Hyperspectral Imaging for Evaluating Impact Damage to Mango According to Changes in Quality Attributes
Abstract
1. Introduction
2. Materials and Methods
2.1. Experimental Procedure
- (1)
- Obtain hyperspectral data and quality attributes of damaged and undamaged mangoes.
- (2)
- Develop prediction models for the correlations between spectral data and quality parameters of tested mango samples for non-destructive quality prediction of individual mango.
- (3)
- Develop a classification model between spectral data and RPI values derived from quality parameters for the prediction of degree of impact damage to mango.
2.2. Preparation of Mango Samples
2.3. Hyperspectral Image Acquisition
2.4. Determination of Quality Attributes
2.4.1. Pulp Firmness
2.4.2. Total Soluble Solids
2.4.3. Titratable Acidity
2.4.4. Flesh Color
2.4.5. Ripening Index
3. Spectral Analysis
3.1. Spectral Preprocessing Methods
3.2. Modeling Procedure
4. CARS
4.1. PLS Modeling
4.2. Classification of Damage Degree
5. Results and Discussion
5.1. Quality Characteristics after Damage
5.2. Spectral Analysis
5.3. Modeling Results
5.4. Classification
6. Conclusions
Author Contributions
Funding
Conflicts of Interest
References
- Jahurul, M.H.; Zaidul, I.S.; Ghafoor, K.; Aljuhaimi, F.Y.; Nyam, K.L.; Norulaini, N.A.; Sahena, F.; Mohd Omar, A.K. Mango (Mangifera indica L.) by-products and their valuable components: A review. Food Chem. 2015, 183, 173. [Google Scholar] [CrossRef] [PubMed]
- Marques, E.J.; de Freitas, S.T.; Pimentel, M.F.; Pasquini, C. Rapid and non-destructive determination of quality parameters in the ’Tommy Atkins’ mango using a novel handheld near infrared spectrometer. Food Chem. 2016, 197, 1207–1214. [Google Scholar] [CrossRef] [PubMed]
- El-Shickh, F.A. Effect of Harvesting Method on Quality and Storability of Grapefruits. Univ. Khartoum J. Agric. Sci. 2008, 16, 1–14. [Google Scholar]
- Li, Z.; Li, P.; Liu, J. Effect of mechanical damage on mass loss and water content in tomato fruits. Int. Agrophys. 2011, 25, 77–83. [Google Scholar]
- Li, Z.; Thomas, C. Quantitative evaluation of mechanical damage to fresh fruits. Trends Food Sci. Technol. 2014, 35, 138–150. [Google Scholar] [CrossRef]
- Ahmadi, E.; Ghassemzadeh, H.R.; Sadeghi, M.; Moghaddam, M.; Neshat, S.Z. The effect of impact and fruit properties on the bruising of peach. J. Food Eng. 2010, 97, 110–117. [Google Scholar] [CrossRef]
- Baranowski, P.; Mazurek, W.; Wozniak, J.; Majewska, U. Detection of early bruises in apples using hyperspectral data and thermal imaging. J. Food Eng. 2012, 110, 345–355. [Google Scholar] [CrossRef]
- Blasco, J.; Aleixos, N.; Gómezsanchís, J.; Moltó, E. Recognition and classification of external skin damage in citrus fruits using multispectral data and morphological features. Biosyst. Eng. 2009, 103, 137–145. [Google Scholar] [CrossRef]
- Mohammadiaylar, S.; Jamaatiesomarin, S.; Azimi, J. Effect of stage of ripening on mechanical damage in tomato fruits. Am. Eurasian J. Agric. Environ. Sci. 2010, 9, 297–302. [Google Scholar]
- Li, Z.; Li, P.; Liu, J. Physical and mechanical properties of tomato fruits as related to robot’s harvesting. J. Food Eng. 2011, 103, 170–178. [Google Scholar] [CrossRef]
- Lien, C.-C.; Ay, C.; Ting, C.H. Non-destructive impact test for assessment of tomato maturity. J. Food Eng. 2009, 91, 402–407. [Google Scholar] [CrossRef]
