Joint Transmit Power Allocation and Splitting for SWIPT Aided OFDM-IDMA in Wireless Sensor Networks
Abstract
:1. Introduction
- From the aspect of EH, in the proposed system the harvested energy is fully devoted to recharging the circuits of MUD. As a consequence, the energy harvesting requirement is related to the iteration number of MUD, which should be treated as variables rather than a fixed constant as that in traditional detectors.
- From the aspect of Information Decoding (ID), the performance of the proposed system is determined by the final Signal to Interference plus Noise Ratio (SINR) after iterative decoding. Hence it relies on the iteration number of MUD, the number of RNs and also the initial power assigned to them. Such iterative detection process is difficult to track, which makes the system design to be more complicated.
- We introduce the concept of Simultaneous Wireless Information and Power Transfer (SWIPT) into OFDM-IDMA, resulting in the proposed SWIPT-aided OFDM-IDMA system. Not only inherits the advantages of OFDM-IDMA, the proposed system also allows the SN to wireless recharge the RNs along with information transmission. The energy limitation of RNs is therefore alleviated and the iterative MUD can be carried out with sufficient iteration numbers. Hence the proposed system is suitable for the power-constraint scenarios of 5G, such as Internet of Things and Wireless Sensor Networks.
- With the proposed system, we also investigate the impacts of iteration number of MUD, BER requirements, as well as PS ratio on the transmit power of SN. Aiming at minimizing the transmit power of SN, we propose a sub-optimal algorithm to jointly coordinate the power allocation and power splitting in an iterative approach. The energy efficiency of the whole system is significantly improved through our algorithm.
2. System Model and Problem Formulation
2.1. System Model
2.2. Iterative Multi-User Detection and SNR Evolution
2.3. Problem Formulation
- The Energy Harvesting (EH) ConstraintIn the proposed system, the harvest energy is utilized to recharge the circuits of MUD, so that the iterative decoding can work under sufficient number of iterations. To achieve that, the harvested DC energy should be no less than the one needed for iterative MUD, which can be expressed as:where is the minimum required energy for MUD to work per iteration and is the iteration number of the k-th RN. So far the EH constraint can be expressed as (12). Nevertheless, note that the objective is to minimize the transmit power of RF signals from SN. Hence when formulating the EH requirement, the direct and explicit relationship between and is preferred, rather than that between and . Hence we further take (3)–(5) into (12) to substitute with , and the resulted inequation can be expressed as:
- The Information Decoding (ID) ConstraintID constraint guarantees the BER performance of the k-th RN, where the BER of RN k is expected to be lower than a given target. Recall that in Section 2.2, the function is introduced to depict the relationship between the BER performance and achievable SINR. Assuming the BER target of the k-th RN is , the corresponding SINR threshold to reach that can be obtained as . According to [2,16], is the monotonically decreasing function. As a consequence, the final SINR value of RN k after iterative decoding should be greater than , so that to guarantee the desired BER performance. Based on (11), the ID constraint can be represented as:
3. The proposed Power Allocation and Splitting Algorithm
3.1. Optimization of with Fixed and
- ID Dominated Case happened when , indicating RN needs more energy to achieve the target BER than that of EH. In such a case, can be directly applied as the final solution in current stage, while the RNs may harvest amount of energy that more than needed. We then can adaptively adjusting and to re-balance the portion of energy assigned to EH and ID in the following step. The purpose is to leave less power for EH since the EH constraint is the weak one now and can be easily satisfied. While contrarily for ID function more power can be provided to help achieve its target. With the new setup of and one can perform the power allocation iteratively to further reduce the total required transmit power.
- EH Dominated Case occurs, on the other hand, when . In such situation, is no longer the feasible solution to satisfy the EH constraint since . In addition, it is impossible to get the exact power allocation profile of individual RN solely based on (13), who gives only the boundary of total transmit power. Nevertheless, we can proportionally increase to make it meet the EH requirement as , whereis the proportional enlargement factor. By such operation, we keep the initial signal to interference ratio of each RN with remains the same as that with . Apparently it guarantees the BER performance of RNs by scarifying more power than actually needs. Nevertheless, similar to that in ID Dominated Case, we can dynamically change and to weaken the EH constraint, so that the total transmitter power might be further reduced.
