Development of Ultrasonic Guided Wave Transducer for Monitoring of High Temperature Pipelines
Abstract
1. Introduction
2. High-Temperature Ultrasonic-Guided-Wave Transducers
2.1. High-Temperature Piezoelectric Materials
2.2. High-Temperature Transducer Design
2.3. Thickness-Shear Piezoelectric Material Characterisation
3. Materials and Methods
3.1. GaPO4 Piezoelectric Wafer Transducer
3.2. Modelling of the GaPO4 Transducer
3.3. Electromechanical Impedance Characterisation
3.4. Vibrational Response Measurement
4. Results
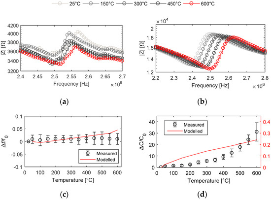
4.1. Electromechanical Impedance Response
4.2. TS-Mode Coefficients of GaPO4
4.3. Vibration Analysis
5. Discussions
6. Conclusions
Author Contributions
Funding
Conflicts of Interest
References
- Giurgiutiu, V. Structural Health Monitoring with Piezoelectric Wafer Active Sensors, 2nd ed.; Academic Press: Oxford, UK, 2014; ISBN 978-0-12-418691-0. [Google Scholar]
- Yu, L.; Santoni-Bottai, G.; Xu, B.; Liu, W.; Giurgiutiu, V. Piezoelectric wafer active sensors for in situ ultrasonic-guided wave SHM. Fatigue Fract. Eng. Mater. Struct. 2008, 31, 611–628. [Google Scholar] [CrossRef]
- Baptista, F.; Budoya, D.; Almeida, V.; Ulson, J. An Experimental Study on the Effect of Temperature on Piezoelectric Sensors for Impedance-Based Structural Health Monitoring. Sensors 2014, 14, 1208–1227. [Google Scholar] [CrossRef] [PubMed]
- Mei, H.; Haider, M.; Joseph, R.; Migot, A.; Giurgiutiu, V. Recent Advances in Piezoelectric Wafer Active Sensors for Structural Health Monitoring Applications. Sensors 2019, 19, 383. [Google Scholar] [CrossRef] [PubMed]
- Jiang, X.; Kim, K.; Zhang, S.; Johnson, J.; Salazar, G. High-temperature piezoelectric sensing. Sensors 2014, 14, 144–169. [Google Scholar] [CrossRef]
- Tsiklauri, G.; Talbert, R.; Schmitt, B.; Filippov, G.; Bogoyavlensky, R.; Grishanin, E. Supercritical steam cycle for nuclear power plant. Nucl. Eng. Des. 2005, 235, 1651–1664. [Google Scholar] [CrossRef]
- Gaur, B.; Babakr, A. Piping failure in a superheated steam service—A case study. Matér. Tech. 2013, 101, 206. [Google Scholar] [CrossRef]
- Sabouri, M.; Hoseiny, H.; Faridi, H.R. Corrosion failure of superheat steam pipes of an ammonia production plant. Vacuum 2015, 121, 75–80. [Google Scholar] [CrossRef]
- Xu, S.; Meng, W.; Wang, C.; Sun, Z.; Zhang, Y. Failure analysis of TP304H tubes in the superheated steam section of a reformer furnace. Eng. Fail. Anal. 2017, 79, 762–772. [Google Scholar] [CrossRef]
- Bond, L.J. Fitness Tests For Old Nuclear Reactors--IEEE Spectrum. Available online: https://spectrum.ieee.org/energy/nuclear/fitness-tests-for-old-nuclear-reactors (accessed on 30 November 2019).
