Design of a Smartphone Indoor Positioning Dynamic Ground Truth Reference System Using Robust Visual Encoded Targets
Abstract
:1. Introduction
2. Related Work
3. Design of Visual Scatter-Encoded Targets
4. Dynamic Truth Reference System Based on Visual Encoded Targets
4.1. Extraction of Base Points
4.2. Setting Up a Local Coordinate System
- (1)
- No two ellipses can have an inclusive or intersecting relationship;
- (2)
- The maximum semi-major axis radius of the ellipses cannot be greater than twice the minimum semi-minor axis radius.
4.3. Building the Dataset of Encoded Targets
4.3.1. Solution Object Coordinates
4.3.2. Decoding Encoded Targets
4.4. Solution Pose of Single Positioning Image
5. Experiments
5.1. Experimental Data and Environment
5.2. Analysis of Experimental Results
5.2.1. Decoding Color Encoded Target Patterns of Sequence Images and Results of Dataset
5.2.2. Results of Smartphone Positioning
6. Conclusions
Author Contributions
Funding
Conflicts of Interest
References
- Klepeis, N.; Nelson, W.; Ott, W.; Robinson, J.; Tsang, A.; Switzer, P. The National Human Activity Pattern Survey (NHAPS): A resource for assessing exposure to environmental pollutants. J. Expo. Anal. Environ. Epidemiol. 2001, 11, 231–252. [Google Scholar] [CrossRef] [PubMed]
- Alarifi, A.; Al-Salman, A.; Alsaleh, M.; Alnafessah, A.; Al-Hadhrami, S.; Al-Ammar, M.; Al-Khalifa, H. Ultra wideband indoor positioning technologies: Analysis and recent advances. Sensors 2016, 16, 707. [Google Scholar] [CrossRef] [PubMed]
- Chen, R.; Chen, L. Indoor positioning with smartphone: The State-of-the-art and the challenges. Acta Geod. Cartogr. Sin. 2017, 46, 1316–1326. [Google Scholar]
- Wu, T.; Liu, J.; Li, Z.; Liu, K.; Xu, B. Accurate smartphone indoor visual positioning based on a high-precision 3D photorealistic map. Sensors 2018, 18, 1974. [Google Scholar] [CrossRef] [PubMed]
- Huang, H.; Wang, L.; Jiang, B.; Luo, D. Precision verification of 3D SLAM backpacked mobile mapping robot. Bull. Surv. Mapp. 2016, 12, 68–73. [Google Scholar]
- Takayasu, K.; Yoshida, K.; Mishima, T.; Watanabe, M.; Matsuda, T.; Kinoshita, H. Upper body position analysis of different experience level surgeons during laparoscopic suturing maneuvers using optical motion capture. Am. J. Surg. 2019, 217, 12–16. [Google Scholar] [CrossRef] [PubMed]
- Naeemabadi, M.; Dinesen, B.; Andersen, O.; Hansen, J. Investigating the impact of a motion capture system on Microsoft Kinect v2 recordings: A caution for using the technologies together. PLoS ONE 2018, 13, e0204052. [Google Scholar] [CrossRef] [PubMed]
- Chen, J.; Wang, L.; Yuan, B. Detection of coded concentric rings for camera calibration. In Proceedings of the 2008 IEEE International Conference on Signal Processing, Beijing, China, 26–29 October 2008; pp. 1406–1409. [Google Scholar]
