Polar Organic Gate Dielectrics for Graphene Field-Effect Transistor-Based Sensor Technology
Abstract
1. Introduction
2. Materials and Methods
2.1. Device Fabrication
2.2. Dielectric Synthesis
2.3. Dielectric Characterization
2.4. Transistor Characterization
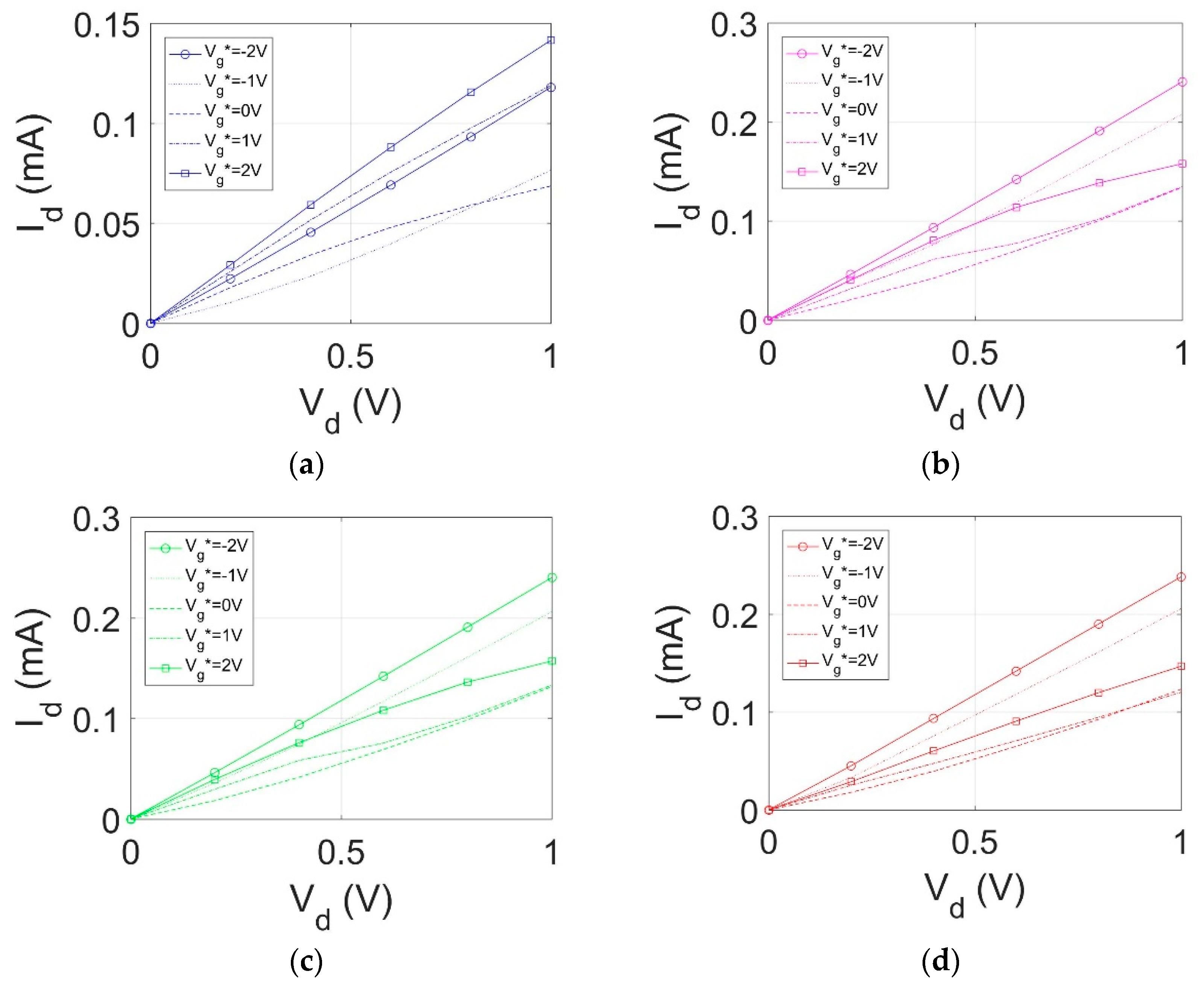
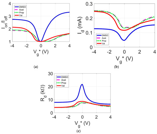
3. Results and Discussion
4. Conclusions
Author Contributions
Funding
Acknowledgments
Conflicts of Interest
References
- Shang, J.; Xue, W.; Ji, Z.; Liu, G.; Niu, X.; Yi, X.; Pan, L.; Zhan, Q.; Xu, X.; Li, R. Highly flexible resistive switching memory based on amorphous-nanocrystalline hafnium oxide films. Nanoscale 2017, 9, 7037–7046. [Google Scholar] [CrossRef] [PubMed]
- Huang, J.; Huang, Q.; Qin, M.; Dong, W.; Chen, X. Strain Effect of the Dielectric Constant in Silicon Dioxide. J. Microelectromech. Syst. 2010, 19, 1521–1523. [Google Scholar] [CrossRef]
- Fasolino, A.; Los, J.; Katsnelson, M. Intrinsic ripples in graphene. Nat. Mater. 2007, 6, 858–861. [Google Scholar] [CrossRef] [PubMed]
- Ordonez, R.; Hayashi, C.; Torres, C.; Hafner, N.; Adleman, J.; Acosta, N.; Melcher, J.; Kamin, N.; Garmire, D. Conformal Liquid-Metal Electrodes for Flexible Graphene Device Interconnects. IEEE Trans. Electron Devices 2016, 63, 4018–4023. [Google Scholar] [CrossRef]
- Ordonez, R.; Hayashi, C.; Torres, C.; Melcher, J.; Kamin, N.; Severa, G.; Garmire, D. Rapid Fabrication of Graphene Field-Effect Transistors with Liquid-metal Interconnects and Electrolytic Gate Dielectric Made of Honey. Sci. Rep. 2017, 7. [Google Scholar] [CrossRef] [PubMed]
- Schwierz, F. Graphene transistors. Nat. Nanotechnol. 2010, 5, 487–496. [Google Scholar] [CrossRef] [PubMed]
- Ko, J.; Kim, Y.; Kim, Y. Self-Healing Polymer Dielectric for a High Capacitance Gate Insulator. ACS Appl. Mater. Interfaces 2016, 8, 23854–23861. [Google Scholar] [CrossRef] [PubMed]
- Narasimhan, V.; Park, S. An Ion Gel as a Low-Cost, Spin-Coatable, High-Capacitance Dielectric for Electrowetting-on-Dielectric (EWOD). Langmuir 2015, 31, 8512–8518. [Google Scholar] [CrossRef] [PubMed]
- Leskelä, M.; Ritala, M. Atomic layer deposition (ALD): From precursors to thin film structures. Thin Solid Films 2002, 409, 138–146. [Google Scholar] [CrossRef]
- Yuan, H.; Shimotani, H.; Tsukazaki, A.; Ohtomo, A.; Kawasaki, M.; Iwasa, Y. High-Density Carrier Accumulation in ZnO Field-Effect Transistors Gated by Electric Double Layers of Ionic Liquids. Adv. Funct. Mater. 2009, 19, 1046–1053. [Google Scholar] [CrossRef]
- Ma, K.; Wang, X.; Cui, Y.; Lin, F.; Deng, C.; Shi, H. Understanding the graphene-based electric double layer from dielectric perspective: A density functional study. Chem. Phys. Lett. 2017, 677, 137–142. [Google Scholar] [CrossRef]
