector machine | Not a rescue system | Efficiency | Real World Traffic Data |
| [59] | Detects the accident using crash sensor | Congestion issue on the server | Response Time | Actual Implementation |
| [42] | Detects the accident and the shortest path | Single point of failure | Reliability | Simulations |
| [61] | Detects & Report Accident | False Reporting | Response Time | Testbed |
| Ref. | Accelerometer | Speed | Pressure | Sound | GPS | Other | Total |
|---|---|---|---|---|---|---|---|
| [43] | ✔ | ✕ | ✕ | ✕ | ✔ | ✕ | 2 |
| [44] | ✕ | ✕ | ✕ | ✕ | ✔ | ✕ | 1 |
| [45] | ✔ | ✔ | ✕ | ✔ | ✕ | ✕ | 3 |
| [46] | ✔ | ✕ | ✕ | ✕ | ✕ | ✕ | 1 |
| [47] | ✔ | ✕ | ✕ | ✕ | ✕ | ✕ | 1 |
| [52] | ✕ | ✕ | ✕ | ✕ | ✕ | ✔ | 1 |
| [48] | ✔ | ✕ | ✕ | ✕ | ✔ | ✕ | 2 |
| [34] | ✔ | ✕ | ✕ | ✕ | ✕ | ✔ | 2 |
| [49] | ✕ | ✕ | ✔ | ✕ | ✕ | ✕ | 1 |
| [50] | ✔ | ✕ | ✕ | ✕ | ✔ | ✕ | 2 |
| [35] | ✔ | ✕ | ✕ | ✕ | ✔ | ✕ | 2 |
| [24] | ✕ | ✕ | ✕ | ✕ | ✔ | ✔ | 2 |
| [36] | ✕ | ✕ | ✕ | ✕ | ✔ | ✕ | 1 |
| [60] | ✕ | ✕ | ✕ | ✕ | ✔ | ✕ | 1 |
| [37] | ✔ | ✕ | ✕ | ✕ | ✕ | ✕ | 1 |
| [51] | ✕ | ✕ | ✕ | ✕ | ✕ | ✕ | 0 |
| [54] | ✕ | ✕ | ✕ | ✕ | ✕ | ✔ | 1 |
| [55] | ✕ | ✕ | ✕ | ✕ | ✕ | ✔ | 1 |
| [53] | ✕ | ✕ | ✕ | ✕ | ✕ | ✔ | 1 |
| [22] | ✕ | ✕ | ✕ | ✕ | ✔ | ✕ | 1 |
| [56] | ✕ | ✔ | ✕ | ✕ | ✕ | ✕ | 1 |
| [57] | ✔ | ✕ | ✕ | ✕ | ✕ | ✕ | 1 |
| [58] | ✕ | ✕ | ✕ | ✕ | ✕ | ✕ | 0 |
| [59] | ✕ | ✕ | ✕ | ✕ | ✕ | ✔ | 1 |
| [42] | ✕ | ✕ | ✕ | ✕ | ✕ | ✔ | 1 |
| [61] | ✔ | ✕ | ✕ | ✕ | ✕ | ✔ | 2 |
| ADRS | ✔ | ✔ | ✔ | ✔ | ✔ | ✕ | 5 |
| Car_ID | Car_Name | Car_Number | Owner_Name | Owner_ID |
|---|---|---|---|---|
| C1 | Suzuki Mehran | RIZ 3725 | Bilal Khalid | 34512-4520645-5 |
| C2 | Mazda | MN 3909 | Usman Bhatti | 32103-9963008-2 |
| C2 | Toyotta Carolla | LEL 06 4520 | Ali Haider | 12345-1529307-7 |
| H_ID | H_Name | H_Address | H_Number |
|---|---|---|---|
| H1 | Jinnah Hospital | Usmani Rd Faisal Town Lahore Punjab | +92-42-99231443 |
| H2 | Ali Medical Center | Kohistan Road F8-Markaz Islamabad | +92-51-2255313 |
| H3 | Military Hospital | Abid Majeed Rd Rawalpindi Punjab | +92-51-9270346 |
| Parameter | OnStar [63] | ADRS |
|---|---|---|
| Automatic Detection | ✔ | ✔ |
| Probability of False Positive | High | Less |
| Range | Only for GM vehicles | For each vehicle |
| Applicability | USA | Whole World |
| Cost | $59.99/month | Free |
| Pre-Hardware deployment | Required | Not Required |
| Parameter | G-Force | Speed | Sound | Pressure |
|---|---|---|---|---|
| Ranges | 1–10 | 20–30 | 130–150 | 300–400 |
| At start | 0.00 | 0.00 | 0.00 | 0.00 |
| Thresholds | 4.00 G | 22–24 km/h | 140 dB | 350 P |
| Experiment No. | Speed Value | Noise Value | Accident Detection |
|---|---|---|---|
| 1 | 20 | 130 | ✔ |
| 2 | 20 | 135.5 | ✔ |
| 3 | 30 | 170 | ✔ |
| 4 | 40 | 184.5 | ✔ |
| 5 | 50 | 200 | ✔ |
| Experiment No. | Speed | Actual Detection | Case 1 | Case 2 | Case 3 |
|---|---|---|---|---|---|
| 1 | 20 | ✔ | ✕ | ✕ | ✔ |
| 2 | 20 | ✔ | ✕ | ✔ | ✔ |
| 3 | 30 | ✔ | ✔ | ✔ | ✔ |
| 4 | 40 | ✔ | ✔ | ✔ | ✔ |
| 5 | 50 | ✔ | ✔ | ✔ | ✔ |
© 2019 by the authors. Licensee MDPI, Basel, Switzerland. This article is an open access article distributed under the terms and conditions of the Creative Commons Attribution (CC BY) license (http://creativecommons.org/licenses/by/4.0/).
Share and Cite
Bhatti, F.; Shah, M.A.; Maple, C.; Islam, S.U. A Novel Internet of Things-Enabled Accident Detection and Reporting System for Smart City Environments. Sensors 2019, 19, 2071. https://doi.org/10.3390/s19092071
Bhatti F, Shah MA, Maple C, Islam SU. A Novel Internet of Things-Enabled Accident Detection and Reporting System for Smart City Environments. Sensors. 2019; 19(9):2071. https://doi.org/10.3390/s19092071
Chicago/Turabian StyleBhatti, Fizzah, Munam Ali Shah, Carsten Maple, and Saif Ul Islam. 2019. "A Novel Internet of Things-Enabled Accident Detection and Reporting System for Smart City Environments" Sensors 19, no. 9: 2071. https://doi.org/10.3390/s19092071
APA StyleBhatti, F., Shah, M. A., Maple, C., & Islam, S. U. (2019). A Novel Internet of Things-Enabled Accident Detection and Reporting System for Smart City Environments. Sensors, 19(9), 2071. https://doi.org/10.3390/s19092071


