MEMS Gyroscope Automatic Real-Time Mode-Matching Method Based on Phase-Shifted 45° Additional Force Demodulation
Abstract
1. Introduction
2. Gyroscope Model
2.1. Gyroscope Dynamic Model
2.2. System Characteristics in Mode-Matching
2.3. Electrostatic Negative Stiffness Tuning
3. 45° AFD-RM Mode-Matching Method
3.1. Method Framework
3.2. Mode-Matching Loop Analysis
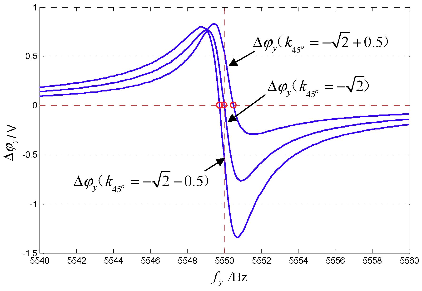
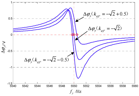
3.3. Influence Analysis of
3.4. Angular Rate Detection Output
4. Simulation Analysis
5. Experimental Analysis
5.1. Experimental Setup
5.2. Mode-Matching Process
5.3. Gyroscope Performance Analysis
5.4. Temperature Experiment
6. Conclusions
Author Contributions
Funding
Conflicts of Interest
References
- Guo, Z.; Cheng, F.; Li, B.; Cao, L.; Lu, C.; Song, K. Research development of silicon MEMS gyroscopes: A review. Microsyst. Technol. 2015, 21, 2053–2066. [Google Scholar]
- Xia, D.; Lun, K.; Gao, H. A Mode Matched Triaxial Vibratory Wheel Gyroscope with Fully Decoupled Structure. Sensors 2015, 15, 28979–29002. [Google Scholar] [CrossRef] [PubMed]
- Xu, L.; Li, H.; Ni, Y.; Liu, J.; Huang, L. Frequency Tuning of Work Modes in Z-Axis Dual-Mass Silicon Microgyroscope. J. Sens. 2014, 3, 1–13. [Google Scholar] [CrossRef]
- Ding, H.; Liu, X.; Lin, L.; Chi, X.; Cui, J.; Kraft, M.; Yang, Z.; Yan, G. A High-Resolution Silicon-on-Glass Z Axis Gyroscope Operating at Atmospheric Pressure. IEEE Sens. J. 2010, 10, 1066–1074. [Google Scholar] [CrossRef]
- Hu, Z.X.; Gallacher, B.J.; Burdess, J.S.; Bowles, S.R.; Grigg, H.T.D. A systematic approach for precision electrostatic mode tuning of a MEMS gyroscope. J. Micromech. Microeng. 2014, 24, 125003. [Google Scholar] [CrossRef]
- Guan, Y.; Gao, S.; Liu, H.; Jin, L.; Zhang, Y. Vibration Sensitivity Reduction of Micromachined Tuning Fork Gyroscopes through Stiffness Match Method with Negative Electrostatic Spring Effect. Sensors 2016, 16, 1146. [Google Scholar] [CrossRef] [PubMed]
- Sung, W.K.; Dalal, M.; Ayazi, F. A mode-matched 0.9 MHz single proof-mass dual-axis gyroscope. In Proceedings of the 2011 16th International Solid-State Sensors, Actuators and Microsystems Conference, Beijing, China, 5–9 June 2011. [Google Scholar]
- Sung, S.; Sung, W.T.; Kim, C.; Yun, S.; Lee, Y.J. On the Mode-Matched Control of MEMS Vibratory Gyroscope via Phase-Domain Analysis and Design. IEEE/ASME Trans. Mechatron. 2009, 14, 446–455. [Google Scholar] [CrossRef]
- Sonmezoglu, S.; Alper, S.E.; Akin, T. An automatically mode-matched MEMS gyroscope with 50 Hz bandwidth. In Proceedings of the 2012 IEEE 25th International Conference on Micro Electro Mechanical Systems, Paris, France, 29 January–2 February 2012. [Google Scholar]
- Sonmezoglu, S.; Alper, S.E.; Akin, T. An Automatically Mode-Matched MEMS Gyroscope with Wide and Tunable Bandwidth. J. Microelectromech. Syst. 2014, 23, 284–297. [Google Scholar] [CrossRef]
