Adaptive Rate-Compatible Non-Binary LDPC Coding Scheme for the B5G Mobile System
Abstract
:1. Introduction
2. The Construction of RC-NB-LDPC Codes
2.1. QC-LDPC Codes and Superposition Construction
2.2. The Construction of RC-NB-LDPC Codes
- Construct a matrix of size based on the PEG algorithm as the base matrix.
- Construct a matrix of size based on the random construction as the mask matrix.
- Mask and puncture the base matrix .
- Calculate a circulation coefficient-matrix of size using an algebraic-based method and generate the circulant permutation matrices.
- Superposition operation. Replacing the entries in by the circulant permutation matrices and/or zero matrices expands the matrix into a sparse matrix .
2.3. Design and Implementation of the RC-NB-LDPC Code
2.3.1. Matrix of RC-NB-LDPC Codes
2.3.2. Encoder Architecture
2.3.3. Coding Module
2.3.4. SSRAA Module
2.4. Complexity Analysis
3. Channel Clustering Based on the K-Means++ Algorithm
3.1. Channel Environment Clustering Based on the K-Means++ Algorithm
- We randomly select samples from data set as the initial cluster center vector .
- For
- (a)
- Initialize cluster partition to .
- (b)
- For , calculate the distance between the sample and cluster center vector : . Mark as the category corresponding to the smallest and update .
- (c)
- For , recalculate the new cluster center for all sample points in by .
- (d)
- If all cluster center vectors have not changed, go to step 3.
- Output cluster division .
- Randomly select sample data from the data set as the first cluster center in clusters.
- Calculate the distance between the data sample in the dataset and the nearest cluster center.
- According to the value of , select a new data point in the remaining sample data as a new cluster center. The larger the , the greater the probability of being selected;
- Repeat steps 2 and 3 until cluster centers are selected;
- Implement the standard k-means algorithm by using the centers as the initial cluster centers.
3.2. Complexity Optimization of the End-to-End Distortion Model Based on the Clustering Algorithm
4. Design and Performance Simulation of the Adaptive RC-NB-LDPC Coding Scheme
4.1. Design, Analysis, and Simulation of RC-NB-LDPC Codes
4.1.1. Design of RC-NB-LDPC Codes
4.1.2. EXIT Chart Analysis of RC-NB-LDPC Codes
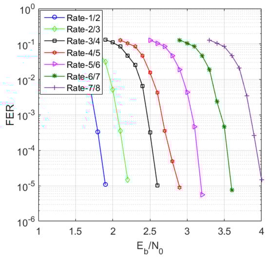
4.1.3. Simulation of RC-NB-LDPC Codes
4.2. Simulation of the Channel Clustering Algorithm
4.3. Design and Performance Simulation of the Adaptive RC-LDPC Coding Scheme
4.3.1. The Design of the Adaptive RC-LDPC Coding Scheme
4.3.2. Simulation Results and Analysis
- Scheme 1, the fixed-rate transmission scheme. That is, the channel coding uses a fixed code rate of 3/4 for three types of test channels in this paper.
- Scheme 2, the adaptive-rate transmission scheme. That is, after channel clustering, the corresponding rate is selected for each type of test channel. Corresponding to three types of test channels, the coding rates used in this paper are 1/2, 4/5, and 7/8, respectively.
- Scheme 3, the adaptive-rate transmission scheme with UEP. According to different parts of the code stream that have different effects on image recovery, we adopt different levels of the channel protection mechanism, that is, the high-level protection for the important code stream and the low-level protection for the secondary code stream. Corresponding to the three types of test channels, the coding rate groups in this paper are (1/2, 3/4), (2/3, 5/6) and (3/4, 7/8), respectively.
