Phenol-Formaldehyde Resin for Optical-Chemical Temperature Sensing
Abstract
:1. Introduction
2. Materials and Methods
2.1. Sample Properties
2.2. Temperature Characterization
3. Results
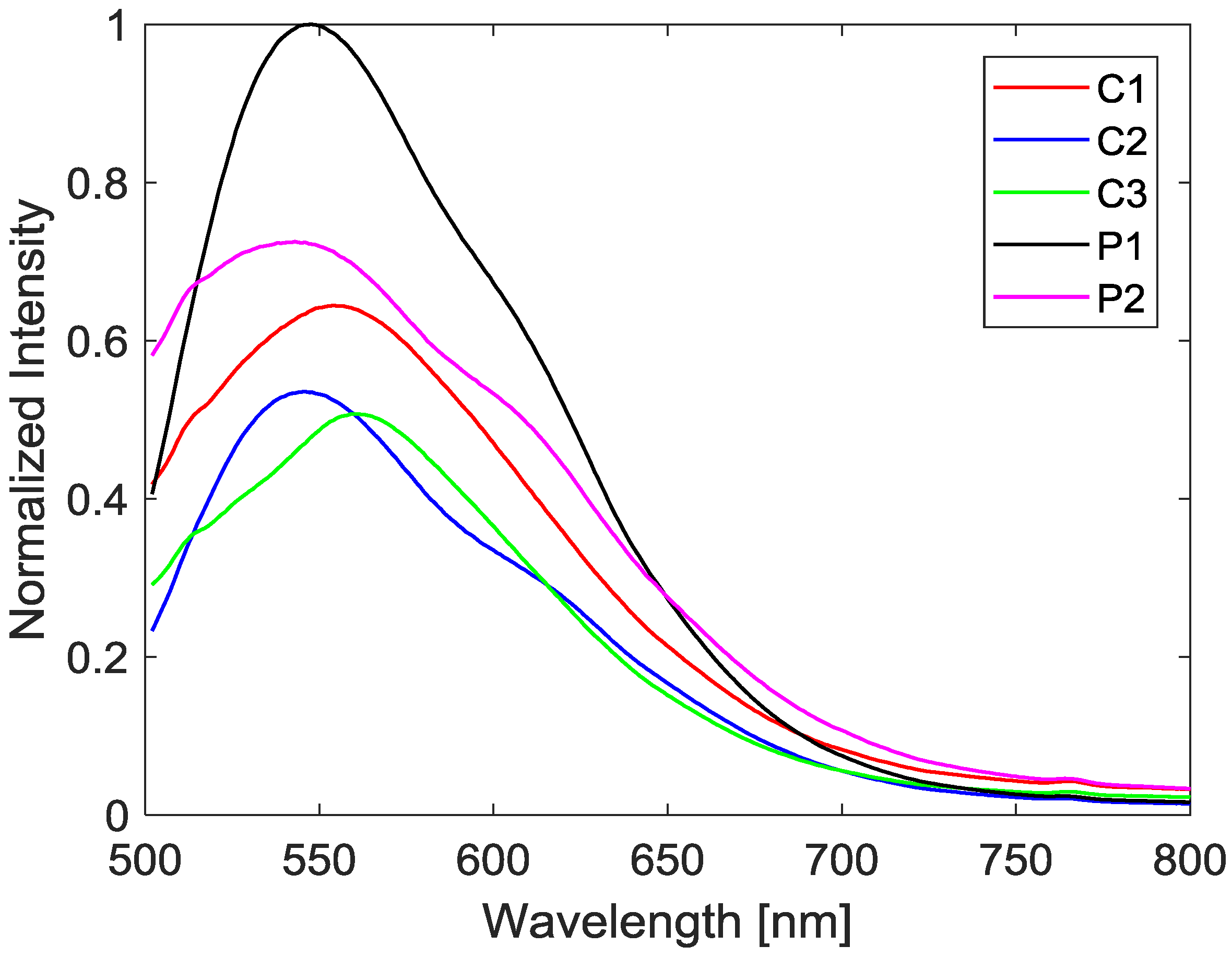
3.1. Emission and Excitation
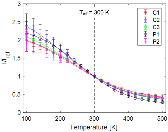
3.2. Luminescent Intensity
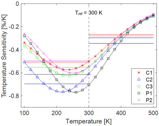
3.3. Temperature Sensitivity
3.4. Pressure Sensitivity
4. Discussion
5. Conclusions
Author Contributions
Acknowledgments
Conflicts of Interest
References
- Liu, T.; Sullivan, J.P. Pressure and Temperature Sensitive Paints; Springer: Berlin, Germany, 2005. [Google Scholar]
- Bell, J.H.; Schairer, E.T.; Hand, L.A.; Mehta, R.D. Surface pressure measurements using luminescent coatings. Annu. Rev. Fluid Mech. 2001, 33, 155–206. [Google Scholar] [CrossRef]
- Wang, X.; Wolfbeis, O.S.; Meier, R.J. Luminescent probes and sensors for temperature. Chem. Soc. Rev. 2013, 42, 7834–7869. [Google Scholar] [CrossRef] [PubMed]
- Liu, T.; Campbell, B.T.; Sullivan, J.P.; Lafferty, J.; Yanta, W. Heat transfer measurement on a waverider at mach 10 using fluorescent paint. J. Thermophys. Heat Transf. 1995, 9, 605–611. [Google Scholar] [CrossRef]
- Hubner, J.P.; Carroll, B.F.; Schanze, K.S.; Ji, H.F.; Holden, M.S. Temperature-and pressure-sensitive paint measurements in short-duration hypersonic flow. AIAA J. 2001, 39, 654–659. [Google Scholar] [CrossRef]
- Hubner, J.P.; Carroll, B.F.; Schanze, K.S. Heat-transfer measurements in hypersonic flow using luminescent coating techniques. J. Thermophys. Heat Transf. 2002, 16, 516–522. [Google Scholar] [CrossRef]
- Stich, M.I.J.; Wolfbeis, O.S. Fluorescence sensing and imaging using pressure-sensitive paints and temperature-sensitive paints. In Standardization and Quality Assurance in Fluorescence Measurements; Resch, U., Ed.; Springer: Berlin, Germany, 2008. [Google Scholar]
- Gregory, J.W.; Sakaue, H.; Liu, T.; Sullivan, J.P. Fast pressure-sensitive paint for flow and acoustic diagnostics. Annu. Rev. Fluid Mech. 2014, 46, 303–330. [Google Scholar] [CrossRef]
- Gregory, J.W.; Asai, K.; Kameda, M.; Liu, T.; Sullivan, J.P. A review of pressure-sensitive paint for high-speed and unsteady aerodynamics. J. Aerosp. Eng. 2008, 222, 249–290. [Google Scholar] [CrossRef]
- Wolfbeis, O.S. Sensor paints. Adv. Mater. 2008, 20. [Google Scholar] [CrossRef]
- Khalil, G.E.; Crafton, J.W.; Fonov, S.D.; Sellers, M.; Dabiri, D. Luminescent method for pressure measurement. Handb. Meas. Sci. Eng. II 2013, 16. [Google Scholar] [CrossRef]
