Adaptive Dynamic Programming-Based Multi-Sensor Scheduling for Collaborative Target Tracking in Energy Harvesting Wireless Sensor Networks
Abstract
:1. Introduction
2. Related Work
3. Basic Models
3.1. Solar Energy Harvesting Model of the Sensor Nodes
3.2. EKF-Based Prediction and Estimation Model for Target State
- : Step prediction for the (k + 1)-th time step using state estimation at the k-th time step.
- : State estimation at the (k + 1)-th time step.
- : Sampling time interval between two successive time steps.
- : Process noise at the k-th time step.
- : Covariance matrix of the process noise at the k-th time step.
- : Given scalar that represents the intensity of the process noise.
- : Measurement noise of sensor i at the k-th time step.
- : Measurement noise at the k-th time step.
- , : Covariance matrix of the measurement noise at the k-th time step.
- , : Measurement function at the k-th time step.
- : Jacobian matrix of h at with respect to .
- : Error covariance matrix of the state prediction for the (k + 1)-th time step.
- : Error covariance matrix of the state estimation at the (k + 1)-th time step.
- : Unit matrix.
- : Kalman gain at the (k + 1)-th time step.
3.3. Tracking Accuracy
4. The Optimal Sensor Scheduling Problem
4.1. System Assumptions
- The sensors and sink node are stationary.
- The sink node has strong computing ability and energy storage capacity with enough memory.
- The sink is aware of the locations of the sensor nodes.
- All sensor nodes are homogeneous (i.e., having the same sensing, processing, and communication capabilities).
- A sensor node and the sink node can communicate directly with each other via a single-hop link.
4.2. Target Tracking Mechanism