3.2. Optimization of and with Fixed
| Algorithm 1 The proposed sub-optimal Algorithm |
| Initialize: |
|
| Iteration: |
|
3.3. Feasibility of The Proposed Algorithm in Practical Applications
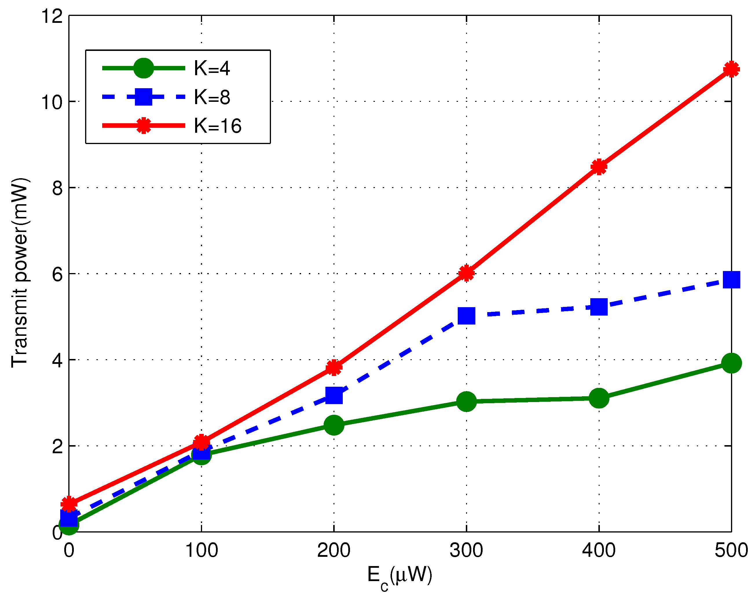
4. Simulation Results and Discussions
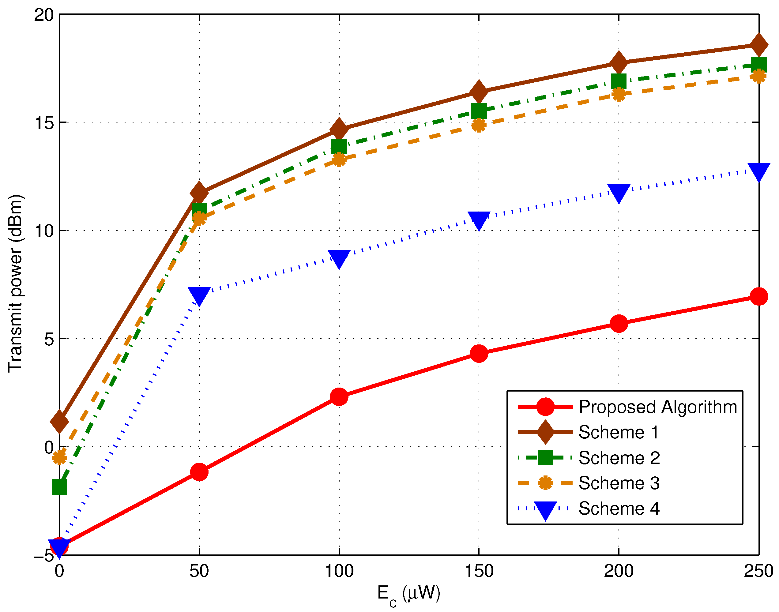
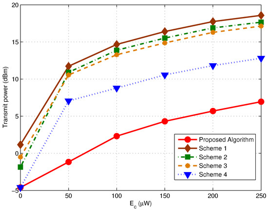
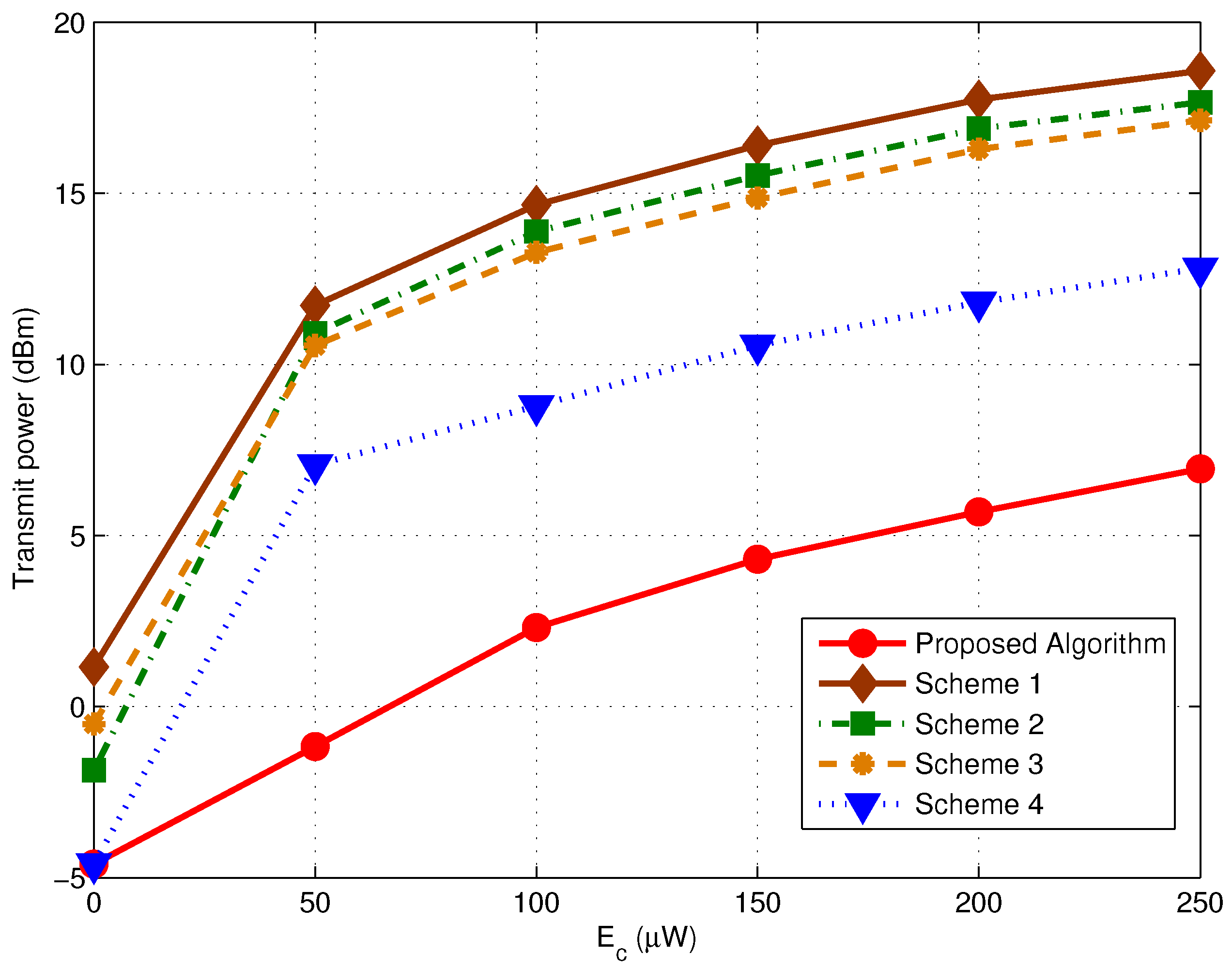
4.1. Performance Versus ID Requirements
- Scheme 1: perform equal power allocation with fixed PS ratio and iteration number,
- Scheme 2: perform adaptive power splitting with equal power allocation and fixed iteration number,
- Scheme 3: perform adaptive power allocation with fixed PS ratio and iteration number,
- Scheme 4: perform joint power allocation and power splitting with fixed iteration number.