5. Conclusions
Author Contributions
Funding
Conflicts of Interest
References
- Gawas, U. An Overview on Evolution of Mobile Wireless Comunication Networks: 1 g–6 g. Int. J. Recent Innov. Trends Comput. Commun. 2015, 3, 3130–3133. [Google Scholar]
- Li, B.; Fei, Z.; Zhang, Y. UAV Communications for 5G and Beyond: Recent Advances and Future Trends. IEEE Internet Things J. 2018. [Google Scholar] [CrossRef]
- Li, H.; Bai, B.; Mu, X.; Zhang, J.; Xu, H. Algebra-Assisted Construction of Quasi-Cyclic LDPC Codes for 5G New Radio. IEEE Access 2018, 6, 50229–50244. [Google Scholar] [CrossRef]
- Hui, D.; Sandberg, S.; Blankenship, Y.; Andersson, M.; Grosjean, L. CHANNEL CODING IN 5G NEW RADIO. IEEE Veh. Technol. Mag. 2018, 13, 60–69. [Google Scholar] [CrossRef]
- Richardson, T.; Kudekar, S. Design of Low-Density Parity Check Codes for 5G New Radio. IEEE Commun. Mag. 2018, 56, 28–34. [Google Scholar] [CrossRef]
- Wu, X.; Jiang, M.; Zhao, C. Decoding Optimization for 5G LDPC Codes by Machine Learning. IEEE Access 2018, 6, 50179–50186. [Google Scholar] [CrossRef]
- Wu, X.; Jiang, M.; Zhao, C.; Ma, L.; Wei, Y. Low-Rate PBRL-LDPC Codes for URLLC in 5G. IEEE Wirel. Commun. Lett. 2018. [Google Scholar] [CrossRef]
- Zhang, Y.; Peng, K.; Song, J. Enhanced IDMA with Rate-Compatible Raptor-Like Quasi-Cyclic LDPC Code for 5G. In Proceedings of the 2017 IEEE Globecom Workshops, Singapore, 4–8 December 2017. [Google Scholar]
- Zhang, Y.; Peng, K.; Wang, X.; Song, J. Performance Analysis and Code Optimization of IDMA With 5G New Radio LDPC Code. IEEE Commun. Lett. 2018, 22, 1552–1555. [Google Scholar] [CrossRef]
- Promotion Group. White Paper on 5G Wireless Technology Architecture. Promotion Group IMT-2020(5G): 2015. Available online: http://www.imt-2020.cn/en/documents/3 (accessed on 4 January 2019).
- Promotion Group. White Paper on 5G Network Technology Architecture. Promotion Group IMT-2020(5G): 2016. Available online: http://www.imt-2020.cn/en/documents/3 (accessed on 4 January 2019).
- Torrance, J.M.; Hanzo, L. Upper bound performance of adaptive modulation in a slow Rayleigh fading channel. Electron. Lett. 1996, 32, 718–719. [Google Scholar] [CrossRef]
- Bender, P.; Black, P.; Grob, M.; Padovani, R.; Sindhushyana, N.; Viterbi, S. CDMA/HDR: A bandwidth efficient high speed wireless data service for nomadic users. IEEE Commun. Mag. 2000, 38, 70–77. [Google Scholar] [CrossRef]
- Abusedra, L.F.; Daeri, A.M.; Zerek, A.R. Implementation and performance study of the LDPC coding in the DVB-S2 link system using MATLAB. In Proceedings of the 2016 17th International Conference on Sciences and Techniques of Automatic Control and Computer Engineering (STA), Sousse, Tunisia, 19–21 December 2016; pp. 669–674. [Google Scholar]
- Doost, R.; Kashani, Z.G.; Mohammadi, L. BER investigation in satellite DVB-S2 service by modeling the transponder non-idealities. In Proceedings of the 7th International Symposium on Telecommunications (IST’2014), Tehran, Iran, 9–11 September 2014; pp. 1050–1053. [Google Scholar]
- Gallager, R. Low Destiny Parity-Check Codes. Ph.D. Thesis, MIT Press, Cambridge, MA, USA, 1963; 90p. [Google Scholar]
- MacKay, D.J.; Neal, R.M. Near Shannon limit performance of low density parity check codes. Electron. Lett. 1996, 32, 1645–1646. [Google Scholar] [CrossRef]
- MacKay, D.J. Good error-correcting codes based on very sparse matrices. IEEE Trans. Inf. Theory 1999, 45, 399–431. [Google Scholar] [CrossRef]
- Zongwang, L.; Lei, C.; Lingqi, Z.; Shu, L.; Wai, F. Efficient encoding of quasi-cyclic low-density parity-check codes. In Proceedings of the IEEE Global Telecommunications Conference, St. Louis, MO, USA, 28 November–2 December 2005; p. 6. [Google Scholar]
