Cost-Effective Reduced Envelope of the Stator Current via Synchronous Sampling for the Diagnosis of Rotor Asymmetries in Induction Machines Working at Very Low Slip
Abstract
1. Introduction
2. The Current Envelope as a Fault Diagnostic Signal for Detecting Rotor Asymmetries in IMs
2.1. Current Envelope Obtained with the Modulus of the Analytic Signal of the Current
2.2. Current Envelope Obtained with the Modulus of the Extended Park’s Vector
2.3. Practical Issues of the Construction Current Envelope Obtained with the Modulus of the AS or with the EPVA
- The harmonic components that a rotor asymmetry fault generates are located in the current envelope spectrum at their true frequency , instead of being displayed as side-bands around the supply component, at frequencies , as can be seen in (17).
- As the frequency of these fault harmonics in (17) is generally very low, especially in the case of large IMs, the region of diagnostic interest of the current envelope spectrum is reduced to a narrow, low frequency band, compared with the diagnostic current spectrum used commonly in MCSA.
- There is no leakage produced by the fundamental component in the current envelope spectrum, because it is transformed into a DC quantity (first term of (17)).
- The AS method implies the computation of the Hilbert transform (8), which involves all the current samples, or the use of a Hilbert filter to generate it on-line.
- The EPVA requires sampling simultaneously three stator currents for obtaining the Park’s vector modulus (PVM) (12) which, at high sampling rates , requires a costly multi-channel simultaneous data acquisition systems, and increases the computing resources by a factor of three, compared to the analysis of a single current signal.
3. Proposed Methodology: Reduced Current Envelope Obtained via Synchronized Sampling of the Current
- Performing the sampling process at a rate equal to twice the fundamental frequency, i.e., is in (19). This is achieved by synchronizing the sampling process with the zero crossings of the current.
- Shifting the sampling process a fixed time delay from the zero crossings of the current.
- Taking the absolute value of the resulting set of samples.
- Instead of using a multi-channel simultaneous data acquisition system for sampling simultaneously the three stator currents at a high fs rate, as in the case of the EPVA, just a low-speed analog-to-digital converter (ADC) is needed for sampling a single phase current.
- The number of current samples that are needed for building the current envelope is reduced from to only in (22), which represents a minimal fraction of the full-length AS or PVM samples.
- The number of operations needed for generating the spectrum of the current envelope is reduced in the same proportion as the reduction in the number of current samples.
Practical Implementation of the Proposed Methodology
- (a)
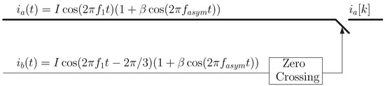
- The zero crossings of the phase current are first detected, and the sampling process is carried on after a fixed delay with respect to these time instants (Figure 1a). This delay can be implemented using a timer delay unit, triggered by the zero-crossing detector.
- (b)
4. Experimental Validation
- Supply
- Direct connection to the mains or connection through one of the two different variable speed drives (VSDs) available in the bench (ABB ACS800-01-0005-3+E200+L503, or Siemens Micromaster 440). Besides, the VSDs can be operated with different control methods, Volts per Hertz (V/Hz) or sensorless vector control (SVC).
- Load
- The motor load can be controlled using a permanent magnet synchronous machine (PMSM) (see Appendix A, motor type II), connected to its shaft, driven by servo driver (ABB ACSM1-04AS-024A-4+L516), which provides an accurate control of the load torque.
