Energy-Efficient UAV-Enabled MEC System: Bits Allocation Optimization and Trajectory Design
Abstract
1. Introduction
1.1. Related Work
1.2. Contribution and Organization
- An energy-efficient scheme subjecting to the constraints of UAV’s energy budget, the number of each task’s bits, the causality of the data, and the velocity limitation of the UAV is proposed. The aim of the problem is to minimize the total energy-consumption of the UAV-enabled MEC system, which includes the energy consumption of the ground users and the UAV. The bits allocation and the trajectory of the UAV are cooperatively optimized.
- A two-stage alternating algorithm is presented to solve the optimization problem. The formulated optimization problem is non-convex due to the non-convex objective function and non-convex constraints. The dual variables also enhance the difficulty of the problem. To solve the optimization problem, an alternating algorithm is proposed. The subproblems are solved by Lagrange duality method and CVX solver respectively.
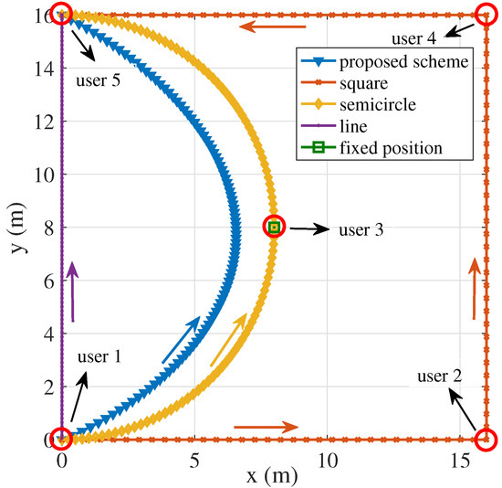
- The simulation results are shown to indicate the superiority of the proposed scheme compared with other benchmark schemes. In contrast to the fixed trajectory of the UAV, the energy consumption of the proposed scheme is greatly decreased. Besides, the performance of the proposed scheme is also demonstrated under different settings.
2. System Model and Problem Formulation
2.1. System Model
2.1.1. Energy Consumption Model of Ground Users
2.1.2. Energy Consumption Model of the UAV
2.2. Problem Formulation
3. Algorithm Design
3.1. Bits Allocation under Given Trajectory
3.2. Trajectory Design under Given Bits Allocation
| Algorithm 1. The alternating algorithm for P1. |
| Input:K, N, B, , , , , , , , , , and tolerant thresholds and ; |
|
| Output:E, , , and . |
| 30: |
3.3. Complexity Analysis