- Creager, S. Handbook of Electrochemistry, 1st ed.; Elsevier: Amsterdam, The Netherlands, 2007; p. 64. [Google Scholar]
- Marstokk, K.; Møllendal, H.; Samdal, S. Microwave spectrum, conformation, ab initio calculations, barrier to internal rotation and dipole moment of propionamide. J. Mol. Struct. 1996, 376, 11–24. [Google Scholar] [CrossRef]
- Wesson, L.G. Tables of Electric Dipole Moments; The Technology Press: Cambridge, MA, USA, 1948. [Google Scholar]
- Angulo, G.; Brucka, M.; Gerecke, M.; Grampp, G.; Jeannerat, D.; Milkiewicz, J.; Mitrev, Y.; Radzewicz, C.; Rosspeintner, A.; Vauthey, E.; et al. Characterization of dimethylsulfoxide/glycerol mixtures: A binary solvent system for the study of “friction-dependent” chemical reactivity. Phys. Chem. Chem. Phys. 2016, 18, 18460–18469. [Google Scholar] [CrossRef] [PubMed]
- Lu, C.; Lin, Y.; Yeh, C.; Huang, J.; Chiu, P. High Mobility Flexible Graphene Field-Effect Transistors with Self-Healing Gate Dielectrics. ACS Nano 2012, 6, 4469–4474. [Google Scholar] [CrossRef] [PubMed]
- Kim, B.; Jang, H.; Lee, S.; Hong, B.; Ahn, J.; Cho, J. High-Performance Flexible Graphene Field Effect Transistors with Ion Gel Gate Dielectrics. Nano Lett. 2010, 10, 3464–3466. [Google Scholar] [CrossRef] [PubMed]
- Bartolomeo, A.; Giubileo, F.; Romeo, F.; Sabatino, P.; Carapella, G.; Iemmo, L.; Schroeder, T.; Lupina, G. Graphene field effect transistors with niobium contacts and asymmetric transfer characteristics. Nanotechnology 2015, 26, 475202. [Google Scholar] [CrossRef] [PubMed]
- Xu, S.; Zhang, Q. Causes of asymmetry in graphene transfer characteristics. In Proceedings of the 2010 International Workshop on Junction Technology Extended Abstracts, Shanghai, China, 10–11 May 2010. [Google Scholar] [CrossRef]
- Kirkwood, J. The Dielectric Polarization of Polar Liquids. J. Chem. Phys. 1939, 7, 911–919. [Google Scholar] [CrossRef]
- Kim, S.; Nah, J.; Jo, I.; Shahrjerdi, D.; Colombo, L.; Yao, Z.; Tutuc, E.; Banerjee, S. Realization of a high mobility dual-gated graphene field-effect transistor with Al2O3 dielectric. Appl. Phys. Lett. 2009, 94, 062107. [Google Scholar] [CrossRef]
- Wang, D.; Noël, V.; Piro, B. Electrolytic Gated Organic Field-Effect Transistors for Application in Biosensors—A Review. Electronics 2016, 5, 9. [Google Scholar] [CrossRef]
- Liu, C.; Chang, Y.; Norris, T.; Zhong, Z. Graphene photodetectors with ultra-broadband and high responsivity at room temperature. Nat. Nanotechnol. 2014, 9, 273–278. [Google Scholar] [CrossRef] [PubMed]
- Yang, Y.; Asiri, A.; Tang, Z.; Du, D.; Lin, Y. Graphene based materials for biomedical applications. Mater. Today 2013, 16, 365–373. [Google Scholar] [CrossRef]
