UWB/Binocular VO Fusion Algorithm Based on Adaptive Kalman Filter
Abstract
1. Introduction
2. Related Work
3. UWB (Ultra-Wideband) Positioning System
3.1. UWB Ranging Principle
3.2. UWB Positioning Principle
4. Visual Odometer (VO)
4.1. Binocular Camera Depth Calculation Principle
- (1)
- Camera focal length f and camera baseline b. These two parameters can generally be obtained by camera calibration.
- (2)
- Disparity d, the corresponding relationship between the imaging points x and y of the left and right cameras in the space is the core problem of the binocular visual odometer.
4.2. Pose Estimation
- (1)
- Perform feature point detection on the left and right images;
- (2)
- Stereo matching the feature points;
- (3)
- Triangulation method to restore depth.
- (4)
- New left and right image sequence:
- (5)
- Perform feature point detection and matching on the new left and right images, and calculate the depth by using the triangulation method;
- (6)
- Feature matching of images of the previous frame and the current frame;
- (7)
- The pose is solved using the calibrated camera parameters based on the calculated depth and the already matched feature points.
5. Data Fusion Strategy
5.1. System Structure Design
5.2. Filtering Algorithm Model
6. Experimental Study and Analysis of Results
6.1. Hardware Setup
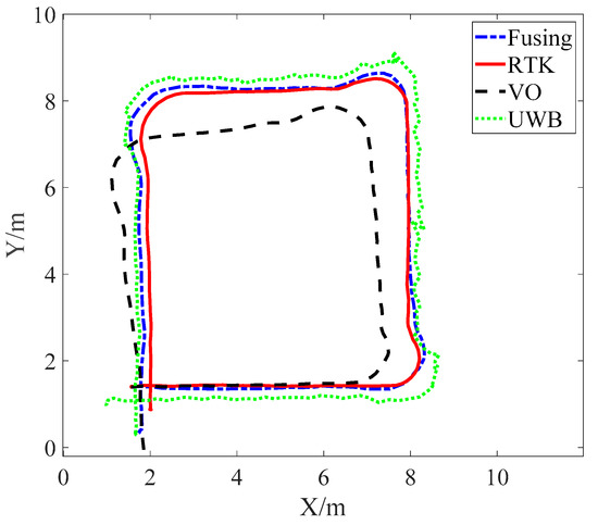
6.2. Analysis of Results
7. Conclusions
Author Contributions
Funding
Conflicts of Interest
References
- Kushleyev, A.; Mellinger, D.; Powers, C.; Kumar, V. Towards a swarm of agile micro quadrotors. Auton. Robot. 2013, 35, 287–300. [Google Scholar] [CrossRef]
- Zampella, F.; De Angelis, A.; Skog, I.; Zachariah, D.; Jimenez, A. A Constraint Approach for UWB and PDR Fusion. In Proceedings of the 2012 International Conference on Indoor Positioning and Indoor Navigation, Sydney, Australia, 13–15 November 2012. [Google Scholar]
- Tardif, J.P.; George, M.; Laverne, M.; Kelly, A.; Stentz, A. A New Approach to Vision-Aided Inertial Navigation. In Proceedings of the IEEE/RSJ International Conference on Intelligent Robots & Systems, Taipei, Taiwan, 18–22 October 2010. [Google Scholar]
- Sanpechuda, T.; Kovavisaruch, L. A Review of RFID Localization: Applications and Techniques. In Proceedings of the International Conference on Electrical Engineering/Electronics, Krabi, Thailand, 14–17 May 2008. [Google Scholar]
- Polo, A.; Viani, F.; Giarola, E.; Oliveri, G.; Rocca, P.; Massa, A. Semantic Wireless Localization Enabling Advanced Services in Museums. In Proceedings of the 8th European Conference on Antennas and Propagation (EuCAP 2014), The Hague, The Netherlands, 6–11 April 2014; pp. 443–446. [Google Scholar]
- Watthanawisuth, N.; Tuantranont, A.; Kerdcharoen, T. Design of Mobile Robot for Real World Application in Path Planning Using ZigBee Localization. In Proceedings of the 14th International Conference on Control, Automation and Systems, Seoul, Korea, 22–25 October 2014. [Google Scholar]
- Yamano, K.; Tanaka, K.; Hirayama, M.; Kondo, E.; Kimuro, Y.; Matsumoto, M. Self-Localization of Mobile Robots with RFID System by Using Support Vector Machine. In Proceedings of the IEEE/RSJ International Conference on Intelligent Robots & Systems, Sendai, Japan, 28 September–2 October 2004. [Google Scholar]
- Park, W.C.; Yoon, M.H. The Implementation of Indoor Location System to Control ZigBee Home Network. In Proceedings of the SICE-ICASE International Joint Conference, Busan, Korea, 18–21 October 2006. [Google Scholar]
