Monitoring Water-Soil Dynamics and Tree Survival Using Soil Sensors under a Big Data Approach
Abstract
1. Introduction
2. Materials and Methods
2.1. Study Area
2.2. Experimental Design
2.3. Selection of the Urban Forest Components
2.4. Multi-Source Data Processing
2.5. Evaluation and Monitoring of the Study
2.6. Statistical Analyses
2.6.1. Kaplan-Meier and Cox Survival Models
2.6.2. Monitoring the Effect of Rainfall Episodes
2.6.3. Moisture Retention and Soil Temperature
- ME1: A mixed-effect model including Treatment (our parameter of interest) in the fixed part and the rest of the factors and several possible combinations as random effects:fixed = “Treatment”random = c((1|IdTree), (1 + Treatment|Specie), (1 + Treatment|Plot), (1|Month))
- ME2: Factors Plot and Specie were added to the fixed part to highlight microsite differences in our experimental design and assess the effect of species in the limited time interval since the planting. Factors IdTree and Month were included in the random-effects part as follows:fixed = “Treatment + Plot + Specie”random = c(1|IdTree, 1|Month)
3. Results
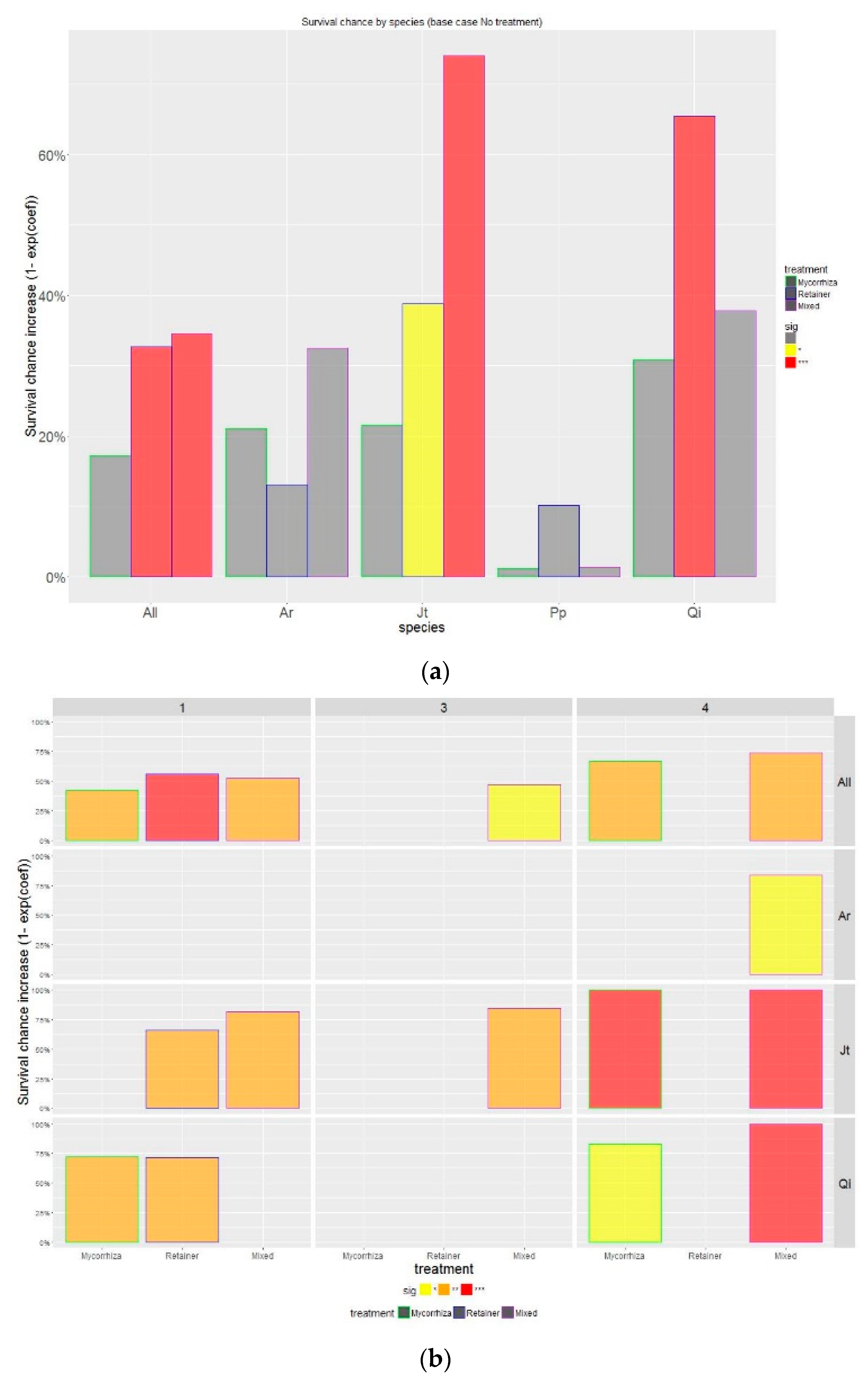
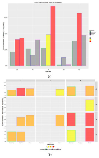
3.1. Survival Analysis
3.2. Analysis of Soil’s Moisture Absorption of Rainfall
3.3. Effect of Treatments on Soil Moisture and Temperature
4. Discussion
5. Conclusions
Author Contributions
Funding
Acknowledgments
Conflicts of Interest
Appendix A
| Sample | Block | Depth | Sand (%) | Silt (%) | Clay (%) | Texture |
|---|---|---|---|---|---|---|
| A | 1 | 0–37 cm | 57 | 27 | 16 | Loam-Sandy |
| 2 | 0–20 cm | 64 | 18 | 18 | Loam-Sandy | |
| 3 | 0–20 cm | 66 | 16 | 18 | Loam-Sandy | |
| 4 | 0–30 cm | 43 | 30 | 27 | Loam | |
| B | 1 | 37–80cm | 63 | 17 | 20 | Loam-Sandy |
| 2 | 20–50 cm | 73 | 16 | 1 | Loam-Sandy | |
| 3 | 20–50 cm | 77.5 | 21 | 1.5 | Loam-Sandy | |
| 4 | 30–90 cm | 43 | 25 | 32 | Loam | |
| C | 2 | 50–120cm | 96 | 3 | 1 | Sandy |
| 3 | 50–130 cm | 97 | 2 | 1 | Sandy |
| Host Tree Species | Mycorrhiza Species |
|---|---|
| Juniperus thurifera | Rhizophagus spp. (Endo). |
| Prunus dulcis | Rhizophagus spp. (Endo). |
| Acer campestre | Rhizophagus spp. (Endo). |
| Pinus pinea | Pisolithus tinctorius (Pers.) Coker & Couch (Ecto). |
| Quercus ilex | Pisolithus + Scleroderma polyrrhizum (JF Gmel.) Pers (Ecto). |

Appendix B


References
- Carter, J.G. Climate change adaptation in European cities. Curr. Opin. Environ. Sustain. 2011, 3, 193–198. [Google Scholar] [CrossRef]
- Lafortezza, R.; Carrus, G.; Sanesi, G.; Davies, C. Benefits and well-being perceived by people visiting green spaces in periods of heat stress. Urban For. Urban Green. 2009, 8, 97–108. [Google Scholar] [CrossRef]
- Churkina, G. Modeling the carbon cycle of urban systems. Ecol. Model. 2008, 216, 107–113. [Google Scholar] [CrossRef]
