Effect of Sensor Set Size on Polymer Electrolyte Membrane Fuel Cell Fault Diagnosis
Abstract
1. Introduction
2. Fault Diagnostic and Sensor Selection Techniques
2.1. Wavelet Packet Transform
2.2. Kernel Principal Component Analysis
2.3. Optimal Sensor Selection Methodology
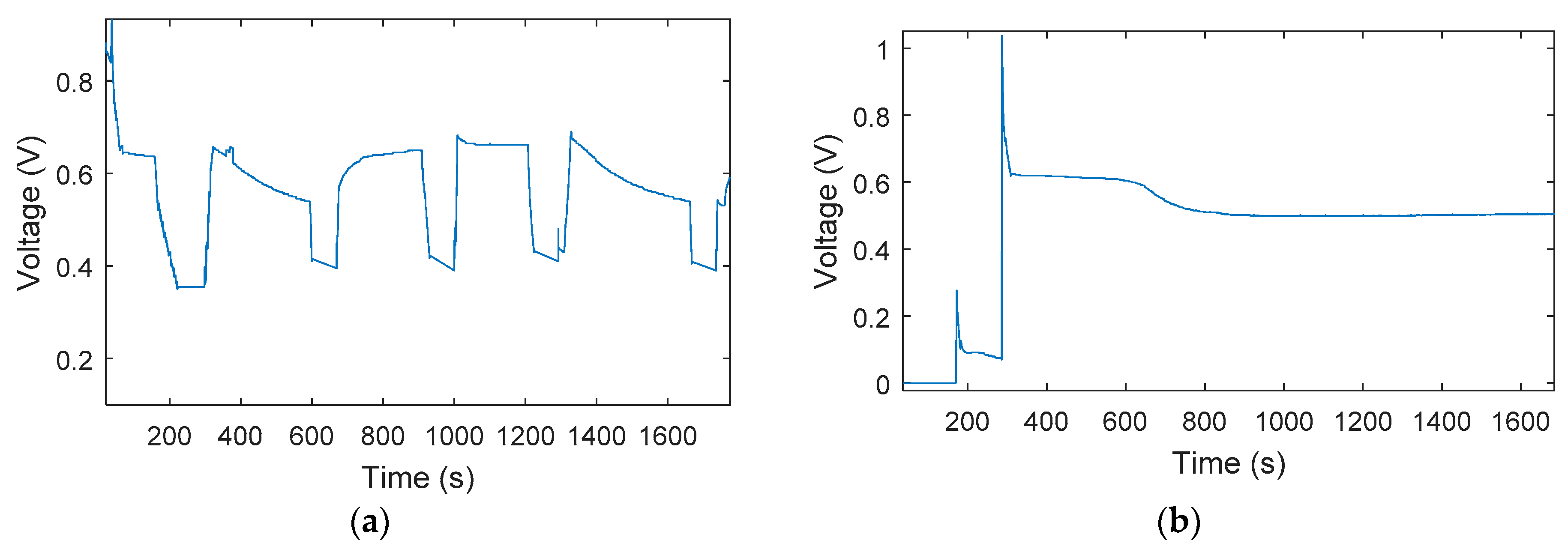
3. Effectiveness of Various Sensor Sets in Polymer Electrolyte Membrane Fuel Cell Fault Diagnosis
3.1. Description of Polymer Electrolyte Membrane Fuel Cell Test Bench and Data
3.2. Diagnosis Using Sensor Set with Different Sizes
4. Conclusions
Author Contributions
Funding
Acknowledgments
Conflicts of Interest
References
- Petrone, R.; Zheng, Z.; Hissel, D.; Pera, M.C.; Pianese, C.; Sorrentino, M.; Becherif, M.; Yousfi-Steiner, N. A review on model-based diagnosis methodologies for PEMFCs. Int. J. Hydrogen Energy 2013, 38, 7077–7091. [Google Scholar] [CrossRef]
- Zheng, Z.; Petrone, R.; Pera, M.C.; Hissel, D.; Becherif, M.; Pianese, C.; Steiner, N.Y.; Sorrentino, M. A review on non-model based diagnosis methodologies for PEM fuel cell stacks and systems. Int. J. Hydrogen Energy 2013, 38, 8914–8926. [Google Scholar] [CrossRef]
- Yousfi-Steiner, N.; Moçotéguy, P.; Candusso, D.; Hissel, D.; Hernandez, A.; Aslanides, A. A review on PEM voltage degradation associated with water management: Impacts, influent factors and characterization. J. Power Sources 2008, 183, 260–274. [Google Scholar] [CrossRef]
- Steiner, N.Y.; Hissel, D.; Mocoteguy, P.; Candusso, D. Non intrusive diagnosis of polymer electrolyte fuel cells by wavelet packet transform. Int. J. Hydrogen Energy 2011, 36, 740–746. [Google Scholar] [CrossRef]
- Kim, J.; Lee, I.; Tak, Y.; Cho, B.H. State-of-health diagnosis based on hamming neural network using output voltage pattern recognition for a pem fuel cell. Int. J. Hydrogen Energy 2012, 37, 4280–4289. [Google Scholar] [CrossRef]
- Li, Z.; Outbib, R.; Giurgea, S.; Hissel, D.; Li, Y. Fault detection and isolation for polymer electrolyte membrane fuel cell systems by analysing cell voltage generated space. Appl. Energy 2015, 148, 260–272. [Google Scholar] [CrossRef]
- Pahon, E.; Steiner, N.Y.; Jemei, S.; Hissel, D.; Mocoteguy, P. A signal-based method for fast PEMFC diagnosis. Appl. Energy 2016, 165, 748–758. [Google Scholar] [CrossRef]
- Tian, G.; Wasterlain, S.; Endichi, I.; Candusso, D.; Harel, F.; Françoisb, X. Diagnosis methods dedicated to the localisation of failed cells within pemfc stacks. J. Power Sources 2008, 182, 449–461. [Google Scholar] [CrossRef]
- Bonvini, M.; Sohn, M.D.; Granderson, J.; Wetter, M.; Piette, M.A. Robust on-line fault detection diagnosis for HVAC components based on nonlinear state estimation techniques. Appl. Energy 2014, 124, 156–166. [Google Scholar] [CrossRef]
- Yousfi Steiner, N.; Hissel, D.; Moc¸ote´guy, P.; Candusso, D. Diagnosis of polymer electrolyte fuel cells failure modes (flooding and drying out) by neural networks modeling. Int. J. Hydrogen Energy 2011, 36, 3067–3075. [Google Scholar] [CrossRef]