- Initialization. When the target enters the sensor field, the energy-harvesting sensor with enough energy that detects the target for the first time becomes the first tasking sensor. It sends the measurement to the sink node.
- State estimation and prediction. When the sink gets the new measurements, it estimates and predicts the state and error covariance by EKF.
- Sensor scheduling. Based on the above solar energy harvesting model, the sink performs the sensor scheduling by ADP-MSS to minimize the performance which consists of the predicted tracking accuracy and energy consumption.
- Mode swapping. The sink wakes up the tasking sensors for the current time step and switches the others to the sleeping mode via the low-power paging channel.
- Monitoring and transmitting. The tasking sensors monitor the target and transmit the measurements to the sink.
4.3. Energy Consumption Analysis
5. ADP-Based Optimal Multi-Sensor Scheduling Algorithm
5.1. The Proposed Algorithm
5.2. The ADP-MSS Implementation Process
| Algorithm 1 ADP-MSS |
| 1: set the value of , , , , , , |
| 2: select the initial value of , randomly from a given region |
| 3: set i = 0; , and termination = false |
| 4: while (termination = false) do |
| 5: (Action) |
| 6: (Model) |
| 7: (Critic Network) |
| 8: (HJB equation) |
| 9: (Critic Network) |
| 10: |
| 11: |
| 12: if or then |
| 13: termination = true |
| 14: else |
| 15: updated the weight , by the steepest descent method |
| 16: end if |
| 17: end while |
| 18: return: |
6. Performance Analysis
6.1. Theoretical Analysis
6.2. Simulation Results
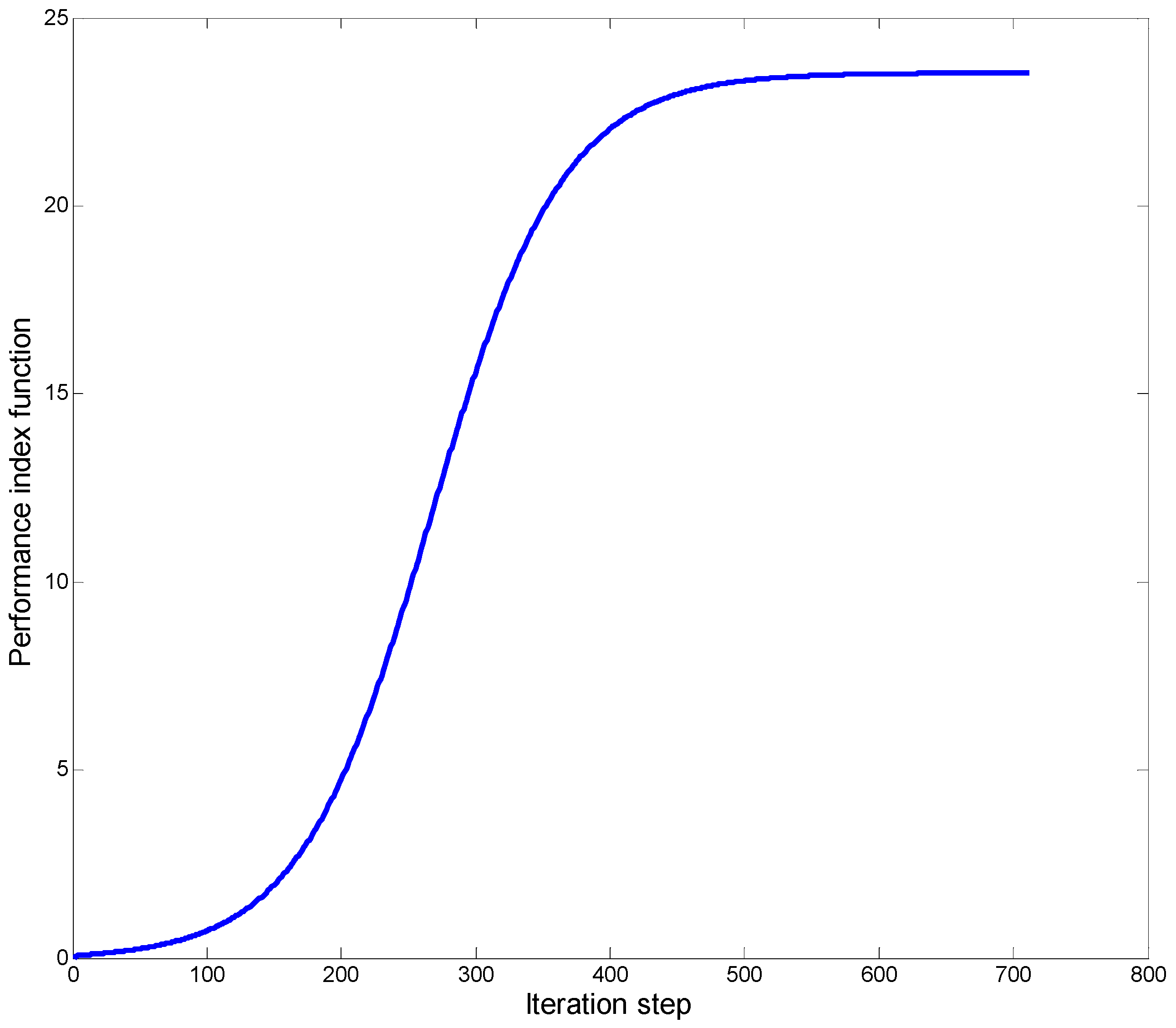
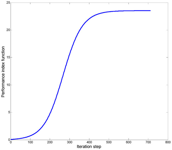
- The performance index of ADP-MSS was monotonically non-decreasing and converged.
- The multi-sensor scheduling schemes were more stable and reliable than the single one.
- The proposed ADP-MSS could achieve global performance optimality.
