Encoded-Enhancement of THz Metasurface Figure of Merit for Label-Free Sensing
Abstract
1. Introduction
2. Materials and Methods
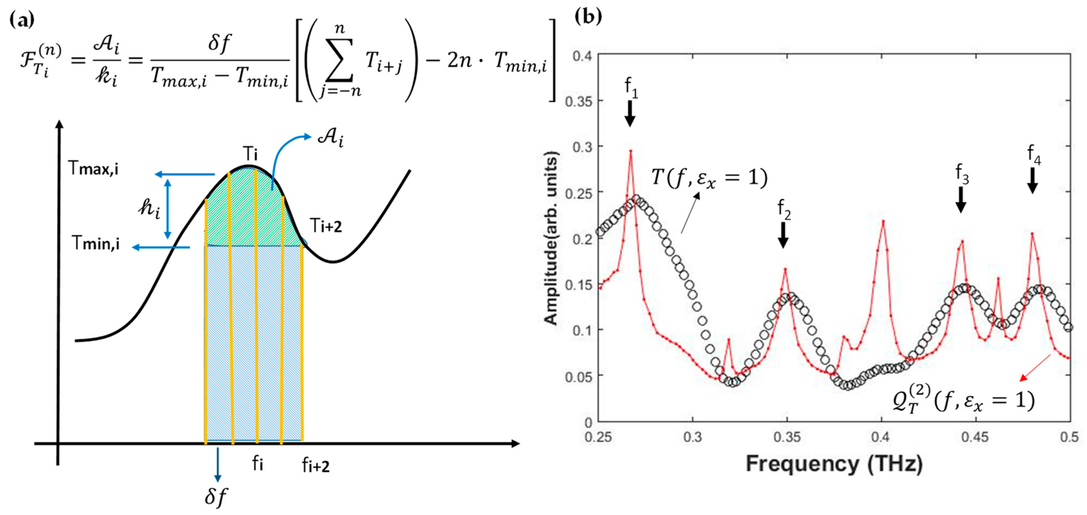
3. Results
4. Discussion
5. Conclusions
Author Contributions
Funding
Acknowledgments
Conflicts of Interest
References
- Fan, K.; Padilla, W.J. Dynamic electromagnetic metamaterials. Mater. Today 2015, 18, 39–50. [Google Scholar] [CrossRef]
- Urbas, A.M.; Jacob, Z.; Dal Negro, L.; Engheta, N.; Boardman, A.D.; Egan, P.; Khanikaev, A.; Menon, V.; Ferrera, M.; Kinsey, N. Roadmap on optical metamaterials. J. Opt. 2016, 18, 093005. [Google Scholar] [CrossRef]
- Walia, S.; Shah, C.M.; Gutruf, P.; Nili, H.; Chowdhury, D.R.; Withayachumnankul, W.; Sriram, S. Flexible metasurfaces and metamaterials: A review of materials and fabrication processes at micro-and nano-scales. Appl. Phys. Rev. 2015, 2, 011303. [Google Scholar] [CrossRef]
- La Spada, L.; Spooner, C.; Haq, S.; Hao, Y. Curvilinear MetaSurfaces for Surface Wave Manipulation. Sci. Rep. 2019, 9, 1–10. [Google Scholar] [CrossRef] [PubMed]
- Liberal, I.; Engheta, N. Near-zero refractive index photonics. Nat. Photonics 2017, 11, 149–158. [Google Scholar] [CrossRef]
- Singh, R.; Cao, W.; Al-Naib, I.; Cong, L.; Withayachumnankul, W.; Zhang, W. Ultrasensitive terahertz sensing with high-Q Fano resonances in metasurfaces. Appl. Phys. Lett. 2014, 105, 171101. [Google Scholar] [CrossRef]
- Hara, J.F.O.; Singh, R.; Brener, I.; Smirnova, E.; Han, J.; Taylor, J.A.; Zhang, W. Thin-film sensing with planar terahertz metamaterials: Sensitivity and limitations Abstract. Opt. Express 2008, 16, 1786–1795. [Google Scholar] [CrossRef] [PubMed]
- Jáuregui-López, I.; Rodriguez-Ulibarri, P.; Kuznetsov, S.A.; Nikolaev, N.A.; Hz, N.B.T. Sensing with Anomalous Extraordinary Optical Transmission Hole Arrays. Sensors 2018, 18, 3848. [Google Scholar] [CrossRef]
- Nagpal, P.; Lindquist, N.C.; Oh, S.-H.; Norris, D.J. Ultrasmooth Patterned Metals for Plasmonics and Metamaterials. Science 2012, 325, 594–597. [Google Scholar] [CrossRef]
- Xu, X.; Peng, B.; Li, D.; Zhang, J.; Wong, L.M.; Zhang, Q.; Xiong, Q. Flexible visible-infrared metamaterials and their applications in highly sensitive chemical and biological sensing. Nano Lett. 2011, 11, 3232–3238. [Google Scholar] [CrossRef]
- Liu, N.; Weiss, T.; Mesch, M.; Langguth, L.; Eigenthaler, U.; Hirscher, M.; Hirsche, G.; Giessen, H. Planar metamaterial analogue of electromagnetically induced transparency for plasmonic sensing. Nano Lett. 2010, 10, 1103–1107. [Google Scholar] [CrossRef] [PubMed]
- Duvillaret, L.; Garet, F.; Coutaz, J.-L.L. A reliable method for extraction of material parameters in terahertz time-domain spectroscopy. IEEE J. Sel. Top. Quantum Electron. 1996, 2, 739–746. [Google Scholar] [CrossRef]
- Scheller, M.; Jansen, C.; Koch, M. Analyzing sub-100-μm samples with transmission terahertz time domain spectroscopy. Opt. Commun. 2009, 282, 1304–1306. [Google Scholar] [CrossRef]
- La Spada, L. Metasurfaces for advanced sensing and diagnostics. Sensors 2019, 19, 355. [Google Scholar] [CrossRef] [PubMed]