- Lien, C.C.; Ting, C.H. Assessing guava maturity by statistical analyses of dropped fruit impact responses. Postharvest Biol. Technol. 2014, 95, 20–27. [Google Scholar] [CrossRef]
- Vursavus, K.K.; KesīLmis, Z. Modeling of impact parameters for nondestructive evaluation of firmness of greenhouse tomatoes. Agron. Res. 2016, 14, 1498–1508. [Google Scholar]
- Caporaso, N.; Whitworth, M.B.; Grebby, S.; Fisk, I.D. Non-destructive analysis of sucrose, caffeine and trigonelline on single green coffee beans by hyperspectral imaging. Food Res. Int. 2018, 106, 193–203. [Google Scholar] [CrossRef] [PubMed]
- Caporaso, N.; Whitworth, M.; Fisk, I. Application of calibrations to hyperspectral images of food grains: Example for wheat falling number. J. Spectral Imaging 2017, 6, 1–15. [Google Scholar] [CrossRef]
- Lorente, D.; Aleixos, N.; Gómez-Sanchis, J.; Cubero, S.; García-Navarrete, O.L.; Blasco, J. Recent Advances and Applications of Hyperspectral Imaging for Fruit and Vegetable Quality Assessment. Food Bioprocess Technol. 2012, 5, 1121–1142. [Google Scholar] [CrossRef]
- Elmasry, G.; Kamruzzaman, M.; Sun, D.W.; Allen, P. Principles and applications of hyperspectral imaging in quality evaluation of agro-food products: A review. Crit. Rev. Food Sci. Nutr. 2012, 52, 999–1023. [Google Scholar] [CrossRef] [PubMed]
- Wang, N.-N.; Sun, D.-W.; Yang, Y.-C.; Pu, H.; Zhu, Z. Recent Advances in the Application of Hyperspectral Imaging for Evaluating Fruit Quality. Food Anal. Methods 2015, 9, 1–14. [Google Scholar] [CrossRef]
- Taghizadeh, M.; Gowen, A.A.; O’Donnell, C.P. Comparison of hyperspectral imaging with conventional RGB imaging for quality evaluation of Agaricus bisporus mushrooms. Biosyst. Eng. 2011, 108, 191–194. [Google Scholar] [CrossRef]
- Sun, D.W. Hyperspectral Imaging for Food Quality Analysis and Control; Elsevier: Amsterdam, The Netherlands, 2010; pp. 471–477. [Google Scholar]
- Wang, N.N.; Yang, Y.C.; Sun, D.W.; Pu, H.; Zhu, Z. Shelf-Life Prediction of ‘Gros Michel’ Bananas with Different Browning Levels Using Hyperspectral Reflectance Imaging. Food Anal. Methods 2015, 8, 1173–1184. [Google Scholar] [CrossRef]
- Cho, B.K.; Kim, M.S.; Baek, I.S.; Kim, D.Y.; Lee, W.H.; Kim, J.; Bae, H.; Kim, Y.S. Detection of cuticle defects on cherry tomatoes using hyperspectral fluorescence imagery. Postharvest Biol. Technol. 2013, 76, 40–49. [Google Scholar] [CrossRef]
- Gowen, A.; Burger, J.; Esquire, C.; Downey, G.; O’Donnell, C. Near infrared hyperspectral image regression: On the use of prediction maps as a tool for detecting model overfitting. J. Near Infrared Spectrosc. 2014, 22, 261. [Google Scholar] [CrossRef]
- Delwiche, S.R.; Mekwatanakarn, W.; Wang, C.Y. Soluble Solids and Simple Sugars Measurement in Intact Mango Using Near Infrared Spectroscopy. Horttechnology 2008, 18, 410–416. [Google Scholar]
- Jha, S.N.; Jaiswal, P.; Narsaiah, K.; Gupta, M.; Bhardwaj, R.; Singh, A.K. Non-destructive prediction of sweetness of intact mango using near infrared spectroscopy. Sci. Hortic. 2012, 138, 171–175. [Google Scholar] [CrossRef]
- Jha, S.N.; Narsaiah, K.; Jaiswal, P.; Bhardwaj, R.; Gupta, M.; Kumar, R.; Sharma, R. Nondestructive prediction of maturity of mango using near infrared spectroscopy. J. Food Eng. 2014, 124, 152–157. [Google Scholar] [CrossRef]
- Subedi, P.P.; Walsh, K.B. Assessment of sugar and starch in intact banana and mango fruit by SWNIR spectroscopy. Postharvest Biol. Technol. 2011, 62, 238–245. [Google Scholar] [CrossRef]