7. Conclusions
Author Contributions
Funding
Conflicts of Interest
References
- Ma, J.J.; Meng, F.S.; Zhou, Y.X.; Wang, Y.Y.; Shi, P. Distributed water pollution source localization with mobile UV-visible spectrometer probes in wireless sensor networks. Sensors 2018, 18, 606. [Google Scholar] [CrossRef] [PubMed]
- Mortazavi, S.H.; Salehe, M.; MacGregor, M.H. Maximum WSN coverage in environments of heterogeneous path loss. Int. J. Sens. Netw. 2014, 16, 185–198. [Google Scholar] [CrossRef]
- Touati, F.; Mnaouer, A.B.; Erdene-Ochir, O.; Mehmood, W.; Hassan, A.; Gaabab, B. Feasibility and performance evaluation of a 6LoWPAN-enabled platform for ubiquitous healthcare monitoring. Wirel. Commun. Mob. Comput. 2016, 16, 1271–1281. [Google Scholar] [CrossRef]
- Tang, D.; Yusuf, B.; Botzheim, J.; Kubota, N.; Chan, C.S. A novel multimodal communication framework using robot partner for aging population. Expert Syst. Appl. 2015, 42, 4540–4555. [Google Scholar] [CrossRef]
- Odat, E.; Shamma, J.S.; Claudel, C. Vehicle classification and speed estimation using combined passive infrared/ultrasonic sensors. IEEE Trans. Intell. Transp. Syst. 2018, 19, 1593–1606. [Google Scholar] [CrossRef]
- Yan, D.M.; Wang, J.K. Sensor scheduling algorithm target tracking-oriented. Wirel. Sens. Netw. 2011, 3, 295–299. [Google Scholar] [CrossRef]
- Chen, H.; Zhang, S.; Liu, M.; Zhang, Q. An artificial measurements-based adaptive filter for energy-efficient target tracking via underwater wireless sensor networks. Sensors 2017, 17, 971. [Google Scholar] [CrossRef] [PubMed]
- Reisi, A.R.; Moradi, M.H.; Jamasb, S. Classification and comparison of maximum power point tracking techniques for photovoltaic system: A review. Renew. Sustain. Energy Rev. 2013, 19, 433–443. [Google Scholar] [CrossRef]
- Wang, J.L.; Zhao, G.F.; Zhang, M.; Zhang, Z.E. Efficient study of a coarse structure number on the bluff body during the harvesting of wind energy. Energy Sources Part A Recov. Util. Environ. Eff. 2018, 40, 1788–1797. [Google Scholar] [CrossRef]
- Prijic, A.; Vracar, L.; Vuckovic, D.; Prijic, Z. Thermal energy harvesting wireless sensor node in aluminum core PCB technology. IEEE Sens. J. 2015, 15, 337–345. [Google Scholar] [CrossRef]
- Hou, L.Q.; Tan, S.D.; Zhang, Z.J.; Bergmann, N.W. Thermal energy harvesting WSNs node for temperature monitoring in IIoT. IEEE Access 2018, 6, 35243–35249. [Google Scholar] [CrossRef]
- Liu, J.X.; Xiong, K.; Fan, P.Y.; Zhang, Z.D. RF energy harvesting wireless powered sensor networks for smart cities. IEEE Access 2017, 5, 9348–9358. [Google Scholar] [CrossRef]
- Kausar, A.S.M.Z.; Reza, A.W.; Saleh, M.U.; Ramiah, H. Energizing wireless sensor networks by energy harvesting systems: Scopes, challenges and approaches. Renew. Sustain. Energy Rev. 2014, 38, 973–989. [Google Scholar] [CrossRef]
- Werbos, P.J. Advanced forecasting methods for global crisis warning and models of intelligence. Gen. Syst. Yearb. 1977, 22, 25–38. [Google Scholar]
- Song, R.Z.; Xiao, W.D.; Zhang, H.G.; Sun, C.Y. Adaptive dynamic programming for a class of complex-valued nonlinear systems. IEEE Trans. Neural Netw. Learn. Syst. 2014, 25, 1733–1739. [Google Scholar] [CrossRef]
- Song, R.Z.; Xiao, W.D.; Sun, C.Y. A new self-learning optimal control laws for a class of discrete-time nonlinear systems based on ESN architecture. Sci. China Inf. Sci. 2014, 57, 1–10. [Google Scholar] [CrossRef]