- Liu, Z.; Kleiner, Y. State-of-the-art review of technologies for pipe structural health monitoring. IEEE Sens. J. 2012, 12, 1987–1992. [Google Scholar] [CrossRef]
- Alleyne, D.N.; Cawley, P. The excitation of Lamb waves in pipes using dry-coupled piezoelectric transducers. J. NDE 1996, 15, 11–20. [Google Scholar] [CrossRef]
- Guilded Ultrasonics Ltd. gPIMS®. Available online: https://www.guided-ultrasonics.com/gpims/ (accessed on 30 November 2019).
- ANSI/IEEE Std 176-1987. IEEE Standard on Piezoelectricity. 1987. Available online: http://blogs.cimav.edu.mx/luis.fuentes/data/files/Curso_Cristalograf%C3%ADa/piezo_ieee.pdf (accessed on 9 December 2019).
- Meeker, T. Publication and proposed revision of ANSI/IEEE standard 176-1987. IEEE Trans. Ultrason. Ferroelectr. Freq. Control 1996, 43, 717–772. [Google Scholar]
- Lee, H.; Zhang, S.; Bar-Cohen, Y.; Sherrit, S. High Temperature, High Power Piezoelectric Composite Transducers. Sensors 2014, 14, 14526–14552. [Google Scholar] [CrossRef] [PubMed]
- Kažys, R.; Voleišis, A.; Voleišienė, B. High temperature ultrasonic transducers. Ultrasound 2008, 63, 7–17. [Google Scholar]
- Zhang, S.; Yu, F. Piezoelectric materials for high temperature sensors. J. Am. Ceram. Soc. 2011, 94, 3153–3170. [Google Scholar] [CrossRef]
- Shinekumar, K.; Dutta, S. High-Temperature Piezoelectrics with Large Piezoelectric Coefficients. J. Electron. Mater. 2014, 44, 613–622. [Google Scholar] [CrossRef]
- Gotmare, S.W.; Leontsev, S.O.; Eitel, R.E. Thermal Degradation and Aging of High-Temperature Piezoelectric Ceramics. J. Am. Ceram. Soc. 2010, 93, 1965–1969. [Google Scholar] [CrossRef]
- Yu, F.; Chen, F.; Hou, S.; Wang, H.; Wang, Y.; Tian, S.; Jiang, C.; Li, Y.; Cheng, X.; Zhao, X. High temperature piezoelectric single crystals: Recent developments. In Proceedings of the 2016 Symposium on Piezoelectricity, Acoustic Waves, and Device Applications (SPAWDA), Xi’an, China, 21–24 October 2016; pp. 1–7. [Google Scholar]
- Worsch, P.M.; Krempl, P.W.; Wallnofer, W. GaPO4 crystals for sensor applications. In Proceedings of the IEEE Sensors, Orlando, FL, USA, 12–14 June 2002; Volume 1, pp. 589–593. [Google Scholar]
- Palmier, D.; Gohier, R.; Bonjour, C.; Martin, G.; Zarembovitch, A.; Bigler, E.; Philippot, E. New results on the thermal sensitivity of bulk and surface modes of gallium orthophosphate GaPO4. In Proceedings of the 1995 IEEE International Ultrasonics Symposium, Seattle, WA, USA, 7–10 November 1995; Volume 1, pp. 605–610. [Google Scholar]
- Hamidon, M.N.; Skarda, V.; White, N.M.; Krispel, F.; Krempl, P.; Binhack, M.; Buff, W. Fabrication of high temperature surface acoustic wave devices for sensor applications. Sens. Actuators Phys. 2005, 123–124, 403–407. [Google Scholar] [CrossRef]
- Thanner, H.; Krempl, P.W.; Selic, R.; Wallnöfer, W.; Worsch, P.M. GaPO4 High temperature crystal microbalance demonstration up to 720 °C. J. Therm. Anal. Calorim. 2003, 71, 53–59. [Google Scholar] [CrossRef]