- Valente, M.; Leardi, R.; Self, G.; Luciano, G.; Pain, J.P. Multivariate calibration of mango firmness using vis/NIR spectroscopy and acoustic impulse method. J. Food Eng. 2009, 94, 7–13. [Google Scholar] [CrossRef]
- Mahayothee, B.; Neidhart, S.; Carle, R.; Mühlbauer, W. Effects of variety, ripening condition and ripening stage on the quality of sulphite-free dried mango slices. Eur. Food Res. Technol. 2007, 225, 723–732. [Google Scholar] [CrossRef]
- Tang, G.; Huang, Y.; Tian, K.; Song, X.; Yan, H.; Hu, J.; Xiong, Y.; Min, S. A new spectral variable selection pattern using competitive adaptive reweighted sampling combined with successive projections algorithm. Analyst 2014, 139, 4894–4902. [Google Scholar] [CrossRef] [PubMed]
- Vélez-Rivera, N.; Blasco, J.; Chanona-Pérez, J.; Calderón-Domínguez, G.; Perea-Flores, M.D.J.; Arzate-Vázquez, I.; Cubero, S.; Farrera-Rebollo, R. Computer Vision System Applied to Classification of “Manila” Mangoes During Ripening Process. Food Bioprocess Technol. 2014, 7, 1183–1194. [Google Scholar] [CrossRef]
- Rungpichayapichet, P.; Mahayothee, B.; Nagle, M.; Khuwijitjaru, P.; Müller, J. Robust NIRS models for non-destructive prediction of postharvest fruit ripeness and quality in mango. Postharvest Biol. Technol. 2016, 111, 31–40. [Google Scholar] [CrossRef]
- Golic, M.; Walsh, K.; Lawson, P. Short-wavelength near-infrared spectra of sucrose, glucose, and fructose with respect to sugar concentration and temperature. Appl. Spectrosc. 2003, 57, 139. [Google Scholar] [CrossRef] [PubMed]
- Bobelyn, E.; Serban, A.S.; Nicu, M.; Lammertyn, J.; Nicolai, B.M.; Saeys, W. Postharvest quality of apple predicted by NIR-spectroscopy: Study of the effect of biological variability on spectra and model performance. Postharvest Biol. Technol. 2010, 55, 133–143. [Google Scholar] [CrossRef]
- Matjafri, M.Z. Peak Response Identification through Near-Infrared Spectroscopy Analysis on Aqueous Sucrose, Glucose, and Fructose Solution. Spectrosc. Lett. 2012, 45, 190–201. [Google Scholar]
- Omar, A.F.; Atan, H.; Matjafri, M.Z. NIR spectroscopic properties of aqueous acids solutions. Molecules 2012, 17, 7440. [Google Scholar] [CrossRef] [PubMed]
- Wetterlind, J.; Bo, S.; Jonsson, A. Near infrared reflectance spectroscopy compared with soil clay and organic matter content for estimating within-field variation in N uptake in cereals. Plant Soil 2008, 302, 317–327. [Google Scholar] [CrossRef]
- Magwaza, L.S.; Opara, U.L.; Nieuwoudt, H.; Cronje, P.J.R.; Saeys, W.; Nicolaï, B. NIR Spectroscopy Applications for Internal and External Quality Analysis of Citrus Fruit—A Review. Food Bioprocess Technol. 2012, 5, 425–444. [Google Scholar] [CrossRef]
- Osborne, B.G.; Fearn, T.; Hindle, P.H. Practical NIR Spectroscopy with Applications in Food and Beverage Analysis; Longman Scientific and Technical: Harlow, UK, 1993. [Google Scholar]
- Shurvell, H.F. Spectra–Structure Correlations in the Mid- and Far-Infrared; John Wiley & Sons, Ltd.: Hoboken, NJ, USA, 2006. [Google Scholar]
- Guthrie, J.A.; Walsh, K.B.; Reid, D.J.; Liebenberg, C.J. Assessment of internal quality attributes of mandarin fruit. 1. NIR calibration model development. Aust. J. Agricul. Res. 2005, 56, 417–426. [Google Scholar] [CrossRef]
- Schmilovitch, Z.; Mizrach, A.; Hoffman, A.; Egozi, H.; Fuchs, Y. Determination of mango physiological indices by near-infrared spectrometry. Postharvest Biol. Technol. 2000, 19, 245–252. [Google Scholar] [CrossRef]