- Placca, L.; Kouta, R.; Candusso, D.; Blachot, J.F.; Charon, W. Analysis of PEM fuel cell experimental data using principal component analysis and multi linear regression. Int. J. Hydrogen Energy 2010, 35, 4582–4591. [Google Scholar] [CrossRef]
- Riascos, L.A.M.; Simoes, M.G.; Miyagi, P.E. A Bayesian network fault diagnostic system for proton exchange membrane fuel cells. J. Power Sources 2007, 165, 267–278. [Google Scholar] [CrossRef]
- Riascos, L.A.M.; Simoes, M.G.; Miyagi, P.E. On-line fault diagnostic system for proton exchange membrane fuel cells. J. Power Sources 2008, 175, 419–429. [Google Scholar] [CrossRef]
- Liu, J.; Li, Q.; Chen, W.; Cao, T. A discrete hidden Markov model fault diagnosis strategy based on K-means clustering dedicated to PEM fuel cell systems of tramways. Int. J. Hydrogen Energy 2018, 43, 12428–12441. [Google Scholar] [CrossRef]
- Li, S.; Cao, H.; Yang, Y. Data-driven simultaneous fault diagnosis for solid oxide fuel cell system using multi-label pattern identification. J. Power Sources 2018, 378, 646–659. [Google Scholar] [CrossRef]
- Andujar, J.M.; Segura, F.; Isorna, F.; Calderon, A.J.; Research Group TEP-192. Comprehensive diagnosis methodology for faults detection and identification, and performance improvement of air-cooled polymer electrolyte membrane fuel cells. Renew. Sustain. Energy Rev. 2018, 88, 193–207. [Google Scholar] [CrossRef]
- Hua, J.; Li, J.; Ouyang, M.; Lu, L.; Xu, L. Proton exchange membrane fuel cell system diagnosis based on the multivariate statistical method. Int. J. Hydrogen Energy 2011, 36, 9896–9905. [Google Scholar] [CrossRef]
- Mao, L.; Jackson, L.M.; Dunnett, S.J. Fault diagnosis of practical polymer electrolyte membrane (PEM) fuel cell system with data-driven approaches. Fuel Cells 2017, 17, 247–258. [Google Scholar] [CrossRef]
- Mao, L.; Davies, B.; Jackson, L. Application of sensor selection approach in polymer electrolyte membrane fuel cell prognostics and health management. Energies 2017, 10, 1511. [Google Scholar] [CrossRef]
- Zhao, X.; Xu, L.; Li, J.; Fang, C.; Ouyang, M. Fault diagnosis for PEM fuel cell system based on multi-sensor signals and principle component analysis method. Int. J. Hydrogen Energy 2017, 42, 18524–18531. [Google Scholar] [CrossRef]
- Tse, P.W.; Yang, W.; Tam, H.Y. Machine fault diagnosis through an effective exact wavelet analysis. J. Sound Vib. 2004, 277, 1005–1024. [Google Scholar] [CrossRef]
- Kashyap, K.H.; Shenoy, U.J. Classification of power system faults using wavelet transforms and probabilistic neural networks. In Proceedings of the 2003 International Symposium on Circuits and Systems, Bangkok, Thailand, 25–28 May 2003. [Google Scholar]
- Zhu, K.; Wong, Y.S.; Hong, G.S. Wavelet analysis of sensor signals for tool condition monitoring: A review and some new results. Int. J. Mach. Tools Manuf. 2009, 49, 537–553. [Google Scholar] [CrossRef]
- Rafiee, J.; Rafiee, M.A.; Tse, P.W. Application of mother wavelet functions for automatic gear and bearing fault diagnosis. Expert Syst. Appl. 2010, 37, 4568–4579. [Google Scholar] [CrossRef]
- Ding, S.; Zhang, P.; Ding, E.; Yin, S.; Naik, A.; Deng, P. On the application of PCA technique to fault diagnosis. Tsinghua Sci. Technol. 2010, 15, 138–144. [Google Scholar] [CrossRef]
