An Improved Energy-Efficient Routing Protocol for Wireless Sensor Networks
Abstract
:1. Introduction
2. System Model
2.1. Network Model and Assumptions
2.2. Energy Consumption Model
3. Proposed Scheme
3.1. LEACH Protocol
3.2. Improved Energy-Efficient LEACH Protocol
3.2.1. Energy Consumption Model of the IEE-LEACH Protocol
3.2.2. Cluster Head Selection Algorithm of the IEE-LEACH Protocol
3.2.3. Cluster Formation Algorithm of the Proposed IEE-LEACH
3.2.4. Data Transmission Scheme of the IEE-LEACH Protocol
| Algorithm 1. IEE-LEACH |
| 1. N-number of nodes, r-number of rounds. |
| 2. The first step is to initialize the network parameters for WSN. |
| 3. The second step is the random deployment of the nodes in the network. |
| 4. The third step is the deployment of the BS in the network. |
| 5. Calculate |
| 6. for to r |
| 7. |
| 8. |
| 9. |
| 10. t=Random number |
| 11. If |
| 12. CH |
| 13. Calculate |
| 14. end if |
| 15. if |
| 16. Select CH and join the cluster; |
| 17. else |
| 18. Nodes do not participate in the cluster |
| 19. end if |
| 20. Transfer to BS |
| 21. i=i+1 |
| 22. go to step 6 |
| 23. end |
4. Simulation Results
- Stability Period: The time span from the beginning of network operation until the first dead sensor occurs, which can be calculated bywhere , is the number of rounds after which the first sensor died, is the time that the first dead sensor occurred, and is the time of the beginning of network operation.
- Network Lifetime: The time span from the beginning of network operation until the last live SN dies, which can be calculated bywhere , is the number of rounds after which all sensor nodes died, and is the time at which all sensor nodes died.
- The Amount of Transmitted Data: The total quantity of data sent from the nodes (including the CHs and other nodes) in the WSN to the BS can be calculated bywhere is the amount of transmitted data by the CHs to the BS, and is the amount of transmitted data by nodes to BS. In particular, in this paper, concerns nodes near the station of the base, and which does not contribute to the formation of clusters.
- Energy Consumption of Network: The energy consumption of wireless sensor networks mainly includes circuit energy consumption and power amplifier energy consumption, and the latter is dominant. The energy consumption of each round in the network can be calculated by Equation (11) or Equation (15) in different channel models.
4.1. Network Lifetime and Stability Period
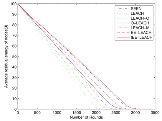
4.2. Residual Nodes Energy
4.3. The Amount of Transmitted Data
4.4. Comparison of the Average Energy Mean Square Deviation of Nodes
4.5. Comparison of the Number of Cluster Heads
4.6. Comparison of Total Energy Consumption of the Network
4.7. Performance for Large Sensor Field
5. Conclusions
Author Contributions
Funding
Conflicts of Interest
Abbreviations
| WSNs | Wireless sensor networks |
| LEACH | Low-energy adaptive clustering hierarchy |
| CHs | Cluster heads |
| IEE-LEACH | Improved energy-efficient LEACH |
| BS | Base station |
| SNs | Sensor nodes |
| SEECH | Scalable energy-efficient clustering hierarchy |
| LA-MHR | Learning automata-based multilevel heterogeneous routing |
| LEACH-M | LEACH-Mobile |
| O-LEACH | Optical LEACH |
| DFS | Distributed fiber sensors |
| SEEN | Stable energy efficient network |
| LEACH-XMP | LEACH-eXtended Message-Passing |
| TDMA | Time division multiple access |
| CSMA | Carrier-sense multiple access |