- Xu, W.; Xie, L.; Zhu, J.; Xu, X.; Ye, Z.; Wang, C.; Ma, Y.; Ying, Y. Gold Nanoparticle-Based Terahertz Metamaterial Sensors: Mechanisms and Applications. ACS Photonics 2016, 3, 2308–2314. [Google Scholar] [CrossRef]
- Ahmadivand, A.; Gerislioglu, B.; Manickam, P.; Kaushik, A.; Bhansali, S.; Nair, M.; Pala, N. Rapid Detection of Infectious Envelope Proteins by Magnetoplasmonic Toroidal Metasensors. ACS Sens. 2017, 2, 1359–1368. [Google Scholar] [CrossRef] [PubMed]
- Park, S.J.; Hong, J.T.; Choi, S.J.; Kim, H.S.; Park, W.K.; Han, S.T.; Park, J.Y.; Lee, S.; Kim, D.S.; Ahn, Y.H. Detection of microorganisms using terahertz metamaterials. Sci. Rep. 2014, 4, 4988. [Google Scholar] [CrossRef] [PubMed]
- Xie, L.; Gao, W.; Shu, J.; Ying, Y.; Kono, J. Extraordinary sensitivity enhancement by metasurfaces in terahertz detection of antibiotics. Sci. Rep. 2015, 5, 8671. [Google Scholar] [CrossRef]
- Markel, V.A. Introduction to the Maxwell Garnett approximation: Tutorial. J. Opt. Soc. Am. A 2016, 33, 1244. [Google Scholar] [CrossRef]
- Papari, G.P.; Gargiulo, V.; Alfè, M.; Di Capua, R.; Pezzella, A.; Andreone, A. THz spectroscopy on graphene-like materials for bio-compatible devices. J. Appl. Phys. 2017, 14, 5107. [Google Scholar] [CrossRef]
- Papari, G.P.; Koral, C.; Andreone, A. Geometrical Dependence on the Onset of Surface Plasmon Polaritons in THz Grid Metasurfaces. Sci. Rep. 2019, 9, 1–12. [Google Scholar] [CrossRef] [PubMed]
- Rønne, C.; Rud, S. Keiding Low frequency spectroscopy of liquid water using THz-time domain spectroscopy. J. Mol. Liq. 2002, 101, 199–218. [Google Scholar] [CrossRef]
- Homola, J.; Yee, S.S.; Gauglitz, G. Surface plasmon resonance sensors: Review. Sens. Actuators B Chem. 1999, 54, 3–15. [Google Scholar] [CrossRef]
- Hara, J.F.O.; Withayachumnankul, W.; Al-naib, I. A Review on Thin-film Sensing with Terahertz Waves. J. Infrared Milli. Terahz. Waves 2012, 33, 245–291. [Google Scholar]
- Zheng, Y.; Wu, L.; Yuan, X.; Duan, J.; Zhao, M.; Yang, Z. Polarization-insensitive resonances with high quality-factors in meta-molecule metamaterials. Opt. Express 2014, 22, 4588. [Google Scholar]
- Lilley, G.; Messner, M.; Unterrainer, K. Improving the quality factor of the localized surface plasmon resonance. Opt. Mater. Express 2015, 5, 2112. [Google Scholar] [CrossRef]
- Moritake, Y.; Kanamori, Y.; Hane, K. Enhanced quality factor of Fano resonance in optical metamaterials by manipulating configuration of unit cells. Appl. Phys. Lett. 2015, 107, 211108. [Google Scholar] [CrossRef]
- Mittleman, D.M.; Nuss, M.C.; Colvin, V.L. Terahertz spectroscopy of water in inverse micelles. Chem. Phys. Lett. 1997, 275, 332–338. [Google Scholar] [CrossRef]
- Plusquellic, D.F.; Siegrist, K.; Heilweil, E.J.; Esenturk, O. Applications of Terahertz Spectroscopy in Biosystems. ChemPhysChem 2007, 8, 2412–2431. [Google Scholar] [CrossRef]
- Jeong, K.; Huh, Y.M.; Kim, S.H.; Park, Y.; Son, J.H.; Oh, S.J.; Suh, J.S. Characterization of blood using terahertz waves. J. Biomed. Opt. 2013, 18, 7008. [Google Scholar] [CrossRef]
