Evaluation of Scintillator Detection Materials for Application within Airborne Environmental Radiation Monitoring
Abstract
1. Introduction
2. Materials and Methods
2.1. Candidate Detector Materials
2.2. Experimental Conditions
3. Results and Discussion
3.1. Detector Thickness
3.2. Air vs. Vacuum Response
3.3. Detector Material
Material Stability of Lanthanide Halides
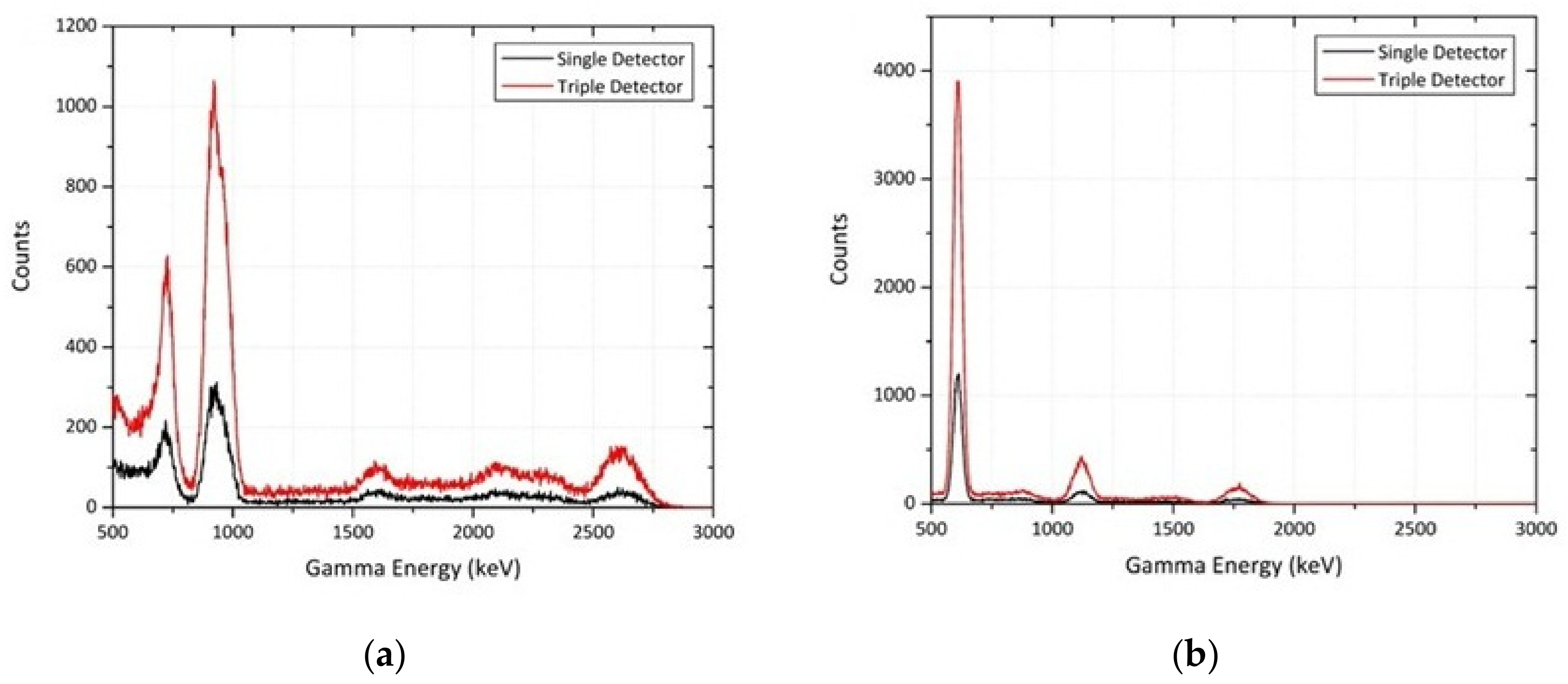
3.4. Detector Number
3.5. Implications for UAV Radiation Mapping
4. Conclusions
Author Contributions
Funding
Conflicts of Interest
References
- Steinhauser, G.; Brandl, A.; Johnson, T.E. Comparison of the Chernobyl and Fukushima nuclear accidents: A review of the environmental impacts. Sci. Total Environ. 2014, 471, 800–817. [Google Scholar] [CrossRef] [PubMed]
- Hu, Q.-H.; Weng, J.-Q.; Wang, J.-S. Sources of anthropogenic radionuclides in the environment: A review. J. Environ. Radioact. 2010, 101, 426–437. [Google Scholar] [CrossRef] [PubMed]
- Lee, W.E.; Ojovan, M.I.; Jantzen, C.M. Radioactive Waste Management and Contaminated Site Clean-Up: Processes, Technologies and International Experience; Woodhead Publishing: Cambridge, UK, 2013; ISBN 9780857094353. [Google Scholar]
- Tyler, A.N.; Sanderson, D.C.W.; Scott, E.M.; Allyson, J.D. Accounting for spatial variability and fields of view in environmental gamma ray spectrometry. J. Environ. Radioact. 1996, 33, 213–235. [Google Scholar] [CrossRef]
- Connor, D.; Martin, P.G.; Scott, T.B. Airborne radiation mapping: Overview and application of current and future aerial systems. Int. J. Remote Sens. 2016, 37, 5953–5987. [Google Scholar] [CrossRef]
- IAEA. Airborne Gamma Ray Spectrometer Surveying; IAEA: Vienna, Austria, 1991. [Google Scholar]
- Minty, B. Fundamentals of airborne gamma-ray spectrometry. AGSO J. Aust. Geol. Geophys. 1997, 17, 39–50. [Google Scholar]
- Schwarz, G.F.; Rybach, L.; Klingele, E.E. Data Processing and Mapping in Airborne Radioactivity Surveys; IAEA TECDOC-827; International Atomic Energy Agency (IAEA): Vienna, Austria, 1995; Volume 8, pp. 61–70. [Google Scholar]
- Pitkin, J.A.; Duval, J.S. Design parameters for aerial gamma-ray surveys. Geophysics 1980, 45, 1427–1439. [Google Scholar] [CrossRef]