| LEACH-C | LEACH-Centralized |
| EE-LEACH | Energy-efficient LEACH |
References
- Zhang, D.; Li, G.; Zheng, K.; Ming, X.; Pan, Z. An energy-balanced routing method based on forward-aware factor for wireless sensor networks. IEEE Trans. Ind. Inform.. 2014, 10, 766–773. [Google Scholar] [CrossRef]
- Sobrinho, J.L. Correctness of routing vector protocols as a property of network cycles. IEEE Trans. Netw. 2017, 25, 150–163. [Google Scholar] [CrossRef]
- Mouapi, A.; Hakem, N. A new approach to design autonomous wireless sensor node based on RF energy harvesting system. Sensors 2018, 18, 133. [Google Scholar] [CrossRef] [PubMed]
- Zhang, Y.; Liu, M.; Liu, Q. An energy-balanced clustering protocol based on an improved CFSFDP algorithm for wireless sensor networks. Sensors 2018, 18, 881. [Google Scholar] [CrossRef] [PubMed]
- Bahbahani, M.S.; Alsusa, E. A cooperative clustering protocol with duty cycling for energy harvesting enabled wireless sensor networks. IEEE Trans. Wirel. Commun. 2018, 17, 101–111. [Google Scholar] [CrossRef]
- Li, X.F.; Xu, L.Z.; Wang, H.B.; Song, J.; Yang, S.X. A differential evolution-based routing algorithm for environmental monitoring wireless sensor networks. Sensors 2010, 10, 5425–5442. [Google Scholar] [CrossRef] [PubMed]
- Ma, T.; Hempel, M.; Peng, D.; Sharif, H. A survey of energy-efficient compression and communication techniques for multimedia in resource constrained systems. IEEE Commun. Surv. Tutor. 2013, 15, 963–972. [Google Scholar] [CrossRef]
- Shen, J.; Wang, A.; Wang, C.; Hung, P.C.K.; Lai, C. An efficient centroid-based routing protocol for energy management in WSN-assisted IoT. IEEE Access 2017, 5, 18469–18479. [Google Scholar] [CrossRef]
- Sohn, I.; Lee, J.; Lee, S.H. Low-energy adaptive clustering hierarchy using affinity propagation for wireless sensor networks. IEEE Commun. Lett. 2016, 20, 558–561. [Google Scholar] [CrossRef]
- Zhao, Z.; Xu, K.; Hui, G.; Hu, L. An energy-efficient clustering routing protocol for wireless sensor setworks based on AGNES with balanced energy consumption optimization. Sensors 2018, 18, 3938. [Google Scholar] [CrossRef]
- Heinzelman, W.R.; Chandrakasan, A.; Balakrishnan, H. Energy-efficient communication protocol for wireless microsensor networks. In Proceedings of the 33rd Annual Hawaii International Conference on System Sciences (HICSS), Maui, HI, USA, 7 January 2000; pp. 1–10. [Google Scholar]
- Roy, N.R.; Chandra, P. A note on optimum cluster estimation in LEACH protocol. IEEE Access 2018, 6, 65690–65696. [Google Scholar] [CrossRef]
- Hosen, A.; Cho, G. An energy centric cluster-based routing protocol for wireless sensor networks. Sensors 2018, 18, 1520. [Google Scholar] [CrossRef] [PubMed]
- Sharma, D.; Bhondekar, A.P. Traffic and energy aware routing for heterogeneous wireless sensor networks. IEEE Commun. Lett. 2018, 22, 1608–1611. [Google Scholar] [CrossRef]
- Kaur, T.; Kumar, D. Particle swarm optimization-based unequal and fault tolerant clustering protocol for wireless sensor networks. IEEE Sens. J. 2018, 18, 4614–4622. [Google Scholar] [CrossRef]
- Behera, T.M.; Samal, U.C.; Mohapatra, S.K. Energy-efficient modified LEACH protocol for IoT application. IET Wirel. Sens. Syst. 2018, 8, 223–228. [Google Scholar] [CrossRef]
- Obaidat, M.S.; Misra, S. Principles of Wireless Sensor Networks; Cambridge Univ. Press: Cambridge, UK, 2014. [Google Scholar]