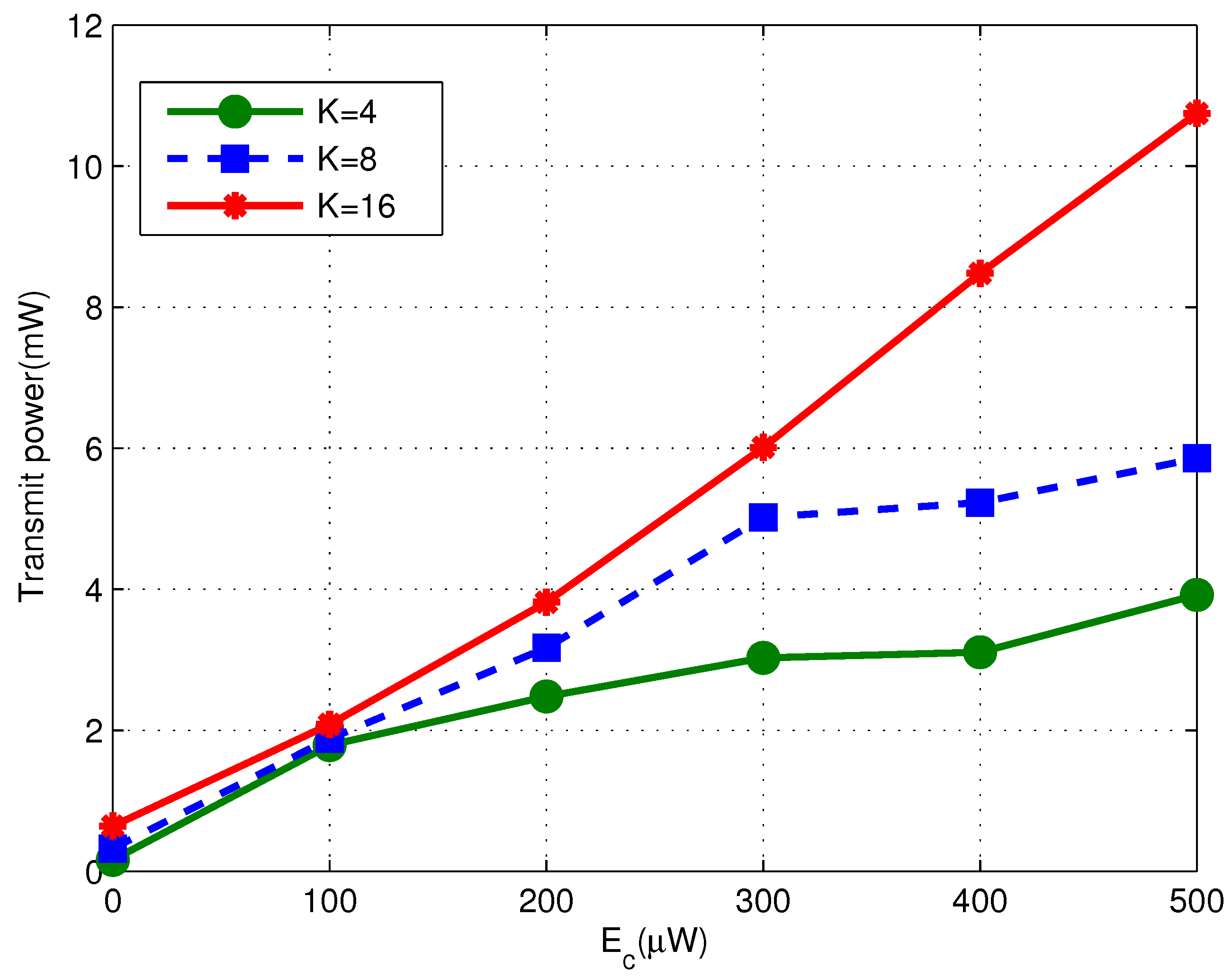
4.2. Performance Versus EH Requirement
4.3. Performance of Block Error Rate
4.4. Convergency of The Proposed Algorithm
5. Conclusions and Future Works
Acknowledgments
Author Contributions
Conflicts of Interest
References
- Wang, P.; Xiao, J.; Li, P. Comparison of Orthogonal and Non-Orthogonal Approaches to Future Wireless Cellular Systems. IEEE Veh. Technol. Mag. 2006, 1, 4–11. [Google Scholar] [CrossRef]
- Li, P.; Liu, L.; Wu, K.; Leung, W.K. Interleave Division Multiple-Access. IEEE Trans. Wirel. Commun. 2006, 5, 938–947. [Google Scholar]
- Li, P.; Guo, Q.; Tong, J. The OFDM-IDMA approach to wireless communication systems. IEEE Wirel. Commun. Mag. 2007, 14, 18–24. [Google Scholar]
- Yang, Y.; Wang, C. Wireless Rechargeable Sensor Networks; Springer International Publishing: Cham, Switzerland, 2015. [Google Scholar]
- Chen, H.; Liu, B.; Huang, P.; Liang, J.; Gu, Y. Mobility-Assisted Node Localization Based on TOA Measurements without Time Synchronization in Wireless Sensor Networks. Mob. Netw. Appl. 2012, 17, 90–99. [Google Scholar] [CrossRef]
- Varshney, L.R. Transporting information and energy simultaneously. In Proceedings of the IEEE International Symposium on Information Theory, Toronto, ON, Canada, 6–11 July 2008; pp. 1612–1616. [Google Scholar]
- Grover, P.; Sahai, A. Shannon meets Tesla: Wireless information and power transfer. In Proceedings of the IEEE International Symposium on Information Theory Proceedings (ISIT), Austin, TX, USA, 13–18 June 2010; pp. 2363–2367. [Google Scholar]
- Bi, S.; Ho, C.K.; Zhang, R. Wireless powered communication: Opportunities and challenges. IEEE Commun. Mag. 2015, 53, 117–125. [Google Scholar] [CrossRef]
- Huang, K.; Larsson, E. Simultaneous Information and Power Transfer for Broadband Wireless Systems. IEEE Trans. Signal Process. 2013, 61, 5972–5986. [Google Scholar] [CrossRef]
- Ng, D.W.K.; Lo, E.S.; Schober, R. Wireless Information and Power Transfer: Energy Efficiency Optimization in OFDMA Systems. IEEE Trans. Wirel. Commun. 2013, 12, 6352–6370. [Google Scholar] [CrossRef]
- Zhou, X.; Zhang, R.; Ho, C.K. Wireless Information and Power Transfer in Multiuser OFDM Systems. IEEE Trans. Wirel. Commun. 2014, 13, 2282–2294. [Google Scholar] [CrossRef]
- Ju, H.; Zhang, R. Throughput maximization in wireless powered communication networks. IEEE Trans. Wirel. Commun. 2014, 13, 418–428. [Google Scholar] [CrossRef]