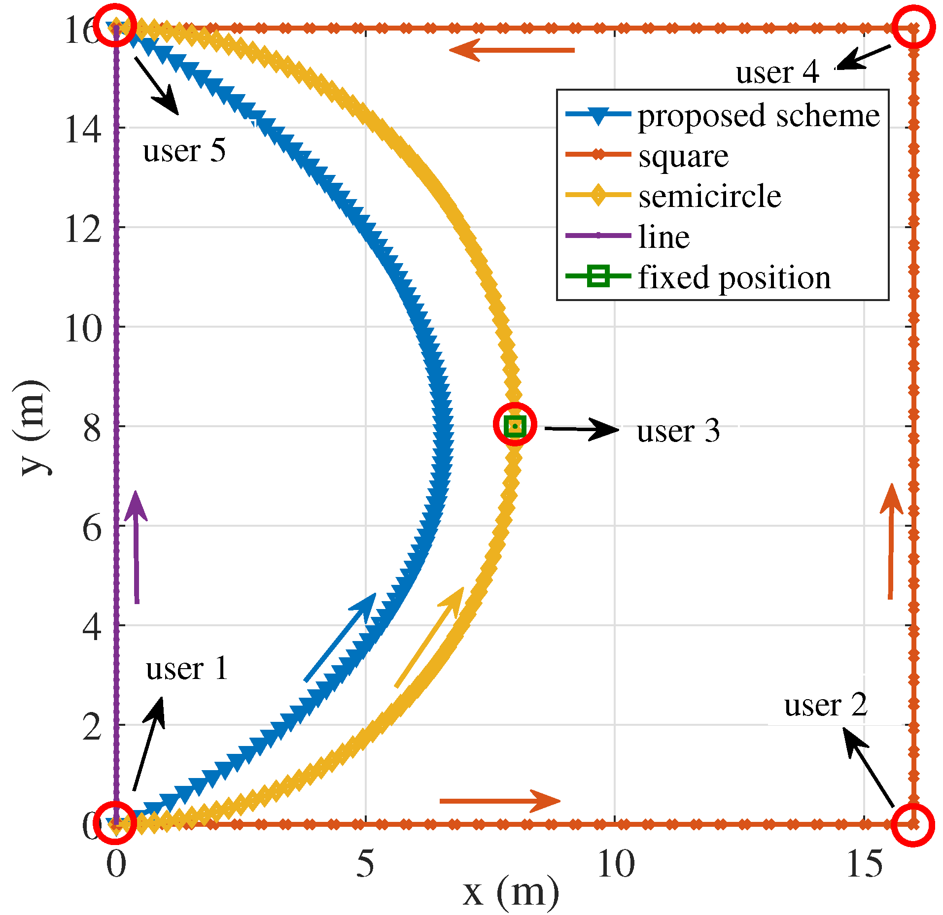
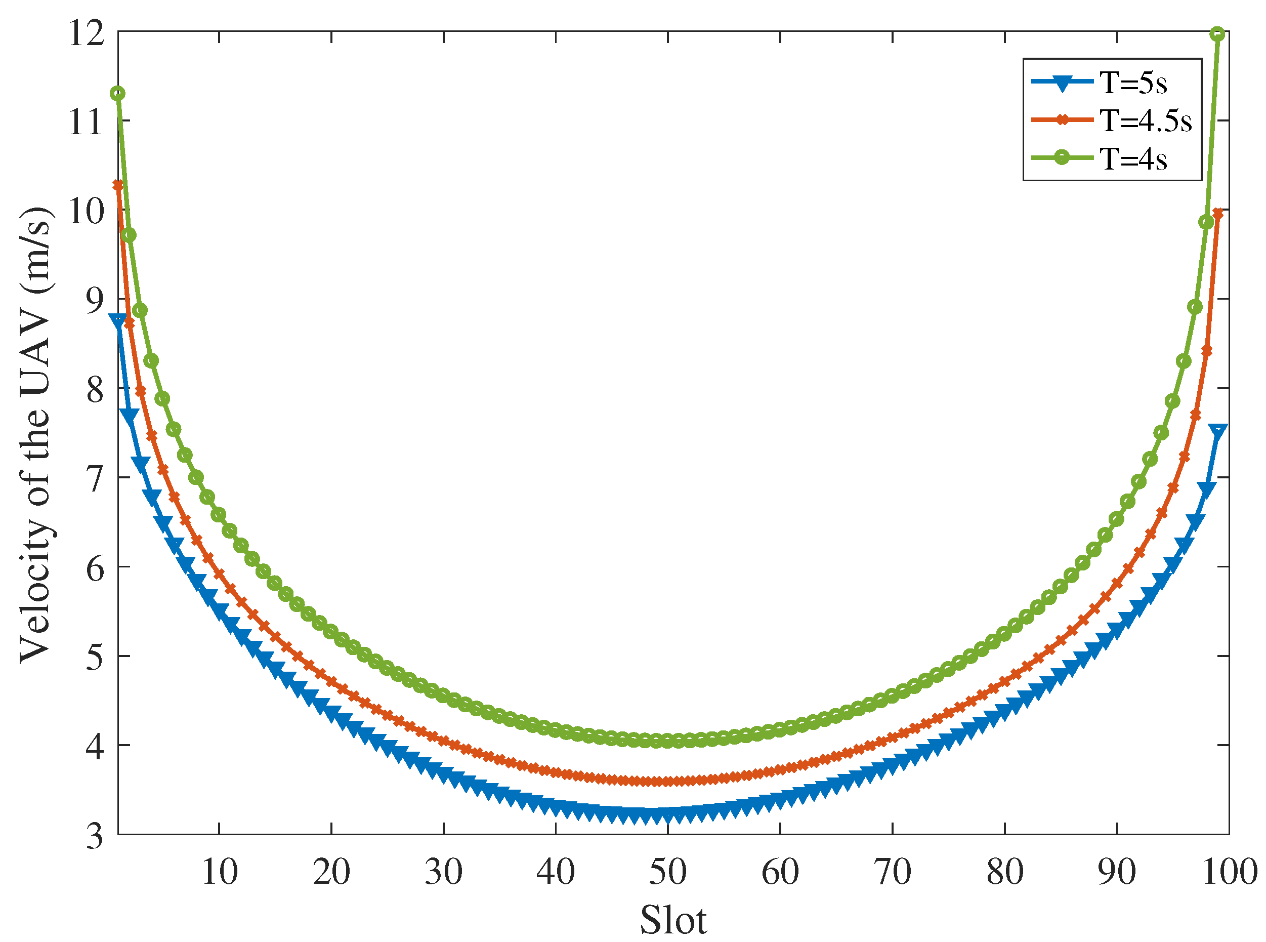
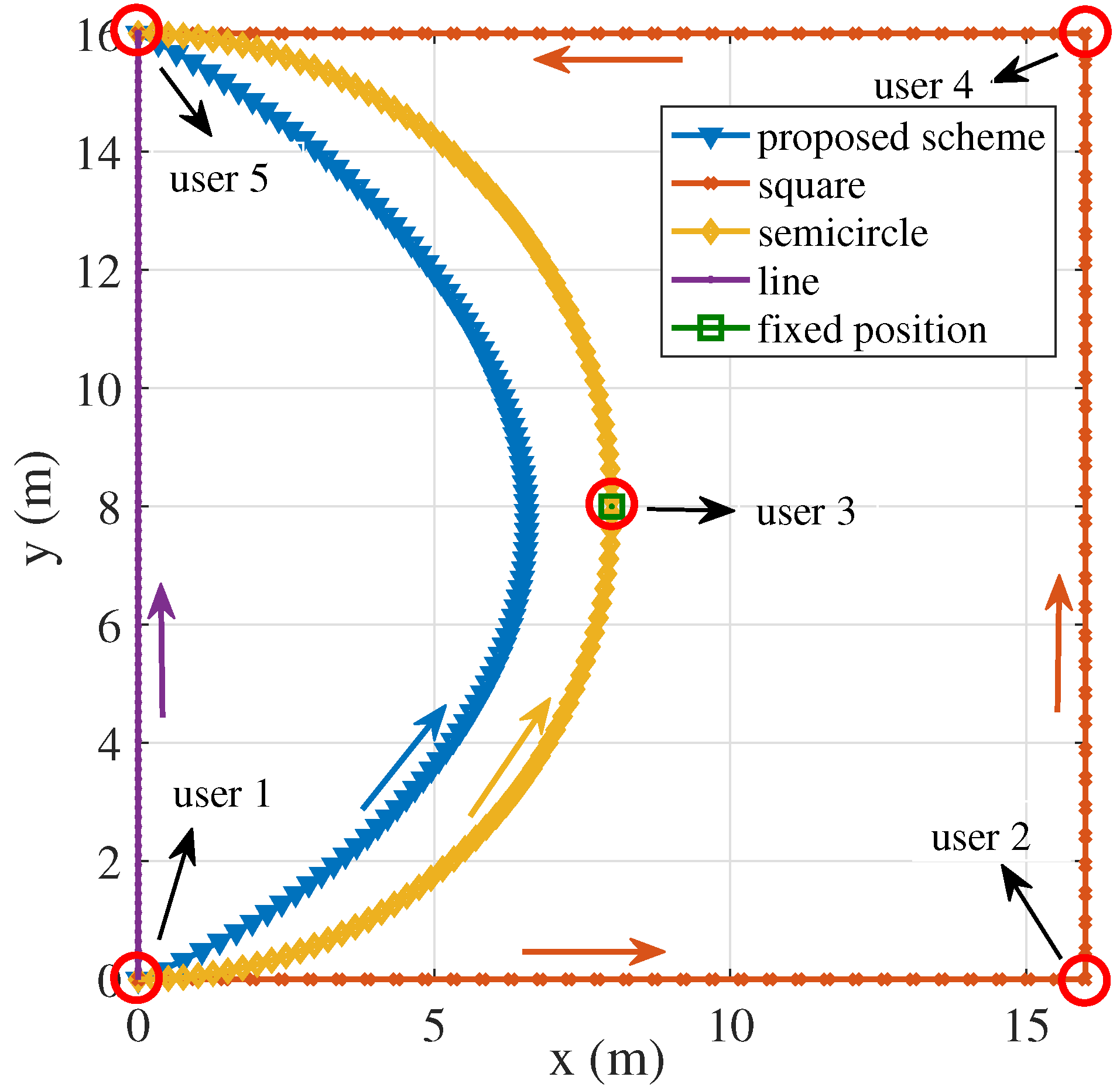
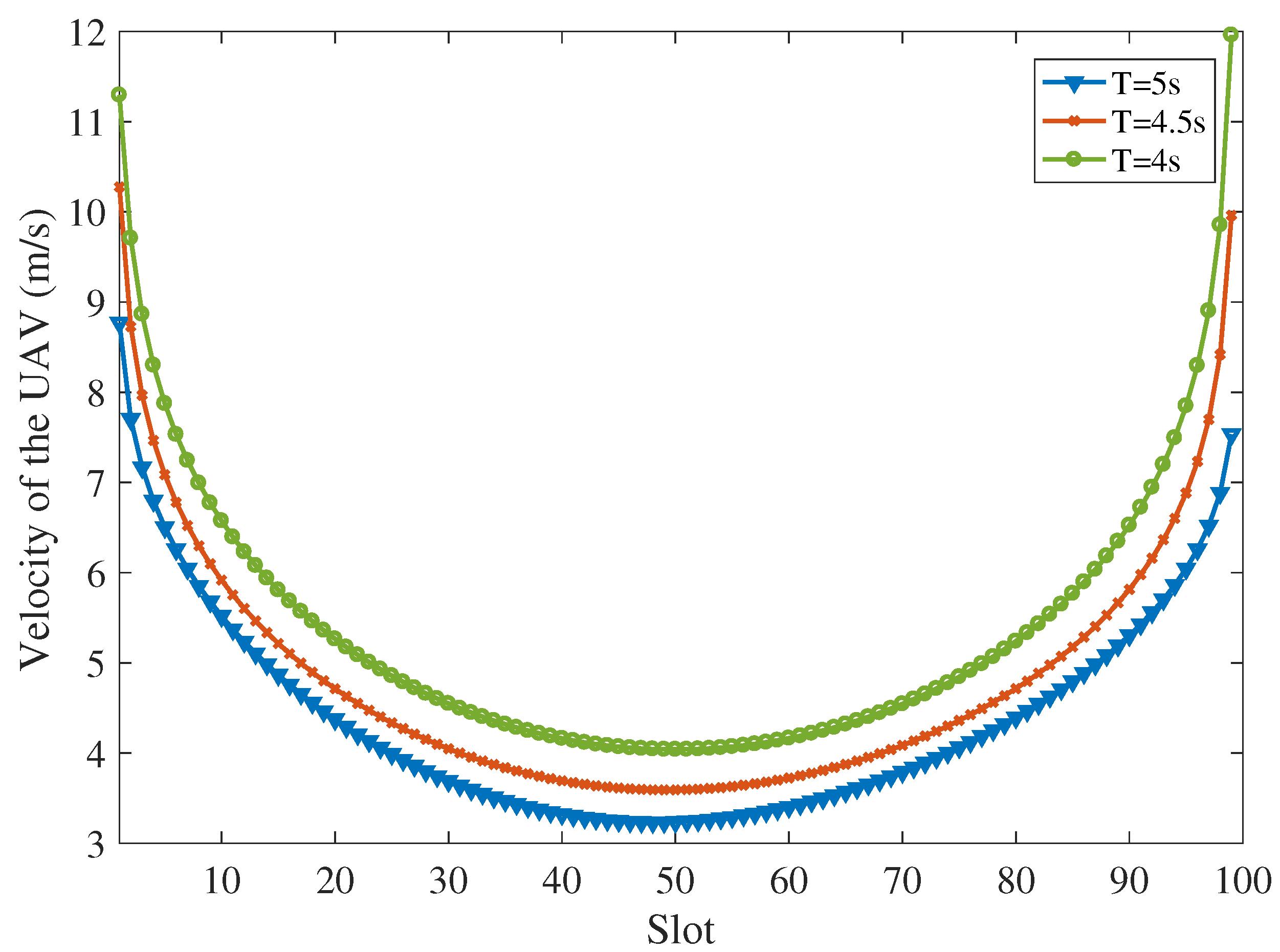
4. Simulation Results
5. Conclusions
Author Contributions
Funding
Conflicts of Interest
Appendix A. Proof of Theorem 1
References
- Zhu, T.; Shi, T.; Li, J.; Cai, Z.; Zhou, X. Task Scheduling in Deadline-Aware Mobile Edge Computing Systems. IEEE Internet Things J. 2019. [Google Scholar] [CrossRef]
- Mach, P.; Becvar, Z. Mobile Edge Computing: A Survey on Architecture and Computation Offloading. IEEE Commun. Surv. Tutor. 2017, 19, 1628–1656. [Google Scholar] [CrossRef]
- Abbas, N.; Zhang, Y.; Taherkordi, A.; Skeie, T. Mobile Edge Computing: A Survey. IEEE Internet Things J. 2018, 5, 450–465. [Google Scholar] [CrossRef]
- Zhang, K.; Mao, Y.; Leng, S.; Zhao, Q.; Li, L.; Peng, X.; Pan, L.; Maharjan, S.; Zhang, Y. Energy-Efficient Offloading for Mobile Edge Computing in 5G Heterogeneous Networks. IEEE Access 2016, 4, 5896–5907. [Google Scholar] [CrossRef]
- Zeng, Y.; Zhang, R.; Lim, T.J. Wireless communications with unmanned aerial vehicles: Opportunities and challenges. IEEE Commun. Mag. 2016, 54, 36–42. [Google Scholar] [CrossRef]
- Li, B.; Fei, Z.; Zhang, Y. UAV Communications for 5G and Beyond: Recent Advances and Future Trends. IEEE Internet Things J. 2019, 6, 2241–2263. [Google Scholar] [CrossRef]
- Hossein Motlagh, N.; Taleb, T.; Arouk, O. Low-Altitude Unmanned Aerial Vehicles-Based Internet of Things Services: Comprehensive Survey and Future Perspectives. IEEE Internet Things J. 2016, 3, 899–922. [Google Scholar] [CrossRef]
- Sekander, S.; Tabassum, H.; Hossain, E. Multi-Tier Drone Architecture for 5G/B5G Cellular Networks: Challenges, Trends, and Prospects. IEEE Commun. Mag. 2018, 56, 96–103. [Google Scholar] [CrossRef]