- Shen, H.; Zhang, L.; Liu, M.; Zhang, Z. Biomedical Applications of Graphene. Theranostics 2012, 2, 283–294. [Google Scholar] [CrossRef] [PubMed]
- Eom, N.; Cho, H.; Song, Y.; Lee, W.; Sekino, T.; Choa, Y. Room-Temperature H2 Gas Sensing Characterization of Graphene-Doped Porous Silicon via a Facile Solution Dropping Method. Sensors 2017, 17, 2750. [Google Scholar] [CrossRef] [PubMed]
- Wang, T.; Huang, D.; Yang, Z.; Xu, S.; He, G.; Li, X.; Hu, N.; Yin, G.; He, D.; Zhang, L. A Review on Graphene-Based Gas/Vapor Sensors with Unique Properties and Potential Applications. Nano Micro Lett. 2015, 8, 95–119. [Google Scholar] [CrossRef]






| Organic Molecule | Dipole Moment (D) 1 | Dielectric Constant |
|---|---|---|
| DMSO | 4.06 | 46.7 |
| Acetonitrile | 3.40 | 37.5 |
| Propionamide | 3.85 | 117 2 |
| Valeramide | 3.70 | 40 2 |
| Organic Molecule | Electron Mobility (cm2/Vs) | Hole Mobility (cm2/Vs) | Electron Concentration (10−12 cm−2) | Hole Concentration (10−12 cm−2) |
|---|---|---|---|---|
| DMSO | 154 | 154.6 | 8.9 | 9.3 |
| Acetonitrile | 119.7 | 163.6 | 30.7 | 26.6 |
| Propionamide-Water | 54.7 | 68.8 | 8.9 | 6.8 |
| Valeramide-Water | 133.8 | 96.1 | 28.5 | 54 |
| Organic Molecule | Average Gate Current for Vg < 0 V (μA) | Average Gate Current for Vg > 0 V (μA) |
|---|---|---|
| DMSO | −2.91 | 1.59 |
| Acetonitrile | −5.51 | 2.43 |
| Propionamide | −5 | 2.19 |
| Valeramide | −7.6 | 8.31 |
© 2018 by the authors. Licensee MDPI, Basel, Switzerland. This article is an open access article distributed under the terms and conditions of the Creative Commons Attribution (CC BY) license (http://creativecommons.org/licenses/by/4.0/).
Share and Cite
Kam, K.A.; Tengan, B.I.C.; Hayashi, C.K.; Ordonez, R.C.; Garmire, D.G. Polar Organic Gate Dielectrics for Graphene Field-Effect Transistor-Based Sensor Technology. Sensors 2018, 18, 2774. https://doi.org/10.3390/s18092774
Kam KA, Tengan BIC, Hayashi CK, Ordonez RC, Garmire DG. Polar Organic Gate Dielectrics for Graphene Field-Effect Transistor-Based Sensor Technology. Sensors. 2018; 18(9):2774. https://doi.org/10.3390/s18092774
Chicago/Turabian StyleKam, Kevin A., Brianne I. C. Tengan, Cody K. Hayashi, Richard C. Ordonez, and David G. Garmire. 2018. "Polar Organic Gate Dielectrics for Graphene Field-Effect Transistor-Based Sensor Technology" Sensors 18, no. 9: 2774. https://doi.org/10.3390/s18092774
APA StyleKam, K. A., Tengan, B. I. C., Hayashi, C. K., Ordonez, R. C., & Garmire, D. G. (2018). Polar Organic Gate Dielectrics for Graphene Field-Effect Transistor-Based Sensor Technology. Sensors, 18(9), 2774. https://doi.org/10.3390/s18092774