- Alnawafa, E.; Marghescu, I. New energy efficient multi-hop routing techniques for wireless sensor networks: Static and dynamic techniques. Sensors 2018, 18, 1863. [Google Scholar] [CrossRef] [PubMed]
- Jadoon, R.; Zhou, W.; Jadoon, W.; Ahmed Khan, I. RARZ: Ring-zone based routing protocol for wireless sensor networks. Appl. Sci. 2018, 8, 1023. [Google Scholar] [CrossRef]
- Tarhani, M.; Kavian, Y.S.; Siavoshi, S. SEECH: Scalable energy efficient clustering hierarchy protocol in wireless sensor networks. IEEE Sens. J. 2014, 14, 3944–3954. [Google Scholar] [CrossRef]
- Tanwar, S.; Tyagi, S.; Kumar, N.; Obaidat, M.S. LA-MHR: Learning automata based multilevel heterogeneous routing for opportunistic shared spectrum access to enhance lifetime of WSN. IEEE Syst. J. 2019, 13, 313–323. [Google Scholar] [CrossRef]
- Kim, D.S.; Chung, Y.J. Self-organization routing protocol supporting mobile nodes for wireless sensor network. In Proceedings of the First International Multi-Symposiums on Computer and Computational Sciences (IMSCCS’06), Hangzhou, China, 20–24 June 2006; pp. 622–626. [Google Scholar]
- Yan, L.; Pan, W.; Luo, B.; Li, X.; Liu, J. Modified energy-efficient protocol for wireless sensor networks in the presence of distributed optical fiber senor link. IEEE Sens. J. 2011, 11, 1815–1819. [Google Scholar] [CrossRef]
- Priyadarshi, R.; Singh, L.; Singh, A.; Thakur, A. SEEN: Stable energy efficient network for wireless sensor network. In Proceedings of the 2018 5th International Conference on Signal Processing and Integrated Networks (SPIN), Noida, India, 22–23 February 2018; pp. 338–342. [Google Scholar]
- Kang, J.; Sohn, I.; Lee, S. Enhanced message-passing based LEACH protocol for wireless sensor networks. Sensors 2019, 19, 75. [Google Scholar] [CrossRef] [PubMed]
- Heinzelman, W.B.; Chandrakasan, A.P.; Balakrishnan, H. An application-specific protocol architecture for wireless microsensor networks. IEEE Trans. Wirel. Commun. 2002, 1, 660–670. [Google Scholar] [CrossRef]
- Tümer, A.E.; Gündüz, M. Energy-efficient and fast data gathering protocols for indoor wireless sensor networks. Sensors 2010, 10, 8054–8069. [Google Scholar] [CrossRef] [PubMed]
- Cheng, H.J.; Su, Z.H.; Xiong, N.X.; Xiao, Y. Energy-efficient nodes scheduling algorithms for wireless sensor networks using Markov random field model. Inf. Sci. 2016, 329, 461–477. [Google Scholar] [CrossRef]
- Hoang, D.C.; Yadav, P.; Kumar, R.; Panda, S.K. Real-time implementation of a harmony search algorithm-based clustering protocol for energy-efficient wireless sensor networks. IEEE Trans. Ind. Inf. 2014, 10, 774–783. [Google Scholar] [CrossRef]
- Noh, Y.; Lee, D. BCoPS: An energy-efficient routing protocol with coverage preservation. IET Commun. 2017, 11, 1933–1940. [Google Scholar] [CrossRef]
- Miao, H.; Xiao, X.; Qi, B.; Wang, K. Improvement and application of LEACH protocol based on genetic algorithm for WSN. In Proceedings of the 2015 IEEE 20th International Workshop on Computer Aided Modelling and Design of Communication Links and Networks (CAMAD), Guildford, UK, 7–9 September 2015; pp. 242–245. [Google Scholar]
- Singh, S.K.; Kumar, P.; Singh, J.P. A survey on successors of LEACH protocol. IEEE Access 2017, 5, 4298–4328. [Google Scholar] [CrossRef]
- Zhang, W.; Wei, X.; Han, G.; Tan, X. An energy-efficient ring cross-layer optimization algorithm for wireless sensor networks. IEEE Access 2018, 6, 16588–16598. [Google Scholar] [CrossRef]
- Zheng, H.F.; Guo, W.Z.; Xiong, N. A kernel-based compressive sensing approach for mobile data gathering in wireless sensor network systems. IEEE Trans. Syst. Man Cybern. Syst. 2017, 48, 2315–2327. [Google Scholar] [CrossRef]