- Xu, X.; Zeng, Y.; Guan, Y.L.; Zhang, R. Overcoming Endurance Issue: UAV-Enabled Communications With Proactive Caching. IEEE J. Sel. Areas Commun. 2018, 36, 1231–1244. [Google Scholar] [CrossRef]
- Mao, Y.; Zhang, J.; Letaief, K.B. Dynamic Computation Offloading for Mobile-Edge Computing With Energy Harvesting Devices. IEEE J. Sel. Areas Commun. 2016, 34, 3590–3605. [Google Scholar] [CrossRef]
- Mozaffari, M.; Saad, W.; Bennis, M.; Debbah, M. Mobile Unmanned Aerial Vehicles (UAVs) for Energy-Efficient Internet of Things Communications. IEEE Trans. Wirel. Commun. 2017, 16, 7574–7589. [Google Scholar] [CrossRef]
- Satyanarayanan, M.; Bahl, P.; Caceres, R.; Davies, N. The Case for VM-Based Cloudlets in Mobile Computing. IEEE Pervasive Comput. 2009, 8, 14–23. [Google Scholar] [CrossRef]
- Zhang, S.; Zeng, Y.; Zhang, R. Cellular-Enabled UAV Communication: A Connectivity-Constrained Trajectory Optimization Perspective. IEEE Trans. Commun. 2019, 67, 2580–2604. [Google Scholar] [CrossRef]
- Al-Hourani, A.; Kandeepan, S.; Lardner, S. Optimal LAP Altitude for Maximum Coverage. IEEE Wirel. Commun. Lett. 2014, 3, 569–572. [Google Scholar] [CrossRef]
- Alzenad, M.; El-Keyi, A.; Lagum, F.; Yanikomeroglu, H. 3-D Placement of an Unmanned Aerial Vehicle Base Station (UAV-BS) for Energy-Efficient Maximal Coverage. IEEE Wirel. Commun. Lett. 2017, 6, 434–437. [Google Scholar] [CrossRef]
- Alzenad, M.; El-Keyi, A.; Yanikomeroglu, H. 3-D Placement of an Unmanned Aerial Vehicle Base Station for Maximum Coverage of Users With Different QoS Requirements. IEEE Wirel. Commun. Lett. 2018, 7, 38–41. [Google Scholar] [CrossRef]
- Zeng, Y.; Zhang, R. Energy-Efficient UAV Communication With Trajectory Optimization. IEEE Trans. Wirel. Commun. 2017, 16, 3747–3760. [Google Scholar] [CrossRef]