- Foley, J.A.; Defries, R.; Asner, G.P.; Barford, C.; Bonan, G.; Carpenter, S.R.; Chapin, F.S.; Coe, M.T.; Daily, G.C.; Gibbs, H.K.; et al. Global Consequences of Land Use. Science 2005, 309, 570–574. [Google Scholar] [CrossRef]
- Ciscar, J.; Iglesias, A.; Feyen, L.; Szabó, L.; Van Regemorter, D.; Amelung, B.; Nicholls, R.; Watkiss, P.; Christensen, O.B.; Dankers, R. Physical and economic consequences of climate change in Europe. Proc. Natl. Acad. Sci. USA 2011, 108, 7. [Google Scholar]
- Konijnendijk, C.C.; Ricard, R.M.; Kenney, A.; Randrup, T.B. Defining urban forestry—A comparative perspective of North America and Europe. Urban for Urban Green. 2006, 4, 93–103. [Google Scholar] [CrossRef]
- Salvati, L.; Ranalli, F.; Carlucci, M.; Ippolito, A.; Ferrara, A.; Corona, P. Forest and the city: A multivariate analysis of peri-urban forest land cover patterns in 283 European metropolitan areas. Ecol. Indic. 2017, 73, 369–377. [Google Scholar] [CrossRef]
- Tomao, A.; Quatrini, V.; Corona, P.; Ferrara, A.; Lafortezza, R.; Salvati, L. Resilient landscapes in Mediterranean urban areas: Understanding factors influencing forest trends. Environ. Res. 2017, 156, 1–9. [Google Scholar] [CrossRef]
- De Lucia, B.; Cristiano, G.; Vecchietti, L.; Bruno, L. Effect of different rates of composted organic amendment on urban soil properties, growth and nutrient status of three Mediterranean native hedge species. Urban For. Urban Green. 2013, 12, 537–545. [Google Scholar] [CrossRef]
- Caravaca, F.; Figueroa, D.; Azcón-Aguilar, C.; Barea, J.M.; Roldán, A. Medium-term effects of mycorrhizal inoculation and composted municipal waste addition on the establishment of two Mediterranean shrub species under semiarid field conditions. Agric. Ecosyst. Environ. 2003, 97, 95–105. [Google Scholar] [CrossRef]
- Cortina, J.; Amat, B.; Castillo, V.; Fuentes, D.; Maestre, F.T.; Padilla, F.M.; Rojo, L. The restoration of vegetation cover in the semi-arid Iberian southeast. J. Arid Environ. 2011, 75, 1377–1384. [Google Scholar] [CrossRef]
- Valdecantos, A.; Fuentes, D.; Smanis, A.; Llovet, J.; Morcillo, L.; Bautista, S. Effectiveness of Low-Cost Planting Techniques for Improving Water Availability to Olea europaea Seedlings in Degraded Drylands. Restor. Ecol. 2014, 22, 327–335. [Google Scholar] [CrossRef]
- Yang, L.; Yang, Y.; Chen, Z.; Guo, C.; Li, S. Influence of super absorbent polymer on soil water retention, seed germination and plant survivals for rocky slopes eco-engineering. Ecol. Eng. 2014, 62, 27–32. [Google Scholar] [CrossRef]
- Orikiriza, L.J.B.; Agaba, H.; Tweheyo, M.; Eilu, G.; Kabasa, J.D.; Hüttermann, A. Amending soils with hydrogels increases the biomass of nine tree species under non-water stress conditions. Clean Soil Air Water 2009, 37, 615–620. [Google Scholar] [CrossRef]
- Huttermann, A.; Zommorodi, M.; Reise, K. Addition of hydrogels to soil for prolonging the survival of Pinus halepensis seedlings subjected to drought. Soil Till. Res. 2009, 50, 295–304. [Google Scholar] [CrossRef]