- Alarifi, A.; Al-Salman, A.; Alsaleh, M.; Alnafessah, A.; Al-Hadhrami, S.; Al-Ammar, M.A.; Al-Khalifa, H.S. Ultra Wideband Indoor Positioning Technologies: Analysis and Recent Advances. Sensors 2016, 16, 707. [Google Scholar] [CrossRef] [PubMed]
- Wang, J.; Gao, Y.; Li, Z.; Meng, X.; Hancock, C. A Tightly-Coupled GPS/INS/UWB Cooperative Positioning Sensors System Supported by V2I Communication. Sensors 2016, 16, 944. [Google Scholar] [CrossRef] [PubMed]
- Bastida Castillo, A.; Gómez Carmona, C.D.; De la cruz sánchez, E.; Pino Ortega, J. Accuracy, intra- and inter-unit reliability, and comparison between GPS and UWB-based position-tracking systems used for time–motion analyses in soccer. Eur. J. Sport Sci. 2018, 18, 450–457. [Google Scholar] [CrossRef] [PubMed]
- Bastida-Castillo, A.; Gómez-Carmona, C.D.; De La Cruz Sánchez, E.; Pino-Ortega, J. Comparing accuracy between global positioning systems and ultra-wideband-based position tracking systems used for tactical analyses in soccer. Eur. J. Sport Sci. 2019, 19, 1157–1165. [Google Scholar] [CrossRef] [PubMed]
- Bastida-Castillo, A.; Gómez-Carmona, C.D.; De La Cruz-Sánchez, E.; Reche-Royo, X.; Ibáñez, S.J.; Ortega, J.P. Accuracy and Inter-Unit Reliability of Ultra-Wide-Band Tracking System in Indoor Exercise. Appl. Sci. 2019, 9, 939. [Google Scholar] [CrossRef]
- Dardari, D.; Decarli, N.; Guerra, A.; Al-Rimawi, A.; Puchades, V.M.; Prati, G.; De Angelis, M.; Fraboni, F.; Pietrantoni, L. High-Accuracy Tracking Using Ultrawideband Signals for Enhanced Safety of Cyclists. Mob. Inf. Syst. 2017, 2017, 8149348. [Google Scholar] [CrossRef]
- Hol, J.D.; Dijkstra, F.; Luinge, H.; Schon, T.B. Tightly Coupled UWB/IMU Pose Estimation. In Proceedings of the IEEE International Conference on Ultra-Wideband (ICUWB), Vancouver, BC, Canada, 9–11 September 2009; pp. 688–692. [Google Scholar]
- Li, J.; Bi, Y.; Li, K.; Wang, K.; Lin, F.; Chen, B.M. Accurate 3D Localization for MAV Swarms by UWB and IMU Fusion. In Proceedings of the IEEE 14th International Conference on Control and Automation (ICCA), Anchorage, AK, USA, 12–15 June 2018. [Google Scholar]
- Benini, A.; Mancini, A.; Marinelli, A.; Longhi, S. A Biased Extended Kalman Filter for Indoor Localization of a Mobile Agent using Low-Cost IMU and UWB Wireless Sensor Network. IFAC Proc. Vol. 2012, 45, 735–740. [Google Scholar] [CrossRef]
- Yao, L.; Wu, Y.W.; Yao, L.; Liao, Z.Z. An Integrated IMU and UWB Sensor Based Indoor Positioning System. In Proceedings of the International Conference on Indoor Positioning & Indoor Navigation, Sapporo, Japan, 18–21 September 2017. [Google Scholar]
- Hoeller, D.; Ledergerber, A.; Hamer, M.; D’Andrea, R. Augmenting Ultra-Wideband Localization with Computer Vision for Accurate Flight. IFAC PapersOnLine 2017, 50, 12734–12740. [Google Scholar] [CrossRef]
- Tiemann, J.; Ramsey, A.; Wietfeld, C. Enhanced UAV Indoor Navigation through SLAM-Augmented UWB Localization. In Proceedings of the IEEE International Conference on Communications Workshops (ICC Workshops), Kansas City, MO, USA, 20–24 May 2018. [Google Scholar]
- Benini, A.; Mancini, A.; Longhi, S. An IMU/UWB/Vision-based Extended Kalman Filter for Mini-UAV Localization in Indoor Environment using 802.15.4a Wireless Sensor Network. J. Intell. Robot. Syst. 2013, 70, 461–476. [Google Scholar] [CrossRef]
- Fraundorfer, F.; Heng, L.; Honegger, D.; Lee, G.H.; Meier, L.; Tanskanen, P.; Pollefeys, M. Vision-Based Autonomous Mapping and Exploration Using a Quadrotor MAV. In Proceedings of the IEEE/RSJ International Conference on Intelligent Robots & Systems, Vilamoura, Portugal, 7–12 October 2012. [Google Scholar]