- Egami, Y.; Matsuda, Y.; Yamaguchi, H.; Niimi, T. Property changes of temperature-sensitive paint immobilized in acrylic polymer matrices. Sens. Actuators B Chem. 2014, 195, 677–681. [Google Scholar] [CrossRef]
- Kameya, T.; Matsuda, Y.; Egami, Y.; Yamaguchi, H.; Niimi, T. Dual luminescent arrays sensor fabricated by inkjet-printing of pressure- and temperature-sensitive paints. Sens. Actuators B Chem. 2014, 190, 70–77. [Google Scholar] [CrossRef]
- Sakaue, H.; Aikawa, A.; Iijima, Y. Anodized-aluminum as quantum dot support for global temperature sensing from 100 to 500 K. Sens. Actuators B Chem. 2010, 150, 569–573. [Google Scholar] [CrossRef]
- Leite, J.L.; Pires, A.T.N.; Ulson de Souza, S.M.A.G.; Ulson de Souza, A.A. Characterization of a phenolic resin and sugar cane pulp composite. Braz. J. Chem. Eng. 2004, 21. [Google Scholar] [CrossRef]
- Laughton, M.A.; Say, M.G. Electrical Engineer’s Reference Book; Elsevier: New York, NY, USA, 1993. [Google Scholar]
- Nakamoto, H.; Shiine, K.; Suzuki, K.; Sakaue, H. Development of bakelite based temperature-sensitive paint and its application to hypersonic wind tunnel. In Proceedings of the 51st AIAA Aerospace Sciences Meeting including the New Horizons Forum and Aerospace Exposition, Grapevine, TX, USA, 7–10 January 2013. [Google Scholar]
- Kim, M.G.; Nieh, W.L.; Sellers, T., Jr.; Wilson, W.W.; Mays, J.W. Polymer solution properties of a phenol-formaldehyde resol resin by gel permeation chromatography, intrinsic viscosity, static light scattering, and vapor pressure osmometric methods. Ind. Eng. Chem. Res. 1992, 31, 973–979. [Google Scholar] [CrossRef]
- Ma, C.M.; Wu, H.; Chu, P.P.; Tseng, H. Prediction of thermodynamic properties of novolak-type phenolic resin and aliphatic polyester blends: Painter-coleman association model study of compositional homogeneity. Macromolecules 1997, 30, 5443–5449. [Google Scholar] [CrossRef]
- Hartikainen, J.; Lehtonen, O.; Harmia, T.; Lindner, M.; Valkama, S.; Ruokolainen, J.; Friedrich, K. Structure and morphology of polyamide 66 and oligomeric phenolic resin blends: molecular modeling and experimental investigations. Chem. Mater. 2004, 16, 3032–3039. [Google Scholar] [CrossRef]
- Deng, G.; Qiang, Z.; Lecorchick, W.; Cavicchi, K.A.; Vogt, B.D. Nanoporous nonwoven fibril-like morphology by cooperative self-assembly of poly(ethylene oxide)-block-poly(ethyl acrylate)-block-polystyrene and phenolic resin. Langmuir 2014, 30, 2530–2540. [Google Scholar] [CrossRef] [PubMed]