5. Implementation on a Low-Cost Embedded System
6. Conclusions
Author Contributions
Funding
Conflicts of Interest
Appendix A. Motors Characteristics
Appendix B. Current Clamp Characteristics
Appendix C. Computing Platform
Appendix D. Esp32 Embedded System
References
- Chang, H.C.; Jheng, Y.M.; Kuo, C.C.; Hsueh, Y.M. Induction Motors Condition Monitoring System with Fault Diagnosis Using a Hybrid Approach. Energies 2019, 12, 1471. [Google Scholar] [CrossRef]
- Artigao, E.; Koukoura, S.; Honrubia-Escribano, A.; Carroll, J.; McDonald, A.; Gómez-Lázaro, E. Current Signature and Vibration Analyses to Diagnose an In-Service Wind Turbine Drive Train. Energies 2018, 11, 960. [Google Scholar] [CrossRef]
- Climente-Alarcon, V.; Antonino-Daviu, J.A.; Strangas, E.G.; Riera-Guasp, M. Rotor-Bar Breakage Mechanism and Prognosis in an Induction Motor. IEEE Trans. Ind. Electron. 2015, 62, 1814–1825. [Google Scholar] [CrossRef]
- Culbert, I.; Letal, J. Signature Analysis for Online Motor Diagnostics: Early Detection of Rotating Machine Problems Prior to Failure. IEEE Ind. Appl. Mag. 2017, 23, 76–81. [Google Scholar] [CrossRef]
- Pandarakone, S.E.; Mizuno, Y.; Nakamura, H. Distinct Fault Analysis of Induction Motor Bearing Using Frequency Spectrum Determination and Support Vector Machine. IEEE Trans. Ind. Appl. 2017, 53, 3049–3056. [Google Scholar] [CrossRef]
- Kang, T.J.; Yang, C.; Park, Y.; Hyun, D.; Lee, S.B.; Teska, M. Electrical Monitoring of Mechanical Defects in Induction Motor-Driven V-Belt–Pulley Speed Reduction Couplings. IEEE Trans. Ind. Appl. 2018, 54, 2255–2264. [Google Scholar] [CrossRef]
- Burriel-Valencia, J.; Puche-Panadero, R.; Martinez-Roman, J.; Sapena-Bano, A.; Pineda-Sanchez, M. Fault Diagnosis of Induction Machines in a Transient Regime Using Current Sensors with an Optimized Slepian Window. Sensors 2018, 18, 146. [Google Scholar] [CrossRef]
- Puche-Panadero, R.; Pineda-Sanchez, M.; Riera-Guasp, M.; Roger-Folch, J.; Hurtado-Perez, E.; Perez-Cruz, J. Improved resolution of the MCSA method via Hilbert transform, enabling the diagnosis of rotor asymmetries at very low slip. IEEE Trans. Energy Convers. 2009, 24, 52–59. [Google Scholar] [CrossRef]
- Mirzaeva, G.; Saad, K.I. Advanced Diagnosis of Stator Turn-to-Turn Faults and Static Eccentricity in Induction Motors Based on Internal Flux Measurement. IEEE Trans. Ind. Appl. 2018, 54, 3961–3970. [Google Scholar] [CrossRef]
- Mirzaeva, G.; Saad, K.I. Advanced Diagnosis of Rotor Faults and Eccentricity in Induction Motors Based on Internal Flux Measurement. IEEE Trans. Ind. Appl. 2018, 54, 2981–2991. [Google Scholar] [CrossRef]
- Pang, B.; Tang, G.; Tian, T.; Zhou, C. Rolling Bearing Fault Diagnosis Based on an Improved HTT Transform. Sensors 2018, 18, 1203. [Google Scholar] [CrossRef] [PubMed]
- Jian, X.; Li, W.; Guo, X.; Wang, R. Fault Diagnosis of Motor Bearings Based on a One-Dimensional Fusion Neural Network. Sensors 2019, 19, 122. [Google Scholar] [CrossRef] [PubMed]
- Yan, X.; Sun, Z.; Zhao, J.; Shi, Z.; Zhang, C.A. Fault Diagnosis of Active Magnetic Bearing Rotor System via Vibration Images. Sensors 2019, 19, 244. [Google Scholar] [CrossRef] [PubMed]