- Rincón, A.; Parladé, J.; Pera, J. Influence of the fertilisation method in controlled ectomycorrhizal inoculation of two Mediterranean pines. Ann. For. Sci. 2007, 64, 577–583. [Google Scholar] [CrossRef]
- Fusaro, L.; Salvatori, E.; Mereu, S.; Marando, F.; Scassellati, E.; Abbate, G.; Manes, F. Urban and peri-urban forests in the metropolitan area of Rome: Ecophysiological response of Quercus ilex L. in two green infrastructures in an ecosystem services perspective. Urban For. Urban Green. 2015, 14, 1147–1156. [Google Scholar] [CrossRef]
- Maestre, F.T.; Cortina, J.; Bautista, S.; Bellot, J.; Vallejo, R. Small-scale environmental heterogeneity and spatio-temporal dynamics of seedling establishment in a semiarid degraded ecosystem. Ecosystems 2003, 6, 630–643. [Google Scholar] [CrossRef]
- Bogena, H.R.; Huisman, J.A.; Oberdörster, C.; Vereecken, H. Evaluation of a low-cost soil water content sensor for wireless network applications. J. Hydrol. 2007, 344, 32–42. [Google Scholar] [CrossRef]
- Adamchuk, V.; Hummel, J.; Morgan, M.; Upadhyaya, S.K. On-the-go soil sensors for precision agriculture. Comput. Electron. Agric. 2004, 44, 71–91. [Google Scholar] [CrossRef]
- Vereecken, H.; Huisman, J.; Bogena, H.; Vanderborght, J.; Vrugt, J.A.; Hopmans, J.W. On the value of soil moisture measurements in vadose zone hydrology: A review. Water Resour. Res. 2008, 44, 1–21. [Google Scholar] [CrossRef]
- Pausas, J.G.; Bladé, C.; Valdecantos, A. Pines and oaks in the restoration of Mediterranean landscapes of Spain: New perspectives for an old practice—A review. Plant Ecol. 2004, 171, 209–220. [Google Scholar] [CrossRef]
- Agerer, R. Exploration types of ectomycorrhizae: A proposal to classify ectomycorrhizal mycelial systems according to their patterns of differentiation and putative ecological importance. Mycorrhiza 2001, 11, 107–114. [Google Scholar] [CrossRef]
- Pera, J.; Parladé, J. Controlled inoculation of reforestation seedlings with ectomycorrhizal fungi: Current knowledge in Spain. For. Syst. 2005, 14, 3. [Google Scholar] [CrossRef]
- El Karkouri, K.; Selosse, M.A.; Mousain, D. Molecular markers detecting an ectomycorrhizal Suillus collinitus strain on Pinus halepensis roots suggest successful inoculation and persistence in Mediterranean nursery and plantation. FEMS Microbiol. Ecol. 2006, 55, 146–158. [Google Scholar] [CrossRef]
- Oliveira, G.; Nunes, A.; Clemente, A.; Correia, O. Effect of substrate treatments on survival and growth of Mediterranean shrubs in a revegetated quarry: An eight-year study. Ecol. Eng. 2011, 37, 255–259. [Google Scholar] [CrossRef]
- Sarvaš, P.; Pavlenda, P.; Takáčová, E. Effect of hydrogel application on survival and growth of pine seedlings in reclamation. J. For. Sci. 2007, 53, 204–209. [Google Scholar] [CrossRef]