- Sikeridis, D.; EleniTsiropoulou, E.; Devetsikiotis, M.; Papavassiliou, S. Self-Adaptive Energy Efficient Operation in UAV-Assisted Public Safety Networks. In Proceedings of the 2018 IEEE 19th International Workshop on Signal Processing Advances in Wireless Communications (SPAWC), Kalamata, Greece, 25–28 June 2018; pp. 1–5. [Google Scholar] [CrossRef]
- Sikeridis, D.; Tsiropoulou, E.E.; Devetsikiotis, M.; Papavassiliou, S. Wireless powered Public Safety IoT: A UAV-assisted adaptive-learning approach towards energy efficiency. J. Netw. Comput. Appl. 2018, 123, 69–79. [Google Scholar] [CrossRef]
- Athukoralage, D.; Guvenc, I.; Saad, W.; Bennis, M. Regret Based Learning for UAV Assisted LTE-U/WiFi Public Safety Networks. In Proceedings of the 2016 IEEE Global Communications Conference (GLOBECOM), Washington, DC, USA, 4–8 December 2016; pp. 1–7. [Google Scholar] [CrossRef]
- Mozaffari, M.; Saad, W.; Bennis, M.; Debbah, M. Unmanned Aerial Vehicle With Underlaid Device-to-Device Communications: Performance and Tradeoffs. IEEE Trans. Wirel. Commun. 2016, 15, 3949–3963. [Google Scholar] [CrossRef]
- Hu, Q.; Cai, Y.; Yu, G.; Qin, Z.; Zhao, M.; Li, G.Y. Joint Offloading and Trajectory Design for UAV-Enabled Mobile Edge Computing Systems. IEEE Internet Things J. 2019, 6, 1879–1892. [Google Scholar] [CrossRef]
- Jeong, S.; Simeone, O.; Kang, J. Mobile Edge Computing via a UAV-Mounted Cloudlet: Optimization of Bit Allocation and Path Planning. IEEE Trans. Veh. Technol. 2018, 67, 2049–2063. [Google Scholar] [CrossRef]
- Hu, X.; Wong, K.K.; Yang, K.; Zheng, Z. UAV-Assisted Relaying and Edge Computing: Scheduling and Trajectory Optimization. arXiv 2018, arXiv:1812.02658. [Google Scholar] [CrossRef]
- Zhou, F.; Wu, Y.; Sun, H.; Chu, Z. UAV-Enabled Mobile Edge Computing: Offloading Optimization and Trajectory Design. In Proceedings of the 2018 IEEE International Conference on Communications (ICC), Kansas City, MO, USA, 20–24 May 2018; pp. 1–6. [Google Scholar] [CrossRef]