- Song, R.Z.; Xiao, W.D.; Wei, Q.L.; Sun, C.Y. Neural-network-based approach to finite-time optimal control for a class of unknown nonlinear systems. Soft Comput. 2014, 18, 1645–1653. [Google Scholar] [CrossRef]
- Wei, Q.L.; Liu, D.R.; Lin, H.Q. Value iteration adaptive dynamic programming for optimal control of discrete-time nonlinear systems. IEEE Trans. Cybern. 2016, 46, 840–853. [Google Scholar] [CrossRef] [PubMed]
- Zhang, H.G.; Zhang, X.; Luo, Y.H.; Yang, J. An overview of research on adaptive dynamic programming. Acta Autom. Sin. 2013, 39, 303–311. [Google Scholar] [CrossRef]
- Song, R.Z.; Wei, Q.L.; Xiao, W.D. ADP-based optimal sensor scheduling for target tracking in energy harvesting wireless sensor networks. Neural Comput. Appl. 2016, 27, 1543–1551. [Google Scholar] [CrossRef]
- Xiao, W.D.; Wu, J.K.; Xie, L.H.; Dong, L. Sensor scheduling for target tracking in networks of active sensors. Acta Autom. Sin. 2006, 32, 922–928. [Google Scholar] [CrossRef]
- Zhang, F.; Chen, J.M.; Li, H.B.; Sun, Y.X.; Shen, X.M.(S.). Distributed active sensor scheduling for target tracking in ultrasonic sensor networks. Mob. Netw. Appl. 2012, 17, 582–593. [Google Scholar] [CrossRef]
- Wang, Y.; Wand, D. Energy-efficient node selection for target tracking in wireless sensor networks. Int. J. Distrib. Sens. Netw. 2013, 2013, 1–6. [Google Scholar] [CrossRef]
- Medeiros, H.; Park, J.; Kak, A. Distributed object tracking using a cluster-based Kalman filter in wireless camera networks. IEEE J. Sel. Top. Signal Process. 2008, 2, 448–463. [Google Scholar] [CrossRef]
- Cheng, P.; Zhang, F.; Chen, J.M.; Sun, Y.X.; Shen, X.M. A distributed TDMA scheduling algorithm for target tracking in ultrasonic sensor networks. IEEE Trans. Ind. Electron. 2013, 60, 3836–3845. [Google Scholar] [CrossRef]
- Jiang, B.; Ravindran, B.; Hyeonjoong, C. Probability-based prediction and sleep scheduling for energy-efficient target tracking in sensor networks. IEEE. Trans. Mob. Comput. 2013, 12, 735–747. [Google Scholar] [CrossRef]
- Madaan, A.; Makki, S.K.; Osborne, L.; Sun, B. An Intelligent Energy Efficient Target Tracking Scheme for Wireless Sensor Environment. In Proceedings of the IEEE International Symposium on Wireless Pervasive Computing, Modena, Italy, 5–7 May 2010. [Google Scholar]
- Xiao, W.D.; Xie, L.H.; Chen, J.F.; Shue, L. Multi-Step Adaptive Sensor Scheduling for Target Tracking in Wireless Sensor Networks. In Proceedings of the IEEE International Conference on Acoustics Speech and Signal Processing Proceedings, Toulouse, France, 14–19 May 2006. [Google Scholar]
- Song, B.; Xiao, W.D.; Zhang, Z.H. Multi-Step Sensor Scheduling for Energy-Efficient High-Accuracy Collaborative Target Tracking in Wireless Sensor Networks. Green Computing and Communications (GreenCom). In Proceedings of the 2013 IEEE and Internet of Things (iThings/CPSCom), IEEE International Conference on and IEEE Cyber, Physical and Social Computing, Beijing, China, 20–23 August 2013. [Google Scholar]
- Lin, J.Y.; Xiao, W.D.; Lewis, F.L.; Xie, L.H. Energy-efficient Distributed Adaptive Multisensor Scheduling for Target Tracking in Wireless Sensor Networks. IEEE Trans. Instrum. Meas. 2009, 58, 1886–1896. [Google Scholar] [CrossRef]
- Xiao, W.D.; Zhang, S.; Lin, J.Y.; Tham, C.K. Energy-efficient adaptive sensor scheduling for target tracking in wireless sensor networks. J. Control Theor. Appl. 2010, 8, 86–92. [Google Scholar] [CrossRef]
- Huber, M.F. Optimal pruning for multi-step sensor scheduling. IEEE Trans. Autom. Control 2012, 57, 1338–1343. [Google Scholar] [CrossRef]