- Sharma, A.; Zaman, M.F.; Ayazi, F. A Sub-0.2°/hr Bias Drift Micromechanical Silicon Gyroscope with Automatic CMOS Mode-Matching. IEEE J. Solid-State Circuits 2009, 44, 1593–1608. [Google Scholar] [CrossRef]
- Sharma, A.; Zaman, M.F.; Zucher, M.; Ayazi, F. A 0.1°/HR bias drift electronically matched tuning fork microgyroscope. In Proceedings of the 2008 IEEE 21st International Conference on Micro Electro Mechanical Systems, Tucson, AZ, USA, 13–17 January 2008. [Google Scholar]
- Tatar, E.; Mukherjee, T.; Fedder, G.K. Stress Effects and Compensation of Bias Drift in a MEMS Vibratory-Rate Gyroscope. J. Microelectromech. Syst. 2017, 26, 569–579. [Google Scholar] [CrossRef]
- Cui, J.; Liu, X.; Guo, Z.; Zhao, Q.; Lin, L.; Yang, Z.; Hao, Y.; Yan, G. An experimental investigation on decoupling performance for a lateral axis micromachined gyroscope with varying environmental parameters. Sci. China Technol. Sci. 2011, 54, 3415–3423. [Google Scholar] [CrossRef]
- Prikhodko, I.P.; Trusov, A.A.; Shkel, A.M. Compensation of drifts in high-Q, MEMS gyroscopes using temperature self-sensing. Sens. Actuators A Phys. 2013, 201, 517–524. [Google Scholar] [CrossRef]
- Antonello, R.; Oboe, R.; Prandi, L.; Biganzoli, F. Automatic Mode Matching in MEMS Vibrating Gyroscopes Using Extremum-Seeking Control. IEEE Trans. Ind. Electron. 2009, 56, 3880–3891. [Google Scholar] [CrossRef]
- Xu, L.; Li, H.; Yang, C.; Huang, L. Comparison of Three Automatic Mode-Matching Methods for Silicon Micro-Gyroscopes Based on Phase Characteristic. IEEE Sens. J. 2016, 16, 610–619. [Google Scholar] [CrossRef]
- He, C.; Zhao, Q.; Huang, Q.; Liu, D.; Yang, Z.; Zhang, D.; Yan, G. A MEMS Vibratory Gyroscope with Real-Time Mode-Matching and Robust Control for the Sense Mode. IEEE Sens. J. 2015, 15, 2069–2077. [Google Scholar] [CrossRef]
- Saukoski, M.; Aaltonen, L.; Halonen, K.A.I. Zero-Rate Output and Quadrature Compensation in Vibratory MEMS Gyroscopes. IEEE Sens. J. 2007, 7, 1639–1652. [Google Scholar] [CrossRef]
- Hu, Z.X.; Gallacher, B.J.; Burdess, J.S.; Fell, C.P.; Townsend, K. Precision mode matching of MEMS gyroscope by feedback control. In Proceedings of the 2011 IEEE SENSORS, Limerick, Ireland, 28–31 October 2011. [Google Scholar]
- Xiao, D.; Yu, D.; Zhou, X.; Hou, Z.; He, H.; Wu, X. Frequency Tuning of a Disk Resonator Gyroscope via Stiffness Perturbation. IEEE Sens. J. 2017, 17, 4725–4737. [Google Scholar] [CrossRef]
- Sheng, B.; Chen, F.; Qian, C.; Xu, D.; Guo, S.; Li, X. Design of a Dual Quantization Electromechanical Sigma-Delta Modulator MEMS Vibratory Wheel Gyroscope. J. Microelectromech. Syst. 2018, 27, 218–230. [Google Scholar] [CrossRef]
- Ma, W.; Lin, Y.; Liu, S.; Zheng, X.; Jin, Z. A novel oscillation control for MEMS vibratory gyroscopes using a modified electromechanical amplitude modulation technique. J. Micromech. Microeng. 2017, 27, 025005. [Google Scholar] [CrossRef]
- Zhang, J.; He, C.; Liu, Y.; Liu, D.; Zhao, Q.; Yang, Z.; Yan, G. A novel scale factor calibration method for a MEMS gyroscope based on virtual coriolis force. In Proceedings of the 10th IEEE International Conference on Nano/micro Engineered and Molecular Systems, Xi’an, China, 7–11 April 2015. [Google Scholar]