- Towler, J.; Krawiec, B.; Kochersberger, K. Radiation Mapping in Post-Disaster Environments Using an Autonomous Helicopter. Remote Sens. 2012, 4, 1995–2015. [Google Scholar] [CrossRef]
- Sanada, Y.; Torii, T. Aerial radiation monitoring around the Fukushima Dai-ichi Nuclear Power Plant using an unmanned helicopter. J. Environ. Radioact. 2015, 139, 294–299. [Google Scholar] [CrossRef]
- Connor, D.T.; Martin, P.G.; Smith, N.T.; Payne, L.; Hutton, C.; Payton, O.D.; Yamashiki, Y.; Scott, T.B. Application of airborne photogrammetry for the visualisation and assessment of contamination migration arising from a Fukushima waste storage facility. Environ. Pollut. 2018, 234, 610–619. [Google Scholar] [CrossRef]
- Connor, D.T.; Martin, P.G.; Pullin, H.; Hallam, K.R.; Payton, O.D.; Yamashiki, Y.; Smith, N.T.; Scott, T.B. Radiological comparison of a FDNPP waste storage site during and after construction. Environ. Pollut. 2018, 243, 582–590. [Google Scholar] [CrossRef]
- Martin, P.G.; Payton, O.D.; Fardoulis, J.S.; Richards, D.A.; Scott, T.B. The use of unmanned aerial systems for the mapping of legacy uranium mines. J. Environ. Radioact. 2015, 143, 135–140. [Google Scholar] [CrossRef] [PubMed]
- MacFarlane, J.W.; Payton, O.D.; Keatley, A.C.; Scott, G.P.T.; Pullin, H.; Crane, R.A.; Smilion, M.; Popescu, I.; Curlea, V.; Scott, T.B. Lightweight aerial vehicles for monitoring, assessment and mapping of radiation anomalies. J. Environ. Radioact. 2014, 136, 127–130. [Google Scholar] [CrossRef] [PubMed]
- Martin, P.G.; Payton, O.D.; Fardoulis, J.S.; Richards, D.A.; Yamashiki, Y.; Scott, T.B. Low altitude unmanned aerial vehicle for characterising remediation effectiveness following the FDNPP accident. J. Environ. Radioact. 2016, 151, 58–63. [Google Scholar] [CrossRef] [PubMed]
- Salek, O.; Matolin, M.; Gryc, L. Mapping of radiation anomalies using UAV mini-airborne gamma-ray spectrometry. J. Environ. Radioact. 2018, 182, 101–107. [Google Scholar] [CrossRef] [PubMed]
- Knoll, G.F. Radiation Detection and Measurement; John Wiley & Sons: Hoboken, NJ, USA, 2010; ISBN 0470131489. [Google Scholar]
- Sodium Iodide (Tl) Scintillator Crystal. Available online: https://www.advatech-uk.co.uk/nai_tl.html (accessed on 11 June 2019).