- Zhixing, Y.; Qiuliang, X.; Kewu, P.; Jian, F. A fast and efficient encoding structure for QC-LDPC codes. In Proceedings of the 2008 International Conference on Communications, Circuits and Systems, Xiamen, China, 25–27 May 2008; pp. 16–20. [Google Scholar]
- Verdier, F.; Declercq, D. A low-cost parallel scalable FPGA architecture for regular and irregular LDPC decoding. IEEE Trans. Commun. 2006, 54, 1215–1223. [Google Scholar] [CrossRef]
- Karkooti, M.; Cavallaro, J.R. Semi-parallel reconfigurable architectures for real-time LDPC decoding. In Proceedings of the International Conference on Information Technology: Coding and Computing, 2004. Proceedings. ITCC 2004, Las Vegas, NV, USA, 5–7 April 2004; Volume 571, pp. 579–585. [Google Scholar]
- Li, J.R.; Narayanan, K.R. Rate-compatible Low Density Parity Check Codes for Capacity-approaching ARQ Schemes in Packet Data Communications. In Proceedings of the IASTED International Conference on Communications, Internet, and Information Technology, St. Thomas, US Virgin Islands, 18–20 Novermber 2002. [Google Scholar]
- Ha, J.; Kim, J.; Klinc, D.; McLaughlin, S.W. Rate-compatible punctured low-density parity-check codes with short block lengths. IEEE Trans. Inf. Theory 2006, 52, 728–738. [Google Scholar] [CrossRef]
- Hyo, Y.P.; Jae, W.K.; Kwang, S.; Keum, C.W. Efficient puncturing method for rate-compatible low-density parity-check codes. IEEE Trans. Wirel. Commun. 2007, 6, 3914–3919. [Google Scholar] [CrossRef]
- Wu, S.X.; Mow, W.H. Efficient Ranking of Rate-Compatible Puncturing Patterns for a Given LDPC Code Matrix. In Proceedings of the GLOBECOM 2009—2009 IEEE Global Telecommunications Conference, Honolulu, HI, USA, 30 November–4 December 2009; pp. 1–6. [Google Scholar]
- Liu, X.; Wu, X.; Zhao, C. Shortening for irregular QC-LDPC codes. IEEE Commun. Lett. 2009, 13, 612–614. [Google Scholar] [CrossRef]
- Angelone, M.; Ginesi, A.; Re, E.; Cioni, S. Performance of a combined dynamic rate adaptation and adaptive coding modulation technique for a DVB-RCS2 system. In Proceedings of the 2012 6th Advanced Satellite Multimedia Systems Conference, ASMS 2012 and 12th Signal Processing for Space Communications Workshop, SPSC 2012, Baiona, Spain, 5–7 September 2012; pp. 124–131. [Google Scholar]
- Chen, F.; Meiya, C.; Lijun, S.; Xin, Z.; Dacheng, Y. Research on threshold adjustment algorithm in Adaptive Modulation and Coding. In Proceedings of the 2006 IEEE 17th International Symposium on Personal, Indoor and Mobile Radio Communications, PIMRC, Helsinki, Finland, 11–14 September 2006. [Google Scholar]
- Floor, P.A.; Kim, A.N.; Ramstad, T.A.; Balasingham, I.; Wernersson, N.; Skoglund, M. On Joint Source-Channel Coding for a Multivariate Gaussian on a Gaussian MAC. IEEE Trans. Commun. 2015, 63, 1824–1836. [Google Scholar] [CrossRef]
- Kurniawan, E.; Zhiwei, L.; Sun, S. Machine Learning-Based Channel Classification and Its Application to IEEE 802.11ad Communications. In Proceedings of the GLOBECOM 2017—2017 IEEE Global Communications Conference, Singapore, 4–8 December 2017; pp. 1–6. [Google Scholar]
- Lee, C.; Yilmaz, H.B.; Chae, C.B.; Farsad, N.; Goldsmith, A. Machine learning based channel modeling for molecular MIMO communications. In Proceedings of the 2017 IEEE 18th International Workshop on Signal Processing Advances in Wireless Communications (SPAWC), Sapporo, Japan, 3–6 July 2017; pp. 1–5. [Google Scholar]