- Zhou, F.; Wu, Y.; Hu, R.Q.; Qian, Y. Computation Rate Maximization in UAV-Enabled Wireless-Powered Mobile-Edge Computing Systems. IEEE J. Sel. Areas Commun. 2018, 36, 1927–1941. [Google Scholar] [CrossRef]
- Mao, Y.; You, C.; Zhang, J.; Huang, K.; Letaief, K.B. A Survey on Mobile Edge Computing: The Communication Perspective. IEEE Commun. Surv. Tutor. 2017, 19, 2322–2358. [Google Scholar] [CrossRef]
- Xie, L.; Xu, J.; Zhang, R. Throughput Maximization for UAV-Enabled Wireless Powered Communication Networks. IEEE Internet Things J. 2019, 6, 1690–1703. [Google Scholar] [CrossRef]
- Lyu, J.; Zeng, Y.; Zhang, R. UAV-Aided Offloading for Cellular Hotspot. IEEE Trans. Wirel. Commun. 2018, 17, 3988–4001. [Google Scholar] [CrossRef]
- Zeng, Y.; Xu, X.; Zhang, R. Trajectory Design for Completion Time Minimization in UAV-Enabled Multicasting. IEEE Trans. Wirel. Commun. 2018, 17, 2233–2246. [Google Scholar] [CrossRef]
- Goldsmith, A. Wireless Communications; Cambridge University Press: Cambridge, UK, 2005. [Google Scholar]
- Zhang, W.; Wen, Y.; Guan, K.; Kilper, D.; Luo, H.; Wu, D.O. Energy-Optimal Mobile Cloud Computing under Stochastic Wireless Channel. IEEE Trans. Wirel. Commun. 2013, 12, 4569–4581. [Google Scholar] [CrossRef]
- Dao, N.; Vu, D.; Na, W.; Kim, J.; Cho, S. SGCO: Stabilized Green Crosshaul Orchestration for Dense IoT Offloading Services. IEEE J. Sel. Areas Commun. 2018, 36, 2538–2548. [Google Scholar] [CrossRef]
- Xue, N. Design and Optimization of Lithium-Ion Batteries for Electric-Vehicle Applications. 2014. Available online: http://hdl.handle.net/2027.42/107299 (accessed on 15 October 2019).
- Borst, C.; Sjer, F.; Mulder, M.; Van Paassen, M.; Mulder, J. Ecological approach to support pilot terrain awareness after total engine failure. J. Aircr. 2008, 45, 159–171. [Google Scholar] [CrossRef]