| Parameter | Drop Height | Day1 | Day3 | Day5 | |||
|---|---|---|---|---|---|---|---|
| (m) | Mean | SD | Mean | SD | Mean | SD | |
| 0.5 | 48.79 | 7.09 | 40.85 | 6.42 | 35.31 | 5.94 | |
| Firmness (N) | 1.0 | 44.16 | 7.11 | 37.4 | 7.31 | 30.32 | 5.28 |
| 1.5 | 40.51 | 6.19 | 35.66 | 6.24 | 27.72 | 4.08 | |
| 0.5 | 10.05 | 1.01 | 11.27 | 1.16 | 11.31 | 1.33 | |
| TSS (oBrix) | 1.0 | 10.54 | 0.51 | 11.76 | 1.12 | 12.46 | 0.85 |
| 1.5 | 11.19 | 0.6 | 11.87 | 0.91 | 13.2 | 2.11 | |
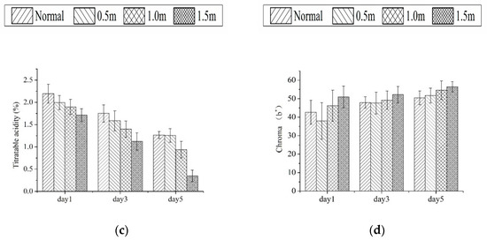
| 0.5 | 1.99 | 0.16 | 1.59 | 0.42 | 1.26 | 0.15 | |
| TA (%) | 1.0 | 1.89 | 0.17 | 1.40 | 0.11 | 0.94 | 0.19 |
| 1.5 | 1.71 | 0.14 | 1.12 | 0.18 | 0.35 | 0.13 | |
| 0.5 | 38.03 | 9.86 | 47.66 | 5.86 | 51.71 | 4.0 | |
| Chroma(b*) | 1.0 | 46.25 | 8.38 | 49.22 | 4.95 | 54.52 | 5.01 |
| 1.5 | 50.92 | 5.83 | 52.24 | 4.45 | 56.51 | 2.79 | |
| 0.5 | 6.88 | 0.24 | 6.4 | 0.38 | 6.13 | 0.17 | |
| RPI | 1.0 | 6.76 | 0.23 | 6.08 | 0.2 | 5.3 | 0.58 |
| 1.5 | 6.29 | 0.02 | 5.73 | 0.55 | 3.78 | 0.69 | |
| Parameter | Drop Height | Day1 | Day3 | Day5 | |||
|---|---|---|---|---|---|---|---|
| (m) | RP2 | RMSEP | RP2 | RMSEP | RP2 | RMSEP | |
| 0.5 | 0.45 | 4.29 | 0.79 | 3.57 | 0.84 | 3.16 | |
| Firmness (N) | 1 | 0.79 | 1.86 | 0.67 | 3.52 | 0.74 | 2.17 |
| 1.5 | 0.8 | 2.46 | 0.57 | 3.53 | 0.43 | 4.57 | |
| 0.5 | 0.71 | 0.45 | 0.72 | 0.54 | 0.73 | 0.77 | |
| TSS (oBrix) | 1 | 0.66 | 0.21 | 0.89 | 0.36 | 0.9 | 0.49 |
| 1.5 | 0.88 | 0.16 | 0.87 | 0.38 | 0.64 | 1.28 | |
| 0.5 | -0.07 | 0.13 | 0.65 | 0.1 | -6.92 | 0.28 | |
| TA (%) | 1 | 0.58 | 0.06 | 0.22 | 0.16 | 0.46 | 0.11 |
| 1.5 | 0.48 | 0.12 | 0.58 | 0.14 | 0.62 | 0.07 | |
| 0.5 | 0.57 | 3.63 | 0.76 | 1.69 | 0.88 | 1.6 | |
| Chroma (∆b*) | 1 | 0.63 | 4.46 | 0.91 | 1.89 | 0.94 | 0.96 |
| 1.5 | 0.88 | 1.72 | 0.8 | 2.91 | 0.82 | 1.15 | |
| Actual Group (%) | Classified Group (%) | Total (%) | |||
|---|---|---|---|---|---|
| Slight | Moderate | Serious | |||
| Training set | Slight | 83.3 | 16.7 | 0 | 100 |
| Moderate | 27.6 | 65.3 | 7.1 | 100 | |
| Serious | 0 | 0 | 100 | 100 | |
| Testing set | Slight | 100 | 0 | 0 | 100 |
| Moderate | 20.7 | 77.8 | 1.5 | 100 | |
| Serious | 0 | 0 | 100 | 100 | |
© 2018 by the authors. Licensee MDPI, Basel, Switzerland. This article is an open access article distributed under the terms and conditions of the Creative Commons Attribution (CC BY) license (http://creativecommons.org/licenses/by/4.0/).
Share and Cite
Xu, D.; Wang, H.; Ji, H.; Zhang, X.; Wang, Y.; Zhang, Z.; Zheng, H. Hyperspectral Imaging for Evaluating Impact Damage to Mango According to Changes in Quality Attributes. Sensors 2018, 18, 3920. https://doi.org/10.3390/s18113920
Xu D, Wang H, Ji H, Zhang X, Wang Y, Zhang Z, Zheng H. Hyperspectral Imaging for Evaluating Impact Damage to Mango According to Changes in Quality Attributes. Sensors. 2018; 18(11):3920. https://doi.org/10.3390/s18113920
Chicago/Turabian StyleXu, Duohua, Huaiwen Wang, Hongwei Ji, Xiaochuan Zhang, Yanan Wang, Zhe Zhang, and Hongfei Zheng. 2018. "Hyperspectral Imaging for Evaluating Impact Damage to Mango According to Changes in Quality Attributes" Sensors 18, no. 11: 3920. https://doi.org/10.3390/s18113920
APA StyleXu, D., Wang, H., Ji, H., Zhang, X., Wang, Y., Zhang, Z., & Zheng, H. (2018). Hyperspectral Imaging for Evaluating Impact Damage to Mango According to Changes in Quality Attributes. Sensors, 18(11), 3920. https://doi.org/10.3390/s18113920