- Dong, F.; Shen, C.; Zhang, J.; Zhou, S. A TOF and Kalman Filtering Joint Algorithm for IEEE802.15.4a UWB Locating. In Proceedings of the IEEE Information Technology, Networking, Electronic and Automation Control Conference, Chongqing, China, 20–22 May 2016; pp. 948–951. [Google Scholar]
- Cheung, K.W.; So, H.C.; Ma, W.K.; Chan, Y.T. Least squares algorithms for time-of-arrival-based mobile location. IEEE Trans. Signal Process. 2004, 52, 1121–1128. [Google Scholar] [CrossRef]
- Scaramuzza, D.; Fraundofer, F. Visual Odometry Part I: The First 30 Years and Fundamentals. IEEE Robot. Autom. Mag. 2011, 18, 80–92. [Google Scholar] [CrossRef]
- Rublee, E.; Rabaud, V.; Konolige, K.; Bradski, G.R. ORB: An Efficient Alternative to SIFT or SURF. In Proceedings of the International Conference on Computer Vision, Barcelona, Spain, 6–13 November 2011. [Google Scholar]
- Muja, M.; Lowe, D.G. Fast Approximate Nearest Neighbors with Automatic Algorithm Configuration. In Proceedings of the International Conference on Computer Vision Theory and Applications, Lisboa, Portugal, 5–8 February 2019; pp. 331–340. [Google Scholar]
- Sczyslo, S.; Schroeder, J.; Galler, S.; Kaiser, T. Hybrid Localization Using UWB and Inertial Sensors. In Proceedings of the IEEE International Conference on Ultra-Wideband, Hannover, Germany, 10–12 September 2008. [Google Scholar]
- De Angelis, A.; Nilsson, J.; Skog, I.; Händel, P.; Carbone, P. Indoor Positioning by Ultrawide Band Radio Aided Inertial Navigation. Metrol. Meas. Syst. 2010, 17, 447–460. [Google Scholar] [CrossRef]
- Quigley, M.; Conley, K.; Gerkey, B.; Faust, J.; Foote, T.; Leibs, J.; Wheeler, R.; Ng, A.Y. ROS: An Open-Source Robot Operating System. In Proceedings of the ICRA Workshop on Open Source Software, Kobe, Japan, 17 May 2009. [Google Scholar]















| X (m) | Y (m) | Z (m) | |
|---|---|---|---|
| Anchor 0 | 0 | 0 | 2.0 |
| Anchor 1 | 11.6 | 0 | 2.0 |
| Anchor 2 | 11.6 | 10.9 | 2.0 |
| Anchor 3 | 0′ | 10.9 | 2.5 |
| Position Error (m) | Fusing | UWB Only (Ultra-Wideband) | VO Only (Visual Odometer) |
|---|---|---|---|
| (0, 0.3729) | 70.20% | 58.65% | 23.08% |
| (0.3729, 0.7459) | 5.77% | 18.27% | 40.38% |
| (0.7459, 1.1188) | 5.77% | 8.65% | 2.88% |
| Position Error (m) | Fusing | UWB Only (Ultra-Wideband) | VO Only (Visual Odometer) |
|---|---|---|---|
| (0, 0.2757) | 64.42% | 40.38% | 32.69% |
| (0.2757, 0.5514) | 20.19% | 37.50% | 3.85% |
| (0.5514, 0.8271) | 13.46% | 21.15% | 2.88% |
| Mean Error | Fusing | UWB Only | VO Only |
|---|---|---|---|
| X (m) | 0.3993 | 0.4752 | 0.9405 |
| Y (m) | 0.2769 | 0.3786 | 0.9357 |
© 2019 by the authors. Licensee MDPI, Basel, Switzerland. This article is an open access article distributed under the terms and conditions of the Creative Commons Attribution (CC BY) license (http://creativecommons.org/licenses/by/4.0/).
Share and Cite
Zeng, Q.; Liu, D.; Lv, C. UWB/Binocular VO Fusion Algorithm Based on Adaptive Kalman Filter. Sensors 2019, 19, 4044. https://doi.org/10.3390/s19184044
Zeng Q, Liu D, Lv C. UWB/Binocular VO Fusion Algorithm Based on Adaptive Kalman Filter. Sensors. 2019; 19(18):4044. https://doi.org/10.3390/s19184044
Chicago/Turabian StyleZeng, Qingxi, Dehui Liu, and Chade Lv. 2019. "UWB/Binocular VO Fusion Algorithm Based on Adaptive Kalman Filter" Sensors 19, no. 18: 4044. https://doi.org/10.3390/s19184044
APA StyleZeng, Q., Liu, D., & Lv, C. (2019). UWB/Binocular VO Fusion Algorithm Based on Adaptive Kalman Filter. Sensors, 19(18), 4044. https://doi.org/10.3390/s19184044