- Chakrabarty, A.; Langelaan, J. Energy maps for long-range path planning for small-and micro-UAVs. In Proceedings of the AIAA Guidance, Navigation, and Control Conference, Chicago, IL, USA, 13 August 2009; p. 6113. [Google Scholar]
- Chakrabarty, A.; Langelaan, J.W. Energy-based long-range path planning for soaring-capable unmanned aerial vehicles. J. Guid. Control. Dyn. 2011, 34, 1002–1015. [Google Scholar] [CrossRef]
- Stephen, B.; Vandenberghe, L. Convex Optimization; Cambridge University Press: Cambridge, UK, 2004. [Google Scholar]
- Boyd, S.; Xiao, L.; Mutapcic, A. Subgradient methods. Lecture Notes of EE392o, Stanford University, Autumn Quarter 2003, 2004, 2004–2005. [Google Scholar]
- Grant, M.; Boyd, S. CVX: Matlab Software for Disciplined Convex Programming, Version 2.1. Available online: http://cvxr.com/cvx (accessed on 15 October 2019).
- Bubeck, S. Convex optimization: Algorithms and complexity. Found. Trends® Mach. Learn. 2015, 8, 231–357. [Google Scholar] [CrossRef]
- Scutari, G.; Facchinei, F.; Lampariello, L. Parallel and Distributed Methods for Constrained Nonconvex Optimization—Part I: Theory. IEEE Trans. Signal Process. 2017, 65, 1929–1944. [Google Scholar] [CrossRef]
- Scutari, G.; Facchinei, F.; Lampariello, L.; Sardellitti, S.; Song, P. Parallel and Distributed Methods for Constrained Nonconvex Optimization-Part II: Applications in Communications and Machine Learning. IEEE Trans. Signal Process. 2017, 65, 1945–1960. [Google Scholar] [CrossRef]











| Symbol | Description |
|---|---|
| The set of ground users, | |
| K | Number of ground users |
| The notation of user k’s task | |
| Task input-data size of user k | |
| Task deadline of user k | |
| Number of CPU cycles needed to compute one input bit of user k | |
| Ratio of the number of output bits to the number of input bits for user k | |
| T | Time constraint of the tasks |
| N | Number of time slots of T |
| Time duration of one slot | |
| Time duration of one sub-slot | |