- Carcia-Vidal, F.J.; Martin-Moreno, L.; Ebbesen, T.W.; Kuipers, L. Light passing through subwavelength apertures. Rev. Mod. Phys. 2010, 82, 729. [Google Scholar] [CrossRef]
- Omaghali, N.E.J.; Tkachenko, V.; Andreone, A.; Abbate, G. Optical Sensing Using Dark Mode Excitation in an Asymmetric Dimer Metamaterial. Sensors 2014, 14, 272–282. [Google Scholar] [CrossRef] [PubMed]
- Sonnichsen, C.; Franzi, T.; Wilk, T.; von Plessen, G.; Feldmann, J. Plasmon resonances in large noble-metal. New J. Phys. 2002, 4, 93. [Google Scholar] [CrossRef]
- Ahmadivand, A.; Sinha, R.; Gerislioglu, B.; Karabiyik, M.; Pala, N.; Shur, M. Transition from capacitive coupling to direct charge transfer in asymmetric terahertz plasmonic assemblies. Opt. Lett. 2016, 41, 5333–5336. [Google Scholar] [CrossRef] [PubMed]
- Dong, Z.; Liu, H.; Cao, J.X.; Li, T.; Wang, S.M.; Zhu, S.N.; Zhang, X. Enhanced sensing performance by the plasmonic analog of electromagnetically induced transparency in active metamaterials Enhanced sensing performance by the plasmonic analog of electromagnetically induced transparency in active metamaterials. Appl. Phys. Lett. 2010, 97, 114101. [Google Scholar] [CrossRef]
- La Spada, L.; Vegni, L. Electromagnetic nanoparticles for sensing and medical diagnostic applications. Materials 2018, 11, 603. [Google Scholar] [CrossRef]
- Gonzalez-Solis, J.; Luevano-Colmenero, G.; Vargas-Mancilla, J. Surface enhanced Raman spectroscopy in breast cancer cells. Laser Ther. 2013, 22, 37–42. [Google Scholar]
- Belli, M.; Bettega, D.; Calzolari, P.; Cherubini, R.; Cuttone, G.; Durante, M.; Esposito, G.; Furusawa, Y.; Gerardi, S.; Grossi, G.; et al. Effectiveness of Monoenergetic and Spread-Out Bragg Peak Carbon-Ions for Inactivation of Various Normal and Tumour Human Cell Lines. J. Radiat. Res. 2008, 49, 597–607. [Google Scholar] [CrossRef]





| i | ai (× 10−4) [THz/DCU] | bi (× 10−4) [THz] |
|---|---|---|
| 1 | −1 | 2850 |
| 2 | −6 | 3560 |
| 3 | −8 | 4530 |
| 4 | −6 | 4940 |
© 2019 by the authors. Licensee MDPI, Basel, Switzerland. This article is an open access article distributed under the terms and conditions of the Creative Commons Attribution (CC BY) license (http://creativecommons.org/licenses/by/4.0/).
Share and Cite
Papari, G.P.; Koral, C.; Andreone, A. Encoded-Enhancement of THz Metasurface Figure of Merit for Label-Free Sensing. Sensors 2019, 19, 2544. https://doi.org/10.3390/s19112544
Papari GP, Koral C, Andreone A. Encoded-Enhancement of THz Metasurface Figure of Merit for Label-Free Sensing. Sensors. 2019; 19(11):2544. https://doi.org/10.3390/s19112544
Chicago/Turabian StylePapari, Gian Paolo, Can Koral, and Antonello Andreone. 2019. "Encoded-Enhancement of THz Metasurface Figure of Merit for Label-Free Sensing" Sensors 19, no. 11: 2544. https://doi.org/10.3390/s19112544
APA StylePapari, G. P., Koral, C., & Andreone, A. (2019). Encoded-Enhancement of THz Metasurface Figure of Merit for Label-Free Sensing. Sensors, 19(11), 2544. https://doi.org/10.3390/s19112544