- Martinez, J.; Belahcen, A.; Muetze, A. Analysis of the Vibration Magnitude of an Induction Motor with Different Numbers of Broken Bars. IEEE Trans. Ind. Appl. 2017, 53, 2711–2720. [Google Scholar] [CrossRef]
- Delgado-Arredondo, P.A.; Morinigo-Sotelo, D.; Osornio-Rios, R.A.; Avina-Cervantes, J.G.; Rostro-Gonzalez, H.; de Jesus Romero-Troncoso, R. Methodology for fault detection in induction motors via sound and vibration signals. Mech. Syst. Signal Process. 2017, 83, 568–589. [Google Scholar] [CrossRef]
- Ghanbari, T. Autocorrelation function-based technique for stator turn-fault detection of induction motor. IET Sci. Meas. Technol. 2015, 10, 100–110. [Google Scholar] [CrossRef]
- Abd-el Malek, M.; Abdelsalam, A.K.; Hassan, O.E. Induction motor broken rotor bar fault location detection through envelope analysis of start-up current using Hilbert transform. Mech. Syst. Signal Process. 2017, 93, 332–350. [Google Scholar] [CrossRef]
- Leite, V.C.M.N.; Borges Da Silva, J.G.; Veloso, G.F.C.; Borges Da Silva, L.E.; Lambert-Torres, G.; Bonaldi, E.L.; De Lacerda De Oliveira, L.E. Detection of localized bearing faults in induction machines by spectral kurtosis and envelope analysis of stator current. IEEE Trans. Ind. Electron. 2015, 62, 1855–1865. [Google Scholar] [CrossRef]
- Aydin, I.; Karakose, M.; Akin, E. A new method for early fault detection and diagnosis of broken rotor bars. Energy Convers. Manag. 2011, 52, 1790–1799. [Google Scholar] [CrossRef]
- Duan, J.; Shi, T.; Zhou, H.; Xuan, J.; Zhang, Y. Multiband Envelope Spectra Extraction for Fault Diagnosis of Rolling Element Bearings. Sensors 2018, 18, 1466. [Google Scholar] [CrossRef]
- Wang, J.; Liu, S.; Gao, R.X.; Yan, R. Current envelope analysis for defect identification and diagnosis in induction motors. J. Manuf. Syst. 2012, 31, 380–387. [Google Scholar] [CrossRef]
- Sapena-Bano, A.; Pineda-Sanchez, M.; Puche-Panadero, R.; Martinez-Roman, J.; Kanovic, Z. Low-Cost Diagnosis of Rotor Asymmetries in Induction Machines Working at a Very Low Slip Using the Reduced Envelope of the Stator Current. IEEE Trans. Energy Convers. 2015, 30, 1409–1419. [Google Scholar] [CrossRef]
- Wu, T.Y.; Lai, C.H.; Liu, D.C. Defect diagnostics of roller bearing using instantaneous frequency normalization under fluctuant rotating speed. J. Mech. Sci. Technol. 2016, 30, 1037–1048. [Google Scholar] [CrossRef]
- Cruz, S.M.A.; Marques Cardoso, A.J. Rotor Cage Fault Diagnosis in Three-Phase Induction Motors by Extended Park’s Vector Approach. Electr. Mach. Power Syst. 2000, 28, 289–299. [Google Scholar]
- Henao, H.; Capolino, G.A.; Fernandez-Cabanas, M.; Filippetti, F.; Bruzzese, C.; Strangas, E.; Pusca, R.; Estima, J.; Riera-Guasp, M.; Hedayati-Kia, S. Trends in Fault Diagnosis for Electrical Machines: A Review of Diagnostic Techniques. IEEE Ind. Electron. Mag. 2014, 8, 31–42. [Google Scholar] [CrossRef]
- Cruz, S.M.A.; Marques Cardoso, A.J. Stator winding fault diagnosis in three-phase synchronous and asynchronous motors, by the extended park’s vector approach. IEEE Trans. Ind. Appl. 2001, 37, 1227–1233. [Google Scholar] [CrossRef]