- CsI(Na)Crystal, CsI(Na) Scintillation Crystal, CsI Crystal; Kinheng Crystal Material (Shanghai)Co., Ltd. Available online: http://www.kinheng-crystal.com/scintillation-crystal/csina-scintillation-crystal-csina-scintillator.html (accessed on 11 June 2019).
- CsI(Tl), CsI(Na) Cesium Iodide Scintillation Material. Available online: www.crystals.saint-gobain.com/sites/imdf.crystals.com/files/documents/csitl-and-na-material-data-sheet.pdf (accessed on 11 June 2019).
- Hilger Crystals—Crystal Material Datasheet Thallium doped Caesium Iodide CsI. Available online: www.dynasil.com//assets/CsITl.pdf (accessed on 11 June 2019).
- CsI(Tl)Crystal, CsI(Tl) Scintillation Crystal, CsI Crystal; Kinheng Crystal Material (Shanghai)Co., Ltd. Available online: http://www.kinheng-crystal.com/scintillation-crystal/csi-tl-scintillator-csi-tl-scintillation-crystal.html (accessed on 11 June 2019).
- Bismuth Germanate Scintillation Material. Available online: www.crystals.saint-gobain.com/sites/imdf.crystals.com/files/documents/bgo-material-data-sheet.pdf (accessed on 11 June 2019).
- BGO and LYSO Crystals; Omega Piezo. Available online: http://www.omegapiezo.com/crystal-scintillators/ (accessed on 11 June 2019).
- Seitz, B.; Campos Rivera, N.; Stewart, A.G. Energy Resolution and Temperature Dependence of Ce:GAGG Coupled to Silicon Photomultipliers. IEEE Trans. Nucl. Sci. 2016, 63, 503–508. [Google Scholar] [CrossRef]
- Kim, H.L.; Kim, H.J.; Jang, E.J.; Lee, W.G.; Ki, M.K.; Kim, H.D.; Jun, G.S.; Kochurikhin, V. Scintillation properties of the Gd3Al2Ga3O12:Ce crystal. J. Ceram. Process. Res. 2015, 16, 124–128. [Google Scholar]
- Rawat, S.; Tyagi, M.; Netrakanti, P.K.; Kashyap, V.K.S.; Mitra, A.; Singh, A.K.; Desai, D.G.; Kumar, G.A.; Gadkari, S.C. Pulse shape discrimination properties of Gd3Ga3Al2O12:Ce, B single crystal in comparison with CsI:Tl. Nucl. Instruments Methods Phys. Res. Sect. A Accel. Spectrometers Detect. Assoc. Equip. 2016, 840, 186–191. [Google Scholar] [CrossRef]
- Kamada, K.; Shimazoe, K.; Ito, S.; Yoshino, M.; Endo, T.; Tsutsumi, K.; Kataoka, J.; Kurosawa, S.; Yokota, Y.; Takahashi, H.; et al. Development of a Prototype Detector Using APD-Arrays Coupled With Pixelized Ce:GAGG Scintillator for High Resolution Radiation Imaging. IEEE Trans. Nucl. Sci. 2014, 61, 348–352. [Google Scholar] [CrossRef]
- Sibczynski, P.; Iwanowska, J.; Moszyński, M.; Swiderski, L.; Szawlowski, M.; Kamada, K.; Yoshikawa, A.; Sato, H. Characterization of new GAGG:Ce scintillators with different Al-to-Ga ratio. In Proceedings of the 2013 IEEE Nuclear Science Symposium and Medical Imaging Conference (2013 NSS/MIC), Seoul, Korea, 27 October–2 November 2013; IEEE: Piscataway, NJ, USA, 2013; pp. 1–4. [Google Scholar]
- PreLudeTM 420 crystal Cerium doped Lutetium|Products|Saint-Gobain Crystals. Available online: https://www.crystals.saint-gobain.com/products/prelude-420-LYSO (accessed on 12 June 2019).