- Zhang, Y.; Li, S.; Teng, Y. Dynamic processes monitoring using recursive kernel principal component analysis. Chem. Eng. Sci. 2012, 72, 78–86. [Google Scholar] [CrossRef]
- Bin Shams, M.A.; Budman, H.M.; Duever, T.A. Fault detection, identification and diagnosis using CUSUM based PCA. Chem. Eng. Sci. 2011, 66, 4488–4498. [Google Scholar] [CrossRef]
- Polat, K.; Güneş, S. Automatic determination of diseases related to lymph system from lymphography data using principles component analysis (PCA), fuzzy weighting preprocessing and ANFIS. Expert Syst. Appl. 2007, 33, 636–641. [Google Scholar] [CrossRef]
- Cui, P.; Li, J.; Wang, G. Improved kernel principal component analysis for fault detection. Expert Syst. Appl. 2008, 34, 1210–1219. [Google Scholar] [CrossRef]
- Li, Z.; Outbib, R.; Hissel, D.; Giurgea, S. Data-driven diagnosis of PEM fuel cell: A comparative study. Control. Eng. Pract. 2014, 28, 1–12. [Google Scholar] [CrossRef]
- Mao, L.; Jackson, L.; Davies, B. Effectiveness of a novel sensor selection algorithm in PEM fuel cell on-line diagnosis. IEEE Trans. Ind. Electron. 2018, 65, 7301–7310. [Google Scholar] [CrossRef]
- Mao, L.; Jackson, L. Selection of optimal sensors for predicting performance polymer electrolyte membrane fuel cell. J. Power Sources 2016, 328, 151–160. [Google Scholar] [CrossRef]
- Canut, J.M.L.; Abouatallah, R.M.; Harrington, D.A. Detection of membrane drying, fuel cell flooding, and anode catalyst poisoning on pemfc stacks by electrochemical impedance spectroscopy. J. Electrochem. Soc. 2006, 153, 857–864. [Google Scholar] [CrossRef]





| Parameter | Value |
|---|---|
| Membrane thickness () | 25 |
| Active area () | 100 |
| Platinum loading () | 0.2 |
| Gas diffusion thickness () | 415 |
| No. | Sensor |
|---|---|
| 1 | Cathode outlet flow meter |
| 2 | Anode outlet flow meter |
| 3 | Cathode outlet humidification sensor |
| 4 | Anode outlet humidification sensor |
| 5 | Cathode outlet pressure gauge |
| 6 | Anode outlet pressure gauge |
| 7 | Stack thermocouple |
| 8 | Cathode outlet thermocouple |
| 9 | Anode outlet thermocouple |
© 2018 by the authors. Licensee MDPI, Basel, Switzerland. This article is an open access article distributed under the terms and conditions of the Creative Commons Attribution (CC BY) license (http://creativecommons.org/licenses/by/4.0/).
Share and Cite
Mao, L.; Jackson, L. Effect of Sensor Set Size on Polymer Electrolyte Membrane Fuel Cell Fault Diagnosis. Sensors 2018, 18, 2777. https://doi.org/10.3390/s18092777
Mao L, Jackson L. Effect of Sensor Set Size on Polymer Electrolyte Membrane Fuel Cell Fault Diagnosis. Sensors. 2018; 18(9):2777. https://doi.org/10.3390/s18092777
Chicago/Turabian StyleMao, Lei, and Lisa Jackson. 2018. "Effect of Sensor Set Size on Polymer Electrolyte Membrane Fuel Cell Fault Diagnosis" Sensors 18, no. 9: 2777. https://doi.org/10.3390/s18092777
APA StyleMao, L., & Jackson, L. (2018). Effect of Sensor Set Size on Polymer Electrolyte Membrane Fuel Cell Fault Diagnosis. Sensors, 18(9), 2777. https://doi.org/10.3390/s18092777