- Condrobimo, A.R.; Abbas, B.S.; Trisetyarso, A.; Suparta, W.; Kang, C.H. Data mining technique with cluster anaysis use K-means algorithm for LQ45 index on Indonesia stock exchange. In Proceedings of the 2018 International Conference on Information and Communications Technology (ICOIACT), Yogyakarta, Indonesia, 6–7 March 2018; pp. 885–888. [Google Scholar]
- De Carvalho, F.D.T.; Simoes, E.C.; Santana, L.V.C.; Ferreira, M.R.P. Gaussian kernel c-means hard clustering algorithms with automated computation of the width hyper-parameters. Pattern Recognit. 2018, 79, 370–386. [Google Scholar] [CrossRef]
- Yazdani, M.R.; Banihashemi, A.H. On construction of rate-compatible low-density parity-check codes. IEEE Commun. Lett. 2004, 8, 159–161. [Google Scholar] [CrossRef]
- Li, J.; Liu, K.; Lin, S.; Abdel-Ghaffar, K.; Ryan, W.E. An unnoticed strong connection between algebraic-based and protograph-based LDPC codes, Part I: Binary case and interpretation. In Proceedings of the Information Theory and Applications Workshop, ITA 2015, San Diego, CA, USA, 1–6 February 2015; pp. 36–45. [Google Scholar]
- Xiao-Yu, H.; Eleftheriou, E.; Arnold, D. Progressive edge-growth Tanner graphs. In Proceedings of the GLOBECOM’01. IEEE Global Telecommunications Conference (Cat. No.01CH37270), San Antonio, TX, USA, 25–29 November 2001; Volume 1002, pp. 995–1001. [Google Scholar]
- Xiao-Yu, H.; Eleftheriou, E.; Arnold, D.M. Regular and irregular progressive edge-growth tanner graphs. IEEE Trans. Inf. Theory 2005, 51, 386–398. [Google Scholar] [CrossRef]
- Yu, K.; Shu, L.; Fossorier, M.P.C. Low density parity check codes based on finite geometries: A rediscovery. In Proceedings of the 2000 IEEE International Symposium on Information Theory (Cat. No.00CH37060), Sorrento, Italy, 25–30 June 2000; p. 200. [Google Scholar]
- Lan, L.; Zeng, L.; Tai, Y.Y.; Chen, L.; Lin, S.; Abdel-Ghaffar, K. Construction of Quasi-Cyclic LDPC Codes for AWGN and Binary Erasure Channels: A Finite Field Approach. IEEE Trans. Inf. Theory 2007, 53, 2429–2458. [Google Scholar] [CrossRef]
- Vasic, B. Combinatorial constructions of low-density parity check codes for iterative decoding. In Proceedings of the IEEE International Symposium on Information Theory, Lausanne, Switzerland, 30 June–5 July 2002; p. 312. [Google Scholar]
- Ammar, B.; Honary, B.; Kou, Y.; Lin, S. Construction of low density parity check codes: A combinatoric design approach. In Proceedings of the IEEE International Symposium on Information Theory, Lausanne, Switzerland, 30 June–5 July 2002; p. 311. [Google Scholar]
- Li, J.; Liu, K.; Lin, S.; Abdel-Ghaffar, K. Algebraic Quasi-Cyclic LDPC Codes: Construction, Low Error-Floor, Large Girth and a Reduced-Complexity Decoding Scheme. IEEE Trans. Commun. 2014, 62, 2626–2637. [Google Scholar] [CrossRef]
- Xu, H.; Feng, D.; Luo, R.; Bai, B. Construction of Quasi-Cyclic LDPC Codes via Masking With Successive Cycle Elimination. IEEE Commun. Lett. 2016, 20, 2370–2373. [Google Scholar] [CrossRef]
- Asvadi, R.; Banihashemi, A.H. A Rate-Compatible Puncturing Scheme for Finite-Length LDPC Codes. IEEE Commun. Lett. 2013, 17, 147–150. [Google Scholar] [CrossRef]
- Mitchell, D.G.M.; Lentmaier, M.; Pusane, A.E.; Costello, D.J. Randomly Punctured LDPC Codes. IEEE J. Sel. Areas Commun. 2016, 34, 408–421. [Google Scholar] [CrossRef]
- Oktar, Y.; Turkan, M. A review of sparsity-based clustering methods. Signal Process. 2018, 148, 20–30. [Google Scholar] [CrossRef]
- Xu, R.; Wunsch, D. Survey of clustering algorithms. IEEE Trans. Neural Netw. 2005, 16, 645–678. [Google Scholar] [CrossRef] [PubMed]
- EBU. Digital Video Broadcasting (DVB-S2) Standard Draft ETSI EN 302 307-1. EBU: 2014. Available online: https://www.etsi.org/ (accessed on 4 January 2019).