- LYSO:Ce Crystal—LYSO(Ce) Scintillator; Epic Crystal Co., Ltd. Available online: http://www.epic-crystal.com/lysoce/lyso(ce)-scintillator.html (accessed on 12 June 2019).
- BrilLanCeTM 380 crystal Lanthinum Bromide LaBr3(Ce)|Products|Saint-Gobain Crystals. Available online: https://www.crystals.saint-gobain.com/products/standard-and-enhanced-lanthanum-bromide (accessed on 12 June 2019).
- Latest Lanthanum Bromide(LaBr3:Ce) crystal experiment results. Available online: http://www.epic-crystal.com/feature-design/latest-lanthanum-bromide.html (accessed on 12 June 2019).
- Cherepy, N.J.; Payne, S.A.; Asztalos, S.J.; Hull, G.; Kuntz, J.D.; Niedermayr, T.; Pimputkar, S.; Roberts, J.J.; Sanner, R.D.; Tillotson, T.M.; et al. Scintillators with Potential to Supersede Lanthanum Bromide. IEEE Trans. Nucl. Sci. 2009, 56, 873–880. [Google Scholar] [CrossRef]
- Radiation Detection Materials. Available online: http://www.hellma-materials.com/text/989/en/ausblenden/hellma-materials-scintillation-crystals.html (accessed on 12 June 2019).
- Cerium Bromide (CeBr3) Scintillators | Berkeley Nucleonics. Available online: https://www.berkeleynucleonics.com/cerium-bromide (accessed on 12 June 2019).
- Quarati, F.G.A.; Dorenbos, P.; Van Der Biezen, J.; Owens, A.; Selle, M.; Parthier, L.; Schotanus, P. Scintillation and detection characteristics of high-sensitivity CeBr3 gamma-ray spectrometers. Nucl. Instruments Methods Phys. Res. Sect. A Accel. Spectrometers Detect. Assoc. Equip. 2013, 729, 596–604. [Google Scholar] [CrossRef]
- Strontium Iodide (Eu)—SrI2(Eu) Scintillator Crystal. Available online: https://www.advatech-uk.co.uk/sri2_eu.html (accessed on 12 June 2019).
- CapeSym|ScintiClearTM. Available online: http://www.capesym.com/sri2.html (accessed on 12 June 2019).
- Birks, J.B. Theory and Practice of Scintillation Counting, 1st ed.; Pergamon Press: Oxford, UK, 1964. [Google Scholar]
- Agostinelli, S.; Allison, J.; Amako, K.; Apostolakis, J.; Araujo, H.; Arce, P.; Asai, M.; Axen, D.; Banerjee, S.; Barrand, G.; et al. GEANT4—A simulation toolkit. Nucl. Instruments Methods Phys. Res. Sect. A Accel. Spectrometers Detect. Assoc. Equip. 2003, 506, 250–303. [Google Scholar] [CrossRef]
- Menge, P.R.; Gautier, G.; Iltis, A.; Rozsa, C.; Solovyev, V. Performance of large lanthanum bromide scintillators. Nucl. Instruments Methods Phys. Res. Sect. A Accel. Spectrometers Detect. Assoc. Equip. 2007, 579, 6–10. [Google Scholar] [CrossRef]
- Guss, P.; Reed, M.; Yuan, D.; Reed, A.; Mukhopadhyay, S. CeBr3 as a room-temperature, high-resolution gamma-ray detector. Nucl. Instruments Methods Phys. Res. Sect. A Accel. Spectrometers Detect. Assoc. Equip. 2009, 608, 297–304. [Google Scholar] [CrossRef]
- Mioduski, T.; Gumiński, C.; Zeng, D.; Voigt, H. IUPAC-NIST Solubility Data Series. 94. Rare Earth Metal Iodides and Bromides in Water and Aqueous Systems. Part 2. Bromides. J. Phys. Chem. Ref. Data 2013, 42. [Google Scholar] [CrossRef]