- Cheng, H.J.; Chen, Y.Z.; Xiong, N.X.; Li, F.F. Layer-based data aggregation and performance analysis in wireless sensor networks. J. Appl. Math. 2013, 2013, 502381. [Google Scholar] [CrossRef]
- Arumugam, G.S.; Ponnuchamy, T. EE-Leach: Development of energy-efficient LEACH protocol for data gathering in WSN. EURASIP J. Wirel. Commun. Netw. 2015, 2015, 76. [Google Scholar] [CrossRef]
- Kong, H.Y. Energy efficient cooperative LEACH protocol for wireless sensor networks. J. Commun. Netw. 2010, 12, 358–365. [Google Scholar]
- Mottaghi, S.; Zahabi, M.R. Optimizing LEACH clustering algorithm with mobile sink and rendezvous nodes. AEU-Int. J. Electron. Commun. 2015, 69, 507–514. [Google Scholar] [CrossRef]
- Sandhu, M.M.; Akbar, M.; Behzad, M.; Javaid, N.; Khan, Z.A.; Qasim, U. Mobility model for WBANs. In Proceedings of the 9th International Conference on Broadband and Wireless Computing, Communication and Applications, Guangzhou, China, 8–10 November 2014; pp. 155–160. [Google Scholar]














| Parameters | Values |
|---|---|
| 50 nJ/bit | |
| 5 nJ/bit/signal | |
| Transmitter Amplifier if | 10 pJ/bit/m |
| Transmitter Amplifier if | 0.0013 pJ/bit/m |
| p | 0.05 |
| 87 m | |
| Data Packet Size | 4000 bits |
| Data Packet rate | 1 packet/s |
| Protocol Name | Improved Details |
|---|---|
| LEACH | NULL |
| IEE-LEACH | Threshold setting considering the energy adjustment parameter, and closer nodes to the BS do not participate in cluster formation. |
| IEE-LEACH-A | Threshold setting in the same way as LEACH, but closer nodes to the BS do not participate in cluster formation. |
| IEE-LEACH-B | Threshold setting considering the energy adjustment parameter, but the cluster formation is the same as that of LEACH. |
| Protocol | Lifetime | Residual Energy | Total Energy Consumption |
|---|---|---|---|
| LEACH | 1678 | 2267 | 2267 |
| EE-LEACH | 2326 | 3053 | 3114 |
| SEEN | 2416 | 2889 | 2990 |
| LEACH-C | 1836 | 2422 | 2723 |
| O-LEACH | 2178 | 2972 | 2972 |
| LEACH-M | 1933 | 2492 | 2775 |
| IEE-LEACH | 2636 | 3242 | 3242 |
| Protocol | Network Lifetime | Residual Energy | Total Energy Consumption |
|---|---|---|---|
| LEACH | 1361 | 1328 | 1411 |
| EE-LEACH | 1719 | 1534 | 1589 |
| SEEN | 1812 | 1731 | 1826 |
| LEACH-XMP | 3313 | 2724 | 2785 |
| IEE-LEACH | 3491 | 2692 | 2793 |
© 2019 by the authors. Licensee MDPI, Basel, Switzerland. This article is an open access article distributed under the terms and conditions of the Creative Commons Attribution (CC BY) license (http://creativecommons.org/licenses/by/4.0/).
Share and Cite
Liu, Y.; Wu, Q.; Zhao, T.; Tie, Y.; Bai, F.; Jin, M. An Improved Energy-Efficient Routing Protocol for Wireless Sensor Networks. Sensors 2019, 19, 4579. https://doi.org/10.3390/s19204579
Liu Y, Wu Q, Zhao T, Tie Y, Bai F, Jin M. An Improved Energy-Efficient Routing Protocol for Wireless Sensor Networks. Sensors. 2019; 19(20):4579. https://doi.org/10.3390/s19204579
Chicago/Turabian StyleLiu, Yang, Qiong Wu, Ting Zhao, Yong Tie, Fengshan Bai, and Minglu Jin. 2019. "An Improved Energy-Efficient Routing Protocol for Wireless Sensor Networks" Sensors 19, no. 20: 4579. https://doi.org/10.3390/s19204579
APA StyleLiu, Y., Wu, Q., Zhao, T., Tie, Y., Bai, F., & Jin, M. (2019). An Improved Energy-Efficient Routing Protocol for Wireless Sensor Networks. Sensors, 19(20), 4579. https://doi.org/10.3390/s19204579