- The Editors of Encyclopedia Britannia. Bakelite: Chemical Compound. In Encyclopedia Britannia; Encyclopædia Britannica, Inc.: Chicago, IL, USA, 2009; Available online: https://www.britannica.com/science/Bakelite (accessed on 14 February 2017).
- Agrawal, R.; Saxena, N.S.; Sharma, K.B.; Thomas, S.; Sreekala, M.S. Activation energy and crystallization kinetics of untreated and treated oil palm fibre reinforced phenol formaldehyde composites. Mater. Sci. Eng. 2000, 277, 77–82. [Google Scholar] [CrossRef]
- Meikle, J.L. American Plastic: A Cultural History; Rutgers University Press: New Brunswick, NJ, USA, 1997. [Google Scholar]
- Shah, J.J.; Gaitan, M.; Geist, J. Generalized temperature measurement equations for rhodamine B dye solution and its application to microfluidics. Anal. Chem. 2009, 81, 8260–8263. [Google Scholar] [CrossRef] [PubMed]
- Claucherty, S.; Sakaue, H. An optical-chemical sensor using rhodamine B on anodized-aluminum for surface temperature measurement from 150 to 500 K. Sens. Actuators B Chem. 2017, 240, 956–961. [Google Scholar] [CrossRef]






| TSP | Temperature Range [°C] | Temperature Sensitivity [%/°C] |
|---|---|---|
| EuTTA in dope | −20 to 80 | −3.9 |
| Ru(bpy) in shellac | 0 to 90 | −0.93 |
| Ru(trpy) in GP-197 | −170 to −50 | −1.34 |
| Low (100–300 K) | High (300–500 K) | Sigmoidal | ||||
|---|---|---|---|---|---|---|
| δT | R2 | δT | R2 | Maximum δT | R2 | |
| C1 | −0.5 | 0.99 | −0.3 | 0.90 | −0.6 | 0.99 |
| C2 | −0.7 | 0.99 | −0.3 | 0.92 | −0.8 | 0.99 |
| C3 | −0.6 | 0.99 | −0.3 | 0.92 | −0.6 | 0.99 |
| P1 | −0.6 | 0.99 | −0.3 | 0.90 | −0.8 | 0.99 |
| P2 | −0.5 | 0.99 | −0.3 | 0.91 | −0.6 | 0.99 |
© 2018 by the authors. Licensee MDPI, Basel, Switzerland. This article is an open access article distributed under the terms and conditions of the Creative Commons Attribution (CC BY) license (http://creativecommons.org/licenses/by/4.0/).
Share and Cite
Claucherty, S.; Sakaue, H. Phenol-Formaldehyde Resin for Optical-Chemical Temperature Sensing. Sensors 2018, 18, 1756. https://doi.org/10.3390/s18061756
Claucherty S, Sakaue H. Phenol-Formaldehyde Resin for Optical-Chemical Temperature Sensing. Sensors. 2018; 18(6):1756. https://doi.org/10.3390/s18061756
Chicago/Turabian StyleClaucherty, Steven, and Hirotaka Sakaue. 2018. "Phenol-Formaldehyde Resin for Optical-Chemical Temperature Sensing" Sensors 18, no. 6: 1756. https://doi.org/10.3390/s18061756
APA StyleClaucherty, S., & Sakaue, H. (2018). Phenol-Formaldehyde Resin for Optical-Chemical Temperature Sensing. Sensors, 18(6), 1756. https://doi.org/10.3390/s18061756