- Han, J.; Lu, N.; Dong, L. Design of circular coded target and its application to optical 3D-measurement. In Proceedings of the fourth International Symposium on Precision Mechanical Measurements, International Society for Optics and Photonics, Anhui, China, 25–29 August 2008; pp. 1–6. [Google Scholar]
- Cronk, S.; Fraser, C.; Hanley, H. Automated metric calibration of colour digital cameras. Photogramm. Rec. 2006, 21, 355–372. [Google Scholar] [CrossRef]
- Fiala, M. ARTag, a fiducial marker system using digital techniques. In Proceedings of the 2005 IEEE Computer Society Conference on Computer Vision and Pattern Recognition, San Diego, CA, USA, 20–25 June 2005; pp. 590–596. [Google Scholar]
- Wijenayake, U.; Choi, S.; Park, S. Automatic detection and decoding of photogrammetric coded targets. In Proceedings of the 2014 International Conference on Electronics, Information, and Communication, Kota Kinabalu, Malaysia, 15–18 January 2014; pp. 1–2. [Google Scholar]
- Chen, Y.; Su, B. Encoding method of measurement targets and decoding algorithm. Technol. Innov. Manag. 2009, 30, 516–519. [Google Scholar]
- Yang, X.; Fang, S.; Kong, B.; Li, Y. Design of a color target for vision measurements. Optik 2014, 125, 3727–3732. [Google Scholar] [CrossRef]
- Bao, Y.; Shang, Y.; Sun, X.; Zhou, J. A robust recognition and accurate locating method for circular coded diagonal target. In Proceedings of the 2017 Annual Conference of the Chinese-Society-for-Optical-Engineering (CSOE) on Applied Optics and Photonics China (AOPC)—3D Measurement Technology for Intelligent Manufacturing, Beijing, China, 4–6 June 2017; pp. 17–23. [Google Scholar]
- Zhai, Y.; Xiong, W.; Zeng, L.; Gu, D. Design and recognition of three dimensional calibration target based on coded marker. In Proceedings of the 2015 International Conference on Optical Instruments and Technology—Optoelectronic Imaging and Processing Technology, Beijing, China, 17–19 May 2015; pp. 76–81. [Google Scholar]
- Heuvel, F.; Kroon, R.; Poole, R. Digital close-range photogrammetry using artificial targets. In Proceedings of the 1992 International Society for Photogrammetry and Remote Sensing, Washington, DC, USA, 2–14 August 1992; pp. 222–229. [Google Scholar]
- Zhou, X.; Lü, N.; Deng, W.; Dong, M. Image point correspondence using coded targets. J. Beijing Inst. Mach. 2002, 17, 26–29. [Google Scholar]
- Dong, M.; Qi, X.; Lü, N.; Wang, Y.; Pan, Z.; Zhu, L. Point matching in industrial photogrammetry with coded point and epipolar constraint. Tool Eng. 2006, 40, 73–75. [Google Scholar]