- Krispel, F.; Reiter, C.; Neubig, J.; Lenzenhuber, F.; Krempl, P.; Wallnofer, W.; Worsch, P. Properties and applications of singly rotated GaPO4 resonators. In Proceedings of the IEEE International Frequency Control Symposium and PDA Exhibition Jointly with the 17th European Frequency and Time Forum, Tampa, FL, USA, 4–8 May 2003; pp. 668–673. [Google Scholar]
- Krempl, P.; Reiter, C.; Wallnofer, W.; Neubig, J. Temperature sensors based on GaPO4. In Proceedings of the 2002 IEEE Ultrasonics Symposium, Munich, Germany, 8–11 October 2002; Volume 1, pp. 949–952. [Google Scholar]
- Kostan, M.; Mohimi, A.; Nageswaran, C.; Kappatos, V.; Cheng, L.; Gan, T.-H.; Wrobel, L.; Selcuk, C. Assessment of Material Properties of Gallium Orthophosphate Piezoelectric Elements for Development of Phased Array Probes for Continuous Operation at 580 °C. IOP Conf. Ser. Mater. Sci. Eng. 2016, 108, 012008. [Google Scholar] [CrossRef]
- Standard, B. Piezoelectric Properties of Ceramic Materials and Components-Part 2: Methods of Measurement--Low Power. Available online: https://infostore.saiglobal.com/en-us/Standards/EN-50324-2-2002-348917_SAIG_CENELEC_CENELEC_797147/ (accessed on 10 December 2019).
- Cao, W.; Zhu, S.; Jiang, B. Analysis of shear modes in a piezoelectric vibrator. J. Appl. Phys. 1998, 83, 6. [Google Scholar] [CrossRef][Green Version]
- Frankel, D.J.; Bernhardt, G.P.; Sturtevant, B.T.; Moonlight, T.; Pereira da Cunha, M.; Lad, R.J. Stable electrodes and ultrathin passivation coatings for high temperature sensors in harsh environments. In Proceedings of the 2008 IEEE Sensors, Lecce, Italy, 26–29 October 2008; pp. 82–85. [Google Scholar]
- Richter, D.; Fritze, H. High-temperature stable electrodes for langasite based surface acoustic wave devices. In Proceedings of the Sensor+Test Conferences, Nürnberg, Germany, 7–9 July 2011; pp. 532–537. [Google Scholar]
- Hamidon, M.N.; Mousavi, S.A.; Isa, M.M.; Ismail, A.; Mahdi, M.A. Finite Element Method on Mass Loading Effect for Gallium Phosphate Surface Acoustic Wave Resonators. In Proceedings of the World Congress on Engineering, London, UK, 1–3 July 2009; pp. 447–452. [Google Scholar]
- Reiter, C. Material properties of GaPO4 and their relevance for applications. Ann. Chim. Sci. Matér. 2001, 26, 91–94. [Google Scholar] [CrossRef]
- Silva, L.B.; Santos, E.J. Modeling high-resolution down-hole pressure transducer to achieve semi-distributed measurement in oil and gas production wells. J. Integr. Circuits Syst. 2019, 14, 1–9. [Google Scholar] [CrossRef]
- Mohimi, A.; Gan, T.H.; Balachandran, W. Development of high temperature ultrasonic guided wave transducer for continuous in service monitoring of steam lines using non-stoichiometric lithium niobate piezoelectric ceramic. Sens. Actuators Phys. 2014, 216, 432–442. [Google Scholar] [CrossRef]
- Dhutti, A.; Tumin, S.; Gan, T.; Kanfoud, J.; Balachandran, W. Comparative study on the performance of high temperature piezoelectric materials for structural health monitoring using ultrasonic guided waves. In Proceedings of the 7th Asia-Pacific Workshop on Structural Health Monitoring, Hong Kong, China, 12–15 November 2018; pp. 12–15. [Google Scholar]
- Teletest Focus+ | Eddyfi. Available online: https://eddyfi.com/en/product/focus (accessed on 14 November 2019).