- Tsoumas, I.P.; Georgoulas, G.; Mitronikas, E.D.; Safacas, A.N. Asynchronous Machine Rotor Fault Diagnosis Technique Using Complex Wavelets. IEEE Trans. Energy Convers. 2008, 23, 444–459. [Google Scholar] [CrossRef]
- Corne, B.; Vervisch, B.; Derammelaere, S.; Knockaert, J.; Desmet, J. The reflection of evolving bearing faults in the stator current’s extended park vector approach for induction machines. Mech. Syst. Signal Process. 2018, 107, 168–182. [Google Scholar] [CrossRef]
- Georgakopoulos, I.P.; Mitronikas, E.D.; Safacas, A.N. Detection of induction motor faults in inverter drives using inverter input current analysis. IEEE Trans. Ind. Electron. 2011, 58, 4365–4373. [Google Scholar] [CrossRef]
- Choi, S.; Member, S.; Akin, B.; Rahimian, M.M.; Member, S.; Toliyat, H.A. Implementation of a Fault-Diagnosis Algorithm for Induction Machines Based on Advanced Digital-Signal-Processing Techniques. IEEE Trans. Ind. Electron. 2011, 58, 937–948. [Google Scholar] [CrossRef]
- White, D.J.; William, P.E.; Hoffman, M.W.; Balkir, S. Low-power analog processing for sensing applications: Low-frequency harmonic signal classification. Sensors 2013, 13, 9604–9623. [Google Scholar] [CrossRef] [PubMed]
- Wu, F.; Zhao, J. A Real-Time Multiple Open-Circuit Fault Diagnosis Method in Voltage-Source-Inverter Fed Vector Controlled Drives. IEEE Trans. Power Electron. 2016, 31, 1425–1437. [Google Scholar] [CrossRef]
- Estima, J.O.; Marques Cardoso, A.J. A New Algorithm for Real-Time Multiple Open-Circuit Fault Diagnosis in Voltage-Fed PWM Motor Drives by the Reference Current Errors. IEEE Trans. Ind. Electron. 2013, 60, 3496–3505. [Google Scholar] [CrossRef]
- Naha, A.; Samanta, A.K.; Routray, A.; Deb, A.K. Low complexity motor current signature analysis using sub-Nyquist strategy with reduced data length. IEEE Trans. Instrum. Meas. 2017, 66, 3249–3259. [Google Scholar] [CrossRef]
- Moussa, M.A.; Boucherma, M.; Khezzar, A. A detection method for induction motor bar fault using sidelobes leakage phenomenon of the sliding discrete Fourier transform. IEEE Trans. Power Electron. 2017, 32, 5560–5572. [Google Scholar] [CrossRef]
- Shahbazi, M.; Saadate, S.; Poure, P.; Zolghadri, M. Open-circuit switch fault tolerant wind energy conversion system based on six/five-leg reconfigurable converter. Electr. Power Syst. Res. 2016, 137, 104–112. [Google Scholar] [CrossRef]
- Kamel, T.; Biletskiy, Y.; Chang, L. Fault Diagnoses for Industrial Grid-Connected Converters in the Power Distribution Systems. IEEE Trans. Ind. Electron. 2015, 62, 6496–6507. [Google Scholar] [CrossRef]
- Perez-Cruz, J.; Puche-Panadero, R.; Pineda-Sanchez, M.; Riera-Guasp, M.; Martinez-Roman, J.; Sapena-Bano, A. Cost-effective on-line fault diagnosis of induction motors using the reduced modulus of the current Park’s vector. In Proceedings of the 2017 IEEE 11th International Symposium on Diagnostics for Electrical Machines, Power Electronics and Drives (SDEMPED), Tinos, Greece, 29 August–1 September 2017; pp. 427–433. [Google Scholar]
- Filippetti, F.; Bellini, A.; Capolino, G. Condition monitoring and diagnosis of rotor faults in induction machines: State of art and future perspectives. In Proceedings of the 2013 IEEE Workshop on Electrical Machines Design, Control and Diagnosis (WEMDCD), Paris, France, 11–12 March 2013; pp. 196–209. [Google Scholar]