- Susumu, H.; Keiichi, A.; Clive, F.; Tetsu, O.; Harutaka, I. Design of coded targets and automated measurement procedures in industrial vision metrology. In Proceedings of the 2000 International Archives of Photogrammetry and Remote Sensing, Harutaka, Japan, 16–23 July 2000; pp. 72–78. [Google Scholar]
- Moriyama, T.; Kochi, N.; Yamada, M.; Fukaya, N. Automatic Target-identification with the Color-coded-targets. In Proceedings of the 2008 International Archives of the Photogrammetry, Remote Sensing and Spatial Information Sciences, Beijing, China, 3–11 July 2008; pp. 39–44. [Google Scholar]
- Ahn, S.; Rauh, W.; Kim, S. Circular coded target for automation of optical 3D-Measurement and camera calibration. Int. J. Pattern Recognit. Artif. Intell. 2001, 15, 905–919. [Google Scholar] [CrossRef]
- Chen, R.; Zhong, K.; Li, Z.; Liu, M.; Zhan, G. An accurate and reliable circular coded target detection algorithm for vision measurement. In Proceedings of the 2016 Conference on Optical Metrology and Inspection for Industrial Applications IV held as part of SPIE/COS Photonics Asia Conference, Beijing, China, 12–14 October 2016; pp. 142–146. [Google Scholar]
- Garrido-Jurado, S.; Muñoz-Salinas, R.; Madrid-Cuevas, F.; Marín-Jiménez, M. Automatic generation and detection of highly reliable fiducial markers under occlusion. Pattern Recognit. 2014, 47, 2280–2292. [Google Scholar] [CrossRef]
- Tushev, S.; Sukhovilov, B.; Sartasov, E. Architecture of an industrial close-range photogrammetric system with multi-functional coded targets. In Proceedings of the 2017 International Ural Conference on Measurements, Chelyabinsk, Russia, 16–19 October 2017; pp. 435–442. [Google Scholar]
- Wang, D.; Xing, S.; Hou, Y.; Guo, L. Design methodology of coded target based on color and geometry information. J. Geomat. Sci. Technol. 2013, 30, 484–488. [Google Scholar]
- Canny, J. A cmputational approach to edge detection. IEEE Trans. Pattern Anal. Mach. Intell. 1983, 8, 679–698. [Google Scholar]















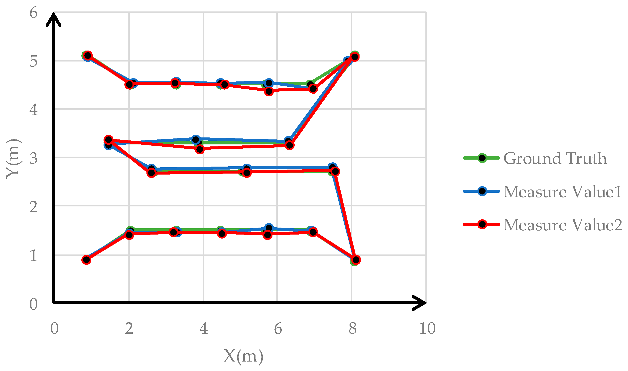
| Image No | Ground Truth | Measure Value1 | Measure Value2 | |||||||
|---|---|---|---|---|---|---|---|---|---|---|
| X (m) | Y (m) | X (m) | Y (m) | Δx (m) | Δy (m) | X (m) | Y (m) | Δx (m) | Δy (m) | |
| 1 | 0.864 | 5.112 | 0.8907 | 5.0693 | −0.0267 | 0.0427 | 0.9179 | 5.1008 | 0.0539 | 0.0112 |
| 2 | 2.066 | 4.511 | 2.1173 | 4.5479 | −0.0513 | −0.0369 | 2.0270 | 4.5205 | −0.0390 | −0.0095 |
| 3 | 3.268 | 4.511 | 3.2864 | 4.5569 | −0.0184 | −0.0459 | 3.2485 | 4.5315 | 0.0195 | −0.0205 |
| 4 | 4.47 | 4.511 | 4.4676 | 4.5325 | 0.0024 | −0.0215 | 4.5607 | 4.5037 | −0.0907 | 0.0073 |
| 5 | 5.672 | 4.511 | 5.7526 | 4.5447 | −0.0806 | −0.0337 | 5.7527 | 4.3770 | −0.0807 | 0.1340 |
| 6 | 6.874 | 4.511 | 6.9553 | 4.4239 | −0.0813 | 0.0871 | 6.9493 | 4.4220 | −0.0753 | 0.0890 |