- El-Hajjar, M.; Hanzo, L. EXIT Charts for System Design and Analysis. IEEE Commun. Surv. Tutor. 2014, 16, 127–153. [Google Scholar] [CrossRef]
- Li, Q.; Chen, D.; Jiang, W.; Liu, B.; Gong, J. Generalization of SPIHT: Set Partition Coding System. IEEE Trans. Image Process. 2016, 25, 713–725. [Google Scholar] [CrossRef] [PubMed]





















| Matrix Construction Algorithm | Pre-Process | Add Operation Times in | Multiplication Operation Times in | Coding Complexity |
|---|---|---|---|---|
| Random construction | ||||
| Masking and puncturing construction | No | No |
| Code Rate | Information Bitlength | Code-Word Length | Variable Node Degree | Variable Node Degree Distributions |
|---|---|---|---|---|
| 4/9 (1/2) | 7200 | 16,200 | (1, 2, 3, 8) | (1, 8999, 5400, 1800)/16,200 |
| 2/3 | 10,800 | (1, 2, 3, 13) | (1, 5399, 9720, 1080)/16,200 | |
| 11/15 (3/4) | 11,880 | (1, 2, 3, 12) | (1, 4319, 11,520, 360)/16,200 | |
| 7/9 (4/5) | 12,600 | (1, 2, 3) | (1, 3599, 12,600)/16,200 | |
| 37/45 (5/6) | 13,320 | (1, 2, 3, 13) | (1, 2879, 12,960, 360)/16,200 |
| Code Rate | Information Length (Bit/Symbol) | Code Length (Bit/Symbol) | Base Matrix Size | Expansion Factor | Variable Node Degrees | Variable Node Degree Distributions |
|---|---|---|---|---|---|---|
| 7/8 | 14,224/3556 | 16,256/4064 | 4 × 32 | 127 | (4, 3, 2) | (7, 14, 11)/32 |
| 6/7 | 13,920/3480 | 16,240/4060 | 4 × 28 | 145 | (4, 3, 2) | (6, 12, 10)/28 |
| 5/6 | 13,440/3360 | 16,128/4032 | 4 × 24 | 169 | (4, 3, 2) | (5, 10, 9)24 |
| 4/5 | 12,992/3248 | 16,240/4060 | 4 × 20 | 203 | (4, 3, 2) | (4, 8, 8)/20 |
| 3/4 | 12,144/3036 | 16,192/4048 | 4 × 16 | 253 | (4, 3, 2) | (3, 6, 7)/16 |
| 2/3 | 10,816/2704 | 16,224/4056 | 4 × 12 | 338 | (4, 3, 2) | (2, 4, 6)/12 |
| 1/2 | 8096/2024 | 16,192/4048 | 4 × 8 | 506 | (4, 3, 2) | (1, 2, 5)/8 |
| Code Rates | Thresholds under AWGN Channel (dB) | |
|---|---|---|
| DVB-S2 Scheme | RC-NB-LDPC Codes | |
| 7/8 | ---- | 2.87 |
| 6/7 | ---- | 2.81 |
| 5/6 | 2.86 | 2.72 |
| 4/5 | 2.70 | 2.59 |
| 3/4 | 2.58 | 2.41 |
| 2/3 | 2.38 | 2.12 |
| 1/2 | 2.02 | 1.80 |
| Channel Types | Test Parameters |
|---|---|
| Class 1 | [2.2, 2500 KHz] |
| Class 2 | [2.8, 4500 KHz] |
| Class 3 | [3.5, 6500 KHz] |
| Compression Ratio | Test Schemes | PSNR (dB) | ||
|---|---|---|---|---|
| Class1 | Class2 | Class3 | ||
| 1 | Scheme 1 | Fail | 33.53 | 35.94 |
| Scheme 2 | 31.79 | 35.24 | 37.68 | |
| Scheme 3 | 32.38 | 35.75 | 38.23 | |
| 0.5 | Scheme 1 | Fail | 30.71 | 32.77 |
| Scheme 2 | 28.86 | 32.47 | 34.64 | |
| Scheme 3 | 29.33 | 32.91 | 35.14 | |
| 0.1 | Scheme 1 | Fail | 27.82 | 29.24 |
| Scheme 2 | 27.26 | 29.01 | 29.32 | |
| Scheme 3 | 27.68 | 29.28 | 29.32 | |
© 2019 by the authors. Licensee MDPI, Basel, Switzerland. This article is an open access article distributed under the terms and conditions of the Creative Commons Attribution (CC BY) license (http://creativecommons.org/licenses/by/4.0/).
Share and Cite
Zhao, D.-f.; Tian, H.; Xue, R. Adaptive Rate-Compatible Non-Binary LDPC Coding Scheme for the B5G Mobile System. Sensors 2019, 19, 1067. https://doi.org/10.3390/s19051067
Zhao D-f, Tian H, Xue R. Adaptive Rate-Compatible Non-Binary LDPC Coding Scheme for the B5G Mobile System. Sensors. 2019; 19(5):1067. https://doi.org/10.3390/s19051067
Chicago/Turabian StyleZhao, Dan-feng, Hai Tian, and Rui Xue. 2019. "Adaptive Rate-Compatible Non-Binary LDPC Coding Scheme for the B5G Mobile System" Sensors 19, no. 5: 1067. https://doi.org/10.3390/s19051067
APA StyleZhao, D.-f., Tian, H., & Xue, R. (2019). Adaptive Rate-Compatible Non-Binary LDPC Coding Scheme for the B5G Mobile System. Sensors, 19(5), 1067. https://doi.org/10.3390/s19051067