- Vágner, M.; Beneš, P.; Havránek, Z. Experience with Allan variance method for MEMS gyroscope performance characterization. In Proceedings of the 2012 IEEE Instrumentation and Measurement Technology Conference, Graz, Austria, 13–16 May 2012. [Google Scholar]

















| Parameter | Drive mode | Sense mode |
|---|---|---|
| Inertia Ix, Iy (kg·m2) | 1.11 × 10−14 | 8.86 × 10−15 |
| Resonance frequency fx, fy (Hz) | 5550 | 5719 |
| Quality value Qx, Qy | 2.2 × 105 | 5200 |
| Conversion factor of voltage to torque kvtx, kvty (N/V) | 5.28 × 10−11 | 4.18 × 10−9 |
| Conversion factor of swing angle to capacitance kxc, kyc (F/rad) | 6.3 × 10−12 | 446 × 10−12 |
| Conversion factor of detector capacitance to voltage kcvx, kcvy (V/F) | 1.3 × 1012 | 10.4 × 1012 |
| Coupling stiffness kyx (N/m) | — | 2.2 × 10−9 |
| Matching Condition | Performance Parameters | ||||
|---|---|---|---|---|---|
| Scale Factor (mV/°/s) | Nonlinearity (%) | Measurable Range (°/s) | Zero-Bias Instability (°/h) | Angle Random Walk (°/) | |
| (Δf ≈ 60 Hz) | 0.064 | 0.056 | Greater than ±300 | 42.65 | 3.671 |
| (Δf ≈ 10 Hz) | 0.352 | 0.054 | ±200 | 13.23 | 0.667 |
| OMM (Δf ≈ 1 Hz) | 1.821 | 0.076 | ±50 | 7.52 | 0.325 |
| 45° AFD-RM (Δf ≈ 0 Hz) | 5.371 | 0.078 | ±20 | 7.08 | 0.367 |
| Temperature (°C) | 45° AFD-RM | OMM | ||||
|---|---|---|---|---|---|---|
| Tuning Voltage (V) | Zero-Bias Instability (°/h) | Angle Random Walk (°/) | Tuning Voltage (V) | Zero-Bias Instability (°/h) | Angle Random Walk (°/) | |
| 30 | 3.6372 | 7.76 | 0.328 | 3.652 | 8.26 | 0.351 |
| 50 | 3.6253 | 8.84 | 0.412 | 3.652 | 10.03 | 0.482 |
| 70 | 3.6185 | 9.59 | 0.465 | 3.652 | 11.32 | 0.616 |
© 2018 by the authors. Licensee MDPI, Basel, Switzerland. This article is an open access article distributed under the terms and conditions of the Creative Commons Attribution (CC BY) license (http://creativecommons.org/licenses/by/4.0/).
Share and Cite
Bu, F.; Xu, D.; Zhao, H.; Fan, B.; Cheng, M. MEMS Gyroscope Automatic Real-Time Mode-Matching Method Based on Phase-Shifted 45° Additional Force Demodulation. Sensors 2018, 18, 3001. https://doi.org/10.3390/s18093001
Bu F, Xu D, Zhao H, Fan B, Cheng M. MEMS Gyroscope Automatic Real-Time Mode-Matching Method Based on Phase-Shifted 45° Additional Force Demodulation. Sensors. 2018; 18(9):3001. https://doi.org/10.3390/s18093001
Chicago/Turabian StyleBu, Feng, Dacheng Xu, Heming Zhao, Bo Fan, and Mengmeng Cheng. 2018. "MEMS Gyroscope Automatic Real-Time Mode-Matching Method Based on Phase-Shifted 45° Additional Force Demodulation" Sensors 18, no. 9: 3001. https://doi.org/10.3390/s18093001
APA StyleBu, F., Xu, D., Zhao, H., Fan, B., & Cheng, M. (2018). MEMS Gyroscope Automatic Real-Time Mode-Matching Method Based on Phase-Shifted 45° Additional Force Demodulation. Sensors, 18(9), 3001. https://doi.org/10.3390/s18093001