| 7 | 8.078 | 5.102 | 7.8883 | 5.0043 | 0.1897 | 0.0977 | 8.0601 | 5.0807 | 0.0179 | 0.0213 |
| 8 | 6.273 | 3.309 | 6.2950 | 3.3367 | −0.0220 | −0.0277 | 6.3198 | 3.2584 | −0.0468 | 0.0506 |
| 9 | 3.869 | 3.309 | 3.8038 | 3.3845 | 0.0652 | −0.0755 | 3.8976 | 3.1815 | −0.0286 | 0.1275 |
| 10 | 1.465 | 3.309 | 1.4411 | 3.2747 | 0.0239 | 0.0343 | 1.4664 | 3.3622 | −0.0014 | −0.0532 |
| 11 | 2.667 | 2.708 | 2.6206 | 2.7658 | 0.0464 | −0.0578 | 2.5917 | 2.6807 | 0.0753 | 0.0273 |
| 12 | 5.071 | 2.708 | 5.1615 | 2.7827 | −0.0905 | −0.0747 | 5.1848 | 2.6993 | −0.1138 | 0.0087 |
| 13 | 7.477 | 2.708 | 7.4664 | 2.8056 | 0.0106 | −0.0976 | 7.5248 | 2.7351 | −0.0478 | −0.0271 |
| 14 | 8.071 | 0.886 | 8.0822 | 0.8911 | −0.0112 | −0.0051 | 8.0935 | 0.9128 | −0.0225 | −0.0268 |
| 15 | 6.874 | 1.506 | 6.9288 | 1.4962 | −0.0548 | 0.0098 | 6.9537 | 1.4712 | −0.0797 | 0.0348 |
| 16 | 5.672 | 1.506 | 5.7577 | 1.5511 | −0.0439 | 0.0421 | 5.7068 | 1.4193 | −0.0348 | 0.0867 |
| 17 | 4.47 | 1.506 | 4.5152 | 1.4590 | −0.0857 | −0.0451 | 4.5133 | 1.4521 | −0.0433 | 0.0539 |
| 18 | 3.268 | 1.506 | 3.3119 | 1.4639 | −0.0439 | 0.0421 | 3.1836 | 1.4661 | 0.0844 | 0.0399 |
| 19 | 2.066 | 1.506 | 2.0288 | 1.4544 | 0.0372 | 0.0516 | 2.0082 | 1.4213 | 0.0578 | 0.0847 |
| 20 | 0.861 | 0.905 | 0.8475 | 0.9129 | 0.0135 | −0.0079 | 0.8526 | 0.9008 | 0.0084 | 0.0042 |
| Image No | Ground Truth | Measure Value1 | Measure Value2 | |||||||
|---|---|---|---|---|---|---|---|---|---|---|
| X (m) | Y (m) | X (m) | Y (m) | Δx (m) | Δy (m) | X (m) | Y (m) | Δx (m) | Δy (m) | |
| 1 | 0.864 | 5.112 | 0.9244 | 5.1105 | −0.0604 | 0.0015 | 0.7704 | 5.1305 | 0.0936 | −0.0185 |
| 2 | 2.066 | 4.511 | 1.9848 | 4.6053 | 0.0812 | −0.0943 | 2.1661 | 4.4673 | −0.1001 | 0.0437 |
| 3 | 3.268 | 4.511 | 3.1882 | 4.5621 | 0.0798 | −0.0511 | 3.2332 | 4.5516 | 0.0348 | −0.0406 |
| 4 | 4.47 | 4.511 | 4.4122 | 4.5488 | 0.0578 | −0.0378 | 4.5294 | 4.4546 | −0.0594 | 0.0564 |
| 5 | 5.672 | 4.511 | 5.7249 | 4.5530 | −0.0529 | −0.0420 | 5.7495 | 4.4855 | −0.0775 | 0.0255 |
| 6 | 6.874 | 4.511 | 6.9493 | 4.5870 | −0.0753 | −0.0760 | 6.9697 | 4.4711 | −0.0957 | 0.0399 |
| 7 | 8.078 | 5.102 | 8.1159 | 5.1317 | −0.0379 | −0.0297 | 8.1415 | 5.1075 | −0.0635 | −0.0055 |
| 8 | 6.273 | 3.309 | 6.1945 | 3.2366 | 0.0785 | 0.0724 | 6.1769 | 3.2822 | 0.0961 | 0.0268 |
| 9 | 3.869 | 3.309 | 3.9530 | 3.3876 | −0.0840 | −0.0786 | 3.9573 | 3.2393 | −0.0883 | 0.0697 |
| 10 | 1.465 | 3.309 | 1.4264 | 3.2418 | 0.0386 | 0.0672 | 1.5478 | 3.3625 | −0.0828 | −0.0535 |
| 11 | 2.667 | 2.708 | 2.7542 | 2.6276 | −0.0872 | 0.0804 | 2.7397 | 2.6715 | −0.0727 | 0.0365 |
| 12 | 5.071 | 2.708 | 4.9918 | 2.6933 | 0.0792 | 0.0147 | 5.0151 | 2.7578 | 0.0559 | −0.0498 |