| Location of user k | |
| Location of the UAV in nth slot | |
| Velocity of the UAV in nth slot | |
| Maximal velocity of the UAV | |
| h | Variable of the UAV’ altitude |
| H | Fixed altitude of the UAV |
| B | Communication bandwidth |
| Noise power at the receiver | |
| Channel power gain at reference distance 1m | |
| Channel gain from the ground user k to the UAV in nth slot | |
| Number of uploading bits of user k in nth slot | |
| Number of computing bits of the UAV for user k in nth slot | |
| Number of downloading bits from the UAV to user k in nth slot | |
| Frequency of the UAV’s CPU in the nth slot for computing the tasks of user k | |
| Frequency of the UAV’s CPU in the nth slot | |
| Computation energy consumption of the UAV for ground user k in the nth slot | |
| Effective switched capacitance of the UAV’s CPU | |
| Coefficient of the flying energy consumption () | |
| E | Total energy consumption of the UAV-enabled MEC system |
| Energy consumption of K ground users | |
| Energy consumption of the UAV | |
| Communication energy consumption for uploading data of the ground users | |
| Computing energy consumption of the UAV | |
| Flying energy consumption of the UAV | |
| Energy consumption of downloading the results from the UAV to ground users | |
| , , | Optimal number of , and under the given trajectory of the UAV |
| , , , , , | Dual variables according to the constraints (21b)–(21k) |
| , , , , , | Dual variables at the jth iteration in the subgradient method |
| , , , , , | jth step size computed in subgradient algorithm |
| , , , , , | Subgradients calculated by (25a)–(25f) |
| Parameter | Description | Value |
|---|---|---|
| Number of CPU cycles needed to compute one input bit of user k | 1500 cycles/bit | |
| Ratio of the number of output bits to the number of input bits for user k | 0.5 | |
| K | Number of ground users | 5 |