- Cox, D.R. Regression Models and Life-Tables. J. R. Stat. Soc. B 1972, 34, 187–220. [Google Scholar] [CrossRef]
- Kaplan, E.L.; Meier, P. Nonparametric estimation from incomplete observations. J. Am. Stat. Assoc. 1958, 53, 457–481. [Google Scholar] [CrossRef]
- Bates, D.; Maechler, M.; Bolker, B.; Walker, S. Linear Mixed-Effects Models Using lme4. J. Stat. Softw. 2015, 67, 1–48. [Google Scholar] [CrossRef]
- Mehtätalo, L.; Lappi, J. Forest Biometrics with Examples in R. Available online: http://cs.uef.fi/~lamehtat/documents/book.pdf (accessed on 26 June 2018).
- R Development Core Team. R: A Language and Environment for Statistical Computing. Technical Report. In R Foundation for Statistical Computing; R Development Core Team: Vienna, Austria, 2018. [Google Scholar]
- Wickham, H. ggplot2: Elegant Graphics for Data Analysis; Springer: New York, NY, USA, 2009. [Google Scholar]
- Pinheiro, J.; Bates, D.; DebRoy, S.; Sarkar, D.; R Core Team. nlme: Linear and Nonlinear Mixed Effects Models; R Package Version 3.1–137; 2015; Available online: https://CRAN.R-project.org/package=nlme (accessed on 23 October 2019).
- Phillips, J.D.; Lorz, C. Origins and implications of soil layering. Earth Sci. Rev. 2008, 89, 144–155. [Google Scholar] [CrossRef]
- Koyama, C.N.; Liu, H.; Takahashi, K.; Shimada, M.; Watanabe, M.; Khuut, T.; Sato, M. In-Situ Measurement of Soil Permittivity at Various Depths for the Calibration and Validation of Low-Frequency SAR Soil Moisture Models by Using GPR. Remote Sens. 2017, 9, 580. [Google Scholar] [CrossRef]
- Huisman, J.A.; Snepvangers, J.J.J.C.; Bouten, W.; Heuvelink, G.B.M. Mapping spatial variation in surface soil water content: Comparison of ground-penetrating radar and time domain reflectometry. J. Hydrol. 2002, 269, 194–207. [Google Scholar] [CrossRef]
- Parladé, J.; Luque, J.; Pera, J.; Rincón, A.M. Field performance of P. pinea and P. halepensis seedlings inoculated with Rhizopogon spp. and outplanted in formerly arable land. Ann. For. Sci. 2004, 61, 507–514. [Google Scholar] [CrossRef][Green Version]
- Navarro, R.M.; Del Campo, A.; Cortina, J. Factores que afectan al éxito de una repoblación y su relación con la calidad de la planta. In Calidad de Planta Forestal Para la Restauración en Ambientes Mediterráneos; Serie Naturaleza y Parques Nacionales; Sociedad Anonima de Foto Composicion: Madrid, Spain, 2006; pp. 31–47. (In Spanish) [Google Scholar]
- Rincón, A.; Felipe, M.R.; Fernández-Pascual, M. Inoculation of Pinus halepensis Mill. with selected ectomycorrhizal fungi improves seedling establishment 2 years after planting in a degraded gypsum soil. Mycorrhiza 2007, 18, 23–32. [Google Scholar] [CrossRef]
- So, T.; Ruthrof, K.X.; Dell, B. Seed and seedling responses to inoculation with mycorrhizal fungi and root nodule bacteria: Implications for restoration of degraded Mediterranean-type Tuart woodlands. Ecol. Manag. Restor. 2001, 12, 157–160. [Google Scholar] [CrossRef]