- Maheswararajah, S.; Halgamuge, S.K.; Premaratne, M. Sensor scheduling for target tracking by suboptimal algorithms. IEEE Trans. Veh. Technol. 2009, 58, 1467–1479. [Google Scholar] [CrossRef]
- Zhang, Q.; Liu, M.; Zhang, S. Node topology effect on target tracking based on UWSNs using quantized measurements. IEEE Trans. Cybern. 2015, 45, 2323–2335. [Google Scholar] [CrossRef] [PubMed]
- Blasco, P.; Gunduz, D.; Dohler, M. A learning theoretic approach to energy harvesting communication system optimization. IEEE Trans. Wirel. Commun. 2013, 12, 1872–1882. [Google Scholar] [CrossRef]
- Qiu, C.R.; Hu, Y.; Chen, Y.; Zeng, B. Lyapunov optimization for energy harvesting wireless sensor communications. IEEE Internet Things J. 2018, 5, 1947–1956. [Google Scholar] [CrossRef]
- Caruso, A.; Chessa, S.; Escolar, S.; Toro, X.D.; López, J.C. A dynamic programming algorithm for high-level task scheduling in energy harvesting IoT. IEEE Internet Things J. 2018, 5, 2234–2248. [Google Scholar] [CrossRef]
- Hou, Z.S.; Xu, J.X. On data-driven control theory: The state of the art and perspective. Acta Autom. Sin. 2009, 35, 650–667. [Google Scholar] [CrossRef]
- Zhao, P.; Nagamune, R. Switching LPV controller design under uncertain scheduling parameters. Automatica 2017, 76, 243–250. [Google Scholar] [CrossRef]
- Sato, M.; Peaucelle, D. A new method for gain-scheduled output feedback controller design using inexact scheduling parameters. In Proceedings of the 2018 IEEE Conference on Control Technology and Applications, Copenhagen, Denmark, 21–24 August 2018. [Google Scholar]
- Lee, J.M.; Lee, J.H. Approximate dynamic programming-based approaches for input-output data-driven control of nonlinear processes. Automatica 2005, 41, 1281–1288. [Google Scholar] [CrossRef]
- Hou, Z.S.; Jin, S.T. A novel data-driven control approach for a class of discrete-time nonlinear systems. IEEE Trans. Control Syst. Technol. 2011, 19, 1549–1558. [Google Scholar] [CrossRef]
- Ji, H.H.; Hou, Z.S.; Fan, L.L.; Lewis, F.L. Adaptive iterative learning reliable control for a class of non-linearly parameterised systems with unknown state delays and input saturation. IET Control. Theor. Appl. 2016, 10, 2160–2174. [Google Scholar] [CrossRef]
- Rosas, A.D.; Velazquez, V.K.; Olivares, F.L.; Camacho, T.A.; Williams, I. Methodology to assess quality of estimated disturbances in active disturbance rejection control structure for mechanical system. ISA Trans. 2017, 70, 238–247. [Google Scholar] [CrossRef] [PubMed]
- Roman, R.C.; Precup, R.E.; David, R.C. Second order intelligent proportional-integral fuzzy control of twin rotor aerodynamic systems. Procedia Comput. Sci. 2018, 139, 372–380. [Google Scholar] [CrossRef]
- Vrkalovic, S.; Lunca, E.C.; Borlea, I.D. Model-free sliding mode and fuzzy controllers for reverse osmosis desalination plants. Int. J. Artif. Intell. 2018, 16, 208–222. [Google Scholar]
- Zhang, H.G.; Cui, L.L.; Zhang, X.; Luo, Y.H. Data-driven robust approximate optimal tracking control for unknown general nonlinear systems using adaptive dynamic programming method. IEEE Trans. Neural Netw. 2011, 22, 2226–2236. [Google Scholar] [CrossRef] [PubMed]
- Wei, Q.L.; Song, R.Z.; Yan, P.F. Data-driven zero-sum neuro-optimal control for a class of continuous-time unknown nonlinear systems with disturbance using ADP. IEEE Trans. Neural Netw. Learn. Syst. 2016, 27, 444–458. [Google Scholar] [CrossRef] [PubMed]