- Hoshyarmanesh, H.; Ghodsi, M.; Kim, M.; Cho, H.H.; Park, H.-H. Temperature Effects on Electromechanical Response of Deposited Piezoelectric Sensors Used in Structural Health Monitoring of Aerospace Structures. Sensors 2019, 19, 2805. [Google Scholar] [CrossRef]
- Nosek, J.; Pustka, M. About the coupling factor of the gallium orthophosphate, (GaPO4) and its influence to the resonance - frequency temperature dependence. In Proceedings of the IEEE International Frequency Control Sympposium and PDA Exhibition Jointly with the 17th European Frequency and Time Forum, Tampa, FL, USA, 4–8 May 2003; pp. 674–678. [Google Scholar]
- Zarka, A.; Capelle, B.; Detaint, J.; Palmier, D.; Philippot, E.; Zvereva, O.V. Studies of GaPO4 crystals and resonators. In Proceedings of the Proceedings of 1996 IEEE International Frequency Control Symposium, Honolulu, HI, USA, 5–7 June 1996; pp. 66–71. [Google Scholar]
- González, A.; García, Á.; Benavente-Peces, C.; Pardo, L. Revisiting the Characterization of the Losses in Piezoelectric Materials from Impedance Spectroscopy at Resonance. Materials 2016, 9, 72. [Google Scholar] [CrossRef]













| TS Mode | Frequency (MHz) | Relative Error (%) | ||
|---|---|---|---|---|
| Calculated | Measured | Simulated | ||
| Fundamental (n = 1) | 2.53 | 2.52 | 2.51 | 0.4 |
| Overtone (n = 3) | 7.59 | 7.61 | 7.62 | 0.13 |
| Property | Units | Ref [41] | Measured | Modelled | Relative Error (%) |
|---|---|---|---|---|---|
| GPa | 22.38 | 21.76 | - | 2.85 | |
| GPa | 23.28 | 22.36 | - | 3.95 | |
| 10−12 m2N−1 | 45.51 | 45.33 | - | 0.4 | |
| - | 0.183–0.192 1 | 0.164 | 0.169 | 7.65 |
| Property | Relative Error (%) | ||
|---|---|---|---|
| References [40,41] | Measured | ||
| 44.9 | 46.4 | 3.23 | |
| −26.9 | −27.8 | 3.34 | |
| 19.9–35.7 1 | 27.3 | 1.8 2 | |
| 452 | 469 | 3.62 | |
© 2019 by the authors. Licensee MDPI, Basel, Switzerland. This article is an open access article distributed under the terms and conditions of the Creative Commons Attribution (CC BY) license (http://creativecommons.org/licenses/by/4.0/).
Share and Cite
Dhutti, A.; Tumin, S.A.; Balachandran, W.; Kanfoud, J.; Gan, T.-H. Development of Ultrasonic Guided Wave Transducer for Monitoring of High Temperature Pipelines. Sensors 2019, 19, 5443. https://doi.org/10.3390/s19245443
Dhutti A, Tumin SA, Balachandran W, Kanfoud J, Gan T-H. Development of Ultrasonic Guided Wave Transducer for Monitoring of High Temperature Pipelines. Sensors. 2019; 19(24):5443. https://doi.org/10.3390/s19245443
Chicago/Turabian StyleDhutti, Anurag, Saiful Asmin Tumin, Wamadeva Balachandran, Jamil Kanfoud, and Tat-Hean Gan. 2019. "Development of Ultrasonic Guided Wave Transducer for Monitoring of High Temperature Pipelines" Sensors 19, no. 24: 5443. https://doi.org/10.3390/s19245443
APA StyleDhutti, A., Tumin, S. A., Balachandran, W., Kanfoud, J., & Gan, T.-H. (2019). Development of Ultrasonic Guided Wave Transducer for Monitoring of High Temperature Pipelines. Sensors, 19(24), 5443. https://doi.org/10.3390/s19245443