| N | Number of time slots of T | 100 |
| Maximal velocity of the UAV | 15 m/s | |
| H | Altitude of the UAV | 10 m |
| B | Communication bandwidth | 40 Mhz |
| Noise power at the receiver | W | |
| Channel gain from the ground user k in nth slot | dB | |
| Effective switched capacitance of the UAV’s CPU | ||
| Coefficient of the flying energy consumption () | ||
| E | Total energy consumption of energy consumption of the UAV-enabled MEC system | |
| , | tolerant thresholds of the iterations |
| (N,K) | (25,2) | (50,2) | (75,2) | (25,4) | (50,4) | (75,4) | (25,6) | (50,6) | (75,6) |
|---|---|---|---|---|---|---|---|---|---|
| Algorithm 1 | 23.56 s | 41.31 s | 108.42 s | 25.48 s | 81.09 s | 203.32 s | 71.73 s | 132.18 s | 315.42 s |
© 2019 by the authors. Licensee MDPI, Basel, Switzerland. This article is an open access article distributed under the terms and conditions of the Creative Commons Attribution (CC BY) license (http://creativecommons.org/licenses/by/4.0/).
Share and Cite
Li, L.; Wen, X.; Lu, Z.; Pan, Q.; Jing, W.; Hu, Z. Energy-Efficient UAV-Enabled MEC System: Bits Allocation Optimization and Trajectory Design. Sensors 2019, 19, 4521. https://doi.org/10.3390/s19204521
Li L, Wen X, Lu Z, Pan Q, Jing W, Hu Z. Energy-Efficient UAV-Enabled MEC System: Bits Allocation Optimization and Trajectory Design. Sensors. 2019; 19(20):4521. https://doi.org/10.3390/s19204521
Chicago/Turabian StyleLi, Linpei, Xiangming Wen, Zhaoming Lu, Qi Pan, Wenpeng Jing, and Zhiqun Hu. 2019. "Energy-Efficient UAV-Enabled MEC System: Bits Allocation Optimization and Trajectory Design" Sensors 19, no. 20: 4521. https://doi.org/10.3390/s19204521
APA StyleLi, L., Wen, X., Lu, Z., Pan, Q., Jing, W., & Hu, Z. (2019). Energy-Efficient UAV-Enabled MEC System: Bits Allocation Optimization and Trajectory Design. Sensors, 19(20), 4521. https://doi.org/10.3390/s19204521