- Iltis, A.; Mayhugh, M.R.; Menge, P.; Rozsa, C.M.; Selles, O.; Solovyev, V. Lanthanum halide scintillators: Properties and applications. Nucl. Instruments Methods Phys. Res. Sect. A Accel. Spectrometers Detect. Assoc. Equip. 2006, 563, 359–363. [Google Scholar] [CrossRef]








| Material | Peak Emission (nm) | Light Yield (ph/MeV) | Density (g/cm3) | Attenuation @ 1.5 MeV | Energy Resolution (@ 661.7 keV) | Decay Time (ns) | References |
|---|---|---|---|---|---|---|---|
| NaI(Tl) | 415 | 38,000–55,000 | 3.67 | 114.7 | 7% | 250 | [18,19] |
| CsI(Na) | 420 | 38,000–44,000 | 4.51 | 140.9 | 5.8% | 630 | [18,20,21] |
| CsI(Tl) | 540–550 | 52,000–65,000 | 4.51 | 140.9 | 6.9% | 1000 | [18,21,22,23] |
| BGO | 480 | 8,000–10,000 | 7.13 | 222.8 | 9.7–16% | 300 | [18,24,25] |
| GAGG(Ce) | 520 | 22,000–60,000 | 6.63 | 207.2 | 5.1% | 87 | [26,27,28,29,30] |
| LYSO(Ce) | 420 | 30,000–33,000 | 7.1–7.2 | 225.0 | 8-20% | 45 | [25,31,32] |
| LaBr3 | 380 | 63,000 | 5.08–5.22 | 158.8 | 2.6–3.5% | 16 | [18,33,34,35] |
| CaF2(Eu) | 435 | 19,000–30,000 | 3.19 | 99.7 | 5.4% | 950 | [18,36] |
| CeBr3 | 380–390 | 57,000–66,000 | 5.1–5.2 | 159.4 | 3.8–4% | 18–20 | [36,37,38] |
| SrI2(Eu) | 435 | 80,000–115,000 | 4.55 | 142.2 | 2.8–4% | 1200 | [18,35,36,39,40] |
© 2019 by the authors. Licensee MDPI, Basel, Switzerland. This article is an open access article distributed under the terms and conditions of the Creative Commons Attribution (CC BY) license (http://creativecommons.org/licenses/by/4.0/).
Share and Cite
Lowdon, M.; Martin, P.G.; Hubbard, M.W.J.; Taggart, M.P.; Connor, D.T.; Verbelen, Y.; Sellin, P.J.; Scott, T.B. Evaluation of Scintillator Detection Materials for Application within Airborne Environmental Radiation Monitoring. Sensors 2019, 19, 3828. https://doi.org/10.3390/s19183828
Lowdon M, Martin PG, Hubbard MWJ, Taggart MP, Connor DT, Verbelen Y, Sellin PJ, Scott TB. Evaluation of Scintillator Detection Materials for Application within Airborne Environmental Radiation Monitoring. Sensors. 2019; 19(18):3828. https://doi.org/10.3390/s19183828
Chicago/Turabian StyleLowdon, Matthew, Peter G. Martin, M.W.J. Hubbard, M.P. Taggart, Dean T. Connor, Yannick Verbelen, P.J. Sellin, and Thomas B. Scott. 2019. "Evaluation of Scintillator Detection Materials for Application within Airborne Environmental Radiation Monitoring" Sensors 19, no. 18: 3828. https://doi.org/10.3390/s19183828
APA StyleLowdon, M., Martin, P. G., Hubbard, M. W. J., Taggart, M. P., Connor, D. T., Verbelen, Y., Sellin, P. J., & Scott, T. B. (2019). Evaluation of Scintillator Detection Materials for Application within Airborne Environmental Radiation Monitoring. Sensors, 19(18), 3828. https://doi.org/10.3390/s19183828