- Jiang, H.; Zhang, H.G.; Zhang, K.; Cui, X.H. Data-driven adaptive dynamic programming schemes for non-zero-sum games of unknown discrete-time nonlinear systems. Neurocomputing 2018, 275, 649–658. [Google Scholar] [CrossRef]
- Jiang, H.; Luo, Y.H. Data-driven approximate optimal tracking control schemes for unknown non-affine non-linear multi-player systems via adaptive dynamic programming. IET Electron. Lett. 2017, 53, 465–467. [Google Scholar] [CrossRef]
- Wei, Q.L.; Shi, G.; Song, R.Z.; Liu, Y. Adaptive dynamic programming-based optimal control scheme for energy storage systems with solar renewable energy. IEEE Trans. Ind. Electron. 2017, 64, 5468–5478. [Google Scholar] [CrossRef]
- Wei, Q.L.; Liu, D.R.; Lewis, F.L.; Liu, Y.; Zhang, J. Mixed iterative adaptive dynamic programming for optimal battery energy control in smart residential microgrids. IEEE Trans. Ind. Electron. 2017, 64, 4110–4120. [Google Scholar] [CrossRef]
- Xiao, W.D.; Liu, F.; Zhang, J.J. Adaptive Dynamic Programming for Multi-Point Scheduling in Energy Harvesting Wireless Sensor Networks. In Proceedings of the 2015 IEEE 12th International Conference on Ubiquitous Intelligence and Computing and 2015 IEEE 12th International Conference on Autonomic and Trusted Computing and 2015 IEEE 15th International Conference on Scalable Computing and Communications and Its Associated Workshops, Beijing, China, 10–14 August 2015. [Google Scholar]
- Chen, H.B.; Zeng, Q.; Zhao, F. Efficient sleep scheduling algorithm for target tracking in double-storage energy harvesting sensor networks. Int. J. Distrib. Sens. Netw. 2016, 2016, 1–8. [Google Scholar] [CrossRef]
- Kalman, R.E.; Bucy, R.S. New results in linear filtering and prediction theory. J. Basic Eng. 1961, 83, 95–108. [Google Scholar] [CrossRef]








| Parameters | Value |
|---|---|
| Parameters | Value |
|---|---|
| process noise parameter q | 1 |
| coefficient | 0.10 |
| discount factor | 0.70 |
| learning rate | 0.20 |
| sampling interval | 0.05 s |
| Packet size in each transmission | 10 bits |
| number of nodes in the NN hidden layer | 30 |
| initial location of the target | (8.81, 6.23) |
| computation precision | 1 × 10−3 |
| max iteration step MI in ADP algorithm | 1000 |
© 2018 by the authors. Licensee MDPI, Basel, Switzerland. This article is an open access article distributed under the terms and conditions of the Creative Commons Attribution (CC BY) license (http://creativecommons.org/licenses/by/4.0/).
Share and Cite
Liu, F.; Xiao, W.; Chen, S.; Jiang, C. Adaptive Dynamic Programming-Based Multi-Sensor Scheduling for Collaborative Target Tracking in Energy Harvesting Wireless Sensor Networks. Sensors 2018, 18, 4090. https://doi.org/10.3390/s18124090
Liu F, Xiao W, Chen S, Jiang C. Adaptive Dynamic Programming-Based Multi-Sensor Scheduling for Collaborative Target Tracking in Energy Harvesting Wireless Sensor Networks. Sensors. 2018; 18(12):4090. https://doi.org/10.3390/s18124090
Chicago/Turabian StyleLiu, Fen, Wendong Xiao, Shuai Chen, and Chengpeng Jiang. 2018. "Adaptive Dynamic Programming-Based Multi-Sensor Scheduling for Collaborative Target Tracking in Energy Harvesting Wireless Sensor Networks" Sensors 18, no. 12: 4090. https://doi.org/10.3390/s18124090
APA StyleLiu, F., Xiao, W., Chen, S., & Jiang, C. (2018). Adaptive Dynamic Programming-Based Multi-Sensor Scheduling for Collaborative Target Tracking in Energy Harvesting Wireless Sensor Networks. Sensors, 18(12), 4090. https://doi.org/10.3390/s18124090