- Ruano, I.; Pando, V.; Bravo, F. How do light and water influence Pinus pinaster Ait. germination and early seedling development? Forest. Ecol. Manag. 2009, 258, 2647–2653. [Google Scholar] [CrossRef]
- Cogger, C.G. Potential Compost Benefits for Restoration of Soils Disturbed by Urban Development. Compost. Sci. Util. 2005, 13, 243–251. [Google Scholar] [CrossRef]
- Sheng, W.; Sun, Y.; Schulze-Lammers, P.; Schumann, H.; Berg, A.; Shi, C.; Wang, C. Observing soil water dynamics under two field conditions by a novel sensor system. J. Hydrol. 2011, 409, 555–560. [Google Scholar] [CrossRef]






| Factors | ME1 | ME2 | ||||||
|---|---|---|---|---|---|---|---|---|
| Log (Hum20) | Hum20–Hum40 | Tem20 | Tem40 | Log (Hum20) | Hum20–Hum40 | Tem20 | Tem40 | |
| Mycorrhiza | 0.099 | −3.651 | 0.094 | 0.048 | 0.099 | −3.850 | 0.095 | 0.048 |
| (0.060) | (2.072) | (0.196) | (0.184) | (0.048) | (1.398) | (0.160) | (0.152) | |
| * | * | *** | ||||||
| Retainer | 0.051 | −3.601 | 0.270 | 0.265 | 0.051 | −3.800 | 0.271 | 0.266 |
| (0.071) | (1.648) | (0.250) | (0.260) | (0.048) | (1.398) | (0.160) | (0.152) | |
| ** | *** | * | * | |||||
| Mixed | 0.027 | −4.167 | 0.504 | 0.497 | 0.027 | −4.366 | 0.504 | 0.498 |
| (0.083) | (2.180) | (0.198) | (0.185) | (0.048) | (1.398) | (0.160) | (0.152) | |
| * | ** | *** | *** | *** | *** | |||
| Plot #2 | 0.187 | −7.211 | −1.162 | −1.096 | ||||
| (0.048) | (1.374) | (0.160) | (0.152) | |||||
| *** | *** | *** | *** | |||||
| Plot #3 | 0.168 | −8.317 | −1.257 | −1.130 | ||||
| (0.048) | (1.374) | (0.159) | (0.151) | |||||
| *** | *** | *** | *** | |||||
| Plot #4 | 0.096 | −6.209 | −0.366 | −0.368 | ||||
| (0.048) | (1.398) | (0.160) | (0.152) | |||||
| ** | *** | ** | ** | |||||
© 2019 by the authors. Licensee MDPI, Basel, Switzerland. This article is an open access article distributed under the terms and conditions of the Creative Commons Attribution (CC BY) license (http://creativecommons.org/licenses/by/4.0/).
Share and Cite
Pascual, A.; Rivera, R.; Gómez, R.; Domínguez-Lerena, S. Monitoring Water-Soil Dynamics and Tree Survival Using Soil Sensors under a Big Data Approach. Sensors 2019, 19, 4634. https://doi.org/10.3390/s19214634
Pascual A, Rivera R, Gómez R, Domínguez-Lerena S. Monitoring Water-Soil Dynamics and Tree Survival Using Soil Sensors under a Big Data Approach. Sensors. 2019; 19(21):4634. https://doi.org/10.3390/s19214634
Chicago/Turabian StylePascual, Adrián, Rafael Rivera, Rodrigo Gómez, and Susana Domínguez-Lerena. 2019. "Monitoring Water-Soil Dynamics and Tree Survival Using Soil Sensors under a Big Data Approach" Sensors 19, no. 21: 4634. https://doi.org/10.3390/s19214634
APA StylePascual, A., Rivera, R., Gómez, R., & Domínguez-Lerena, S. (2019). Monitoring Water-Soil Dynamics and Tree Survival Using Soil Sensors under a Big Data Approach. Sensors, 19(21), 4634. https://doi.org/10.3390/s19214634