- Nguyen, H.N.; Kim, J.; Kim, J.M. Optimal Sub-Band Analysis Based on the Envelope Power Spectrum for Effective Fault Detection in Bearing under Variable, Low Speeds. Sensors 2018, 18, 1389. [Google Scholar] [CrossRef] [PubMed]
- Ukil, A. Time-domain estimation of sub-harmonic sinusoidal disturbance in sinusoidal signal with applications in induction motor diagnostics. In Proceedings of the 2012 XXth International Conference on Electrical Machines, Marseille, France, 2–5 September 2012; pp. 1899–1905. [Google Scholar]
- Irmak, E.; Colak, I.; Kaplan, O.; Guler, N. Design and application of a novel zero-crossing detector circuit. In Proceedings of the 2011 International Conference on Power Engineering, Energy and Electrical Drives, Malaga, Spain, 11–13 May 2011; pp. 1–4. [Google Scholar]








| N. | Connection | Control | Frequency (Hz) | Load |
|---|---|---|---|---|
| 1 | ABB VSD | V/Hz | 50 | Unloaded |
| 2 | Siemens VSD | SVC | 26.22 | 35% of rated load |
| 3 | direct on line (DOL) | 50 | Rated load |
| Test | Full Length | Reduced Length | Reduction Ratio (%) |
|---|---|---|---|
| Current Envelope | Current Envelope | ||
| N° | (A) | (B) | |
| 1 | samples | 10,000 samples | 0.1% |
| 2 | samples | 5244 samples | 0.05% |
| 3 | samples | 10,000 samples | 0.1% |
| Test | Full Length | Reduced Length | Reduction Ratio (%) |
|---|---|---|---|
| Current Envelope | Current Envelope | ||
| 1 | 1.32 s | 0.01 s | 0.76% |
| 2 | 1.33 s | 0.009 s | 0.68% |
| 3 | 1.33 s | 0.01 s | 0.75% |
© 2019 by the authors. Licensee MDPI, Basel, Switzerland. This article is an open access article distributed under the terms and conditions of the Creative Commons Attribution (CC BY) license (http://creativecommons.org/licenses/by/4.0/).
Share and Cite
Burriel-Valencia, J.; Puche-Panadero, R.; Martinez-Roman, J.; Sapena-Bano, A.; Pineda-Sanchez, M. Cost-Effective Reduced Envelope of the Stator Current via Synchronous Sampling for the Diagnosis of Rotor Asymmetries in Induction Machines Working at Very Low Slip. Sensors 2019, 19, 3471. https://doi.org/10.3390/s19163471
Burriel-Valencia J, Puche-Panadero R, Martinez-Roman J, Sapena-Bano A, Pineda-Sanchez M. Cost-Effective Reduced Envelope of the Stator Current via Synchronous Sampling for the Diagnosis of Rotor Asymmetries in Induction Machines Working at Very Low Slip. Sensors. 2019; 19(16):3471. https://doi.org/10.3390/s19163471
Chicago/Turabian StyleBurriel-Valencia, Jordi, Ruben Puche-Panadero, Javier Martinez-Roman, Angel Sapena-Bano, and Manuel Pineda-Sanchez. 2019. "Cost-Effective Reduced Envelope of the Stator Current via Synchronous Sampling for the Diagnosis of Rotor Asymmetries in Induction Machines Working at Very Low Slip" Sensors 19, no. 16: 3471. https://doi.org/10.3390/s19163471
APA StyleBurriel-Valencia, J., Puche-Panadero, R., Martinez-Roman, J., Sapena-Bano, A., & Pineda-Sanchez, M. (2019). Cost-Effective Reduced Envelope of the Stator Current via Synchronous Sampling for the Diagnosis of Rotor Asymmetries in Induction Machines Working at Very Low Slip. Sensors, 19(16), 3471. https://doi.org/10.3390/s19163471