| 13 | 7.477 | 2.708 | 7.4272 | 2.7742 | 0.0498 | −0.0662 | 7.5758 | 2.7342 | −0.0988 | −0.0262 |
| 14 | 8.071 | 0.886 | 8.0187 | 0.9193 | 0.0523 | −0.0333 | 7.9943 | 0.8785 | 0.0767 | 0.0075 |
| 15 | 6.874 | 1.506 | 6.8491 | 1.5988 | 0.0249 | −0.0928 | 6.8849 | 1.6132 | −0.0109 | −0.1072 |
| 16 | 5.672 | 1.506 | 5.6116 | 1.5780 | 0.0604 | −0.0720 | 5.6295 | 1.5732 | 0.0425 | −0.0672 |
| 17 | 4.47 | 1.506 | 4.4905 | 1.3888 | −0.0205 | 0.1172 | 4.5813 | 1.5490 | −0.1113 | −0.0430 |
| 18 | 3.268 | 1.506 | 3.3080 | 1.4268 | −0.0400 | 0.0792 | 3.3397 | 1.5708 | −0.0717 | −0.0648 |
| 19 | 2.066 | 1.506 | 2.1617 | 1.5620 | −0.0957 | −0.0560 | 2.1078 | 1.5623 | −0.0418 | −0.0563 |
| 20 | 0.861 | 0.905 | 0.8643 | 0.8492 | −0.0033 | 0.0558 | 0.8099 | 0.9172 | 0.0511 | −0.0122 |
| Phone Type | Samsung Galaxy S8 | Huawei P10 | |||||||
|---|---|---|---|---|---|---|---|---|---|
| Δx (m) | Δy (m) | Δx (m) | Δy (m) | ||||||
| Measure1 (Number) | Measure2 (Number) | Measure1 (Number) | Measure2 (Number) | Measure1 (Number) | Measure2 (Number) | Measure1 (Number) | Measure2 (Number) | ||
| Error (cm) | >10 | 1 | 1 | 0 | 2 | 0 | 2 | 1 | 1 |
| 1–10 | 18 | 17 | 17 | 14 | 19 | 18 | 18 | 17 | |
| <1 | 1 | 2 | 3 | 4 | 1 | 0 | 1 | 2 | |
| Phone Type | Samsung Galaxy S8 | Huawei P10 | |||
|---|---|---|---|---|---|
| Measure Value1 | Measure Value2 | Measure Value1 | Measure Value2 | ||
| RMSE | Δx (m) | 0.0650 | 0.0591 | 0.0629 | 0.0757 |
| Δy (m) | 0.0543 | 0.0597 | 0.0669 | 0.0488 | |
| Δd (m) | 0.0846 | 0.0840 | 0.0918 | 0.0900 | |
© 2019 by the authors. Licensee MDPI, Basel, Switzerland. This article is an open access article distributed under the terms and conditions of the Creative Commons Attribution (CC BY) license (http://creativecommons.org/licenses/by/4.0/).
Share and Cite
Liao, X.; Chen, R.; Li, M.; Guo, B.; Niu, X.; Zhang, W. Design of a Smartphone Indoor Positioning Dynamic Ground Truth Reference System Using Robust Visual Encoded Targets. Sensors 2019, 19, 1261. https://doi.org/10.3390/s19051261
Liao X, Chen R, Li M, Guo B, Niu X, Zhang W. Design of a Smartphone Indoor Positioning Dynamic Ground Truth Reference System Using Robust Visual Encoded Targets. Sensors. 2019; 19(5):1261. https://doi.org/10.3390/s19051261
Chicago/Turabian StyleLiao, Xuan, Ruizhi Chen, Ming Li, Bingxuan Guo, Xiaoji Niu, and Weilong Zhang. 2019. "Design of a Smartphone Indoor Positioning Dynamic Ground Truth Reference System Using Robust Visual Encoded Targets" Sensors 19, no. 5: 1261. https://doi.org/10.3390/s19051261
APA StyleLiao, X., Chen, R., Li, M., Guo, B., Niu, X., & Zhang, W. (2019). Design of a Smartphone Indoor Positioning Dynamic Ground Truth Reference System Using Robust Visual Encoded Targets. Sensors, 19(5), 1261. https://doi.org/10.3390/s19051261