- Diamantoulakis, P.D.; Pappi, K.N.; Ding, Z.; Karagiannidis, G.K. Wireless-Powered Communications with Non-Orthogonal Multiple Access. IEEE Trans. Wirel. Commun. 2016, 14, 8422–8436. [Google Scholar] [CrossRef]
- Chingoska, H.; Hadzi-Velkov, Z.; Nikoloska, I.; Zlatanov, N. Resource Allocation in Wireless Powered Communication Networks with Non-Orthogonal Multiple Access. IEEE Wirel. Commun. Lett. 2016, 5, 684–687. [Google Scholar] [CrossRef]
- Liu, Y.; Ding, Z.; Elkashlan, M.; Poor, H.V. Cooperative Non-Orthogonal Multiple Access With Simultaneous Wireless Information and Power Transfer. IEEE J. Sel. Areas Commun. 2016, 34, 938–953. [Google Scholar] [CrossRef]
- Lau, M.S.K.; Yue, W.; Wang, P. On a Power Allocation Method for IDMA Systems. IEEE Trans. Wirel. Commun. 2008, 7, 2905–2910. [Google Scholar] [CrossRef]
- Zhou, X.; Yang, L.; Yuan, D. Bipartite Matching Based User Grouping for Grouped OFDM-IDMA. IEEE Trans. Wirel. Commun. 2013, 12, 5248–5257. [Google Scholar] [CrossRef]
- Valenta, C.R.; Durgin, G.D. Harvesting Wireless Power: Survey of Energy-Harvester Conversion Efficiency in Far-Field, Wireless Power Transfer Systems. IEEE Microw. Mag. 2014, 15, 108–120. [Google Scholar]
- Guo, J.; Zhu, X. An improved analytical model for RF-DC conversion efficiency in microwave rectifiers. In Proceedings of the IEEE MTT-S International Microwave Symposium Digest (MTT), Montreal, QC, Canada, 17–22 June 2012; pp. 1–3. [Google Scholar]
- Shi, L.; Zhao, L.; Liang, K. Power allocation for wireless powered MIMO transmissions with non-linear RF energy conversion models. China Commun. 2017, 14, 57–64. [Google Scholar] [CrossRef]
- Boshkovska, E.; Ng, D.W.K.; Zlatanov, N.; Koelpin, A.; Schober, R. Robust Resource Allocation for MIMO Wireless Powered Communication Networks Based on a Non-Linear EH Model. IEEE Trans. Commun. 2017, 65, 1984–1999. [Google Scholar] [CrossRef]
- Wang, X.; Poor, H.V. Iterative (turbo) soft interference cancellation and decoding for coded CDMA. IEEE Trans. Commun. 1999, 47, 1046–1061. [Google Scholar] [CrossRef]
- Benedetto, S.; Divsalar, D.; Montorsi, G.; Pollara, F. A soft-input soft-output APP module for iterative decoding of concatenated codes. IEEE Commun. Lett. 1997, 1, 22–24. [Google Scholar] [CrossRef]
- Dang, J.; Yang, L.; Zhang, Z. Improved SNR Evolution for OFDM-IDMA systems. IEEE Wirel. Commun. Lett. 2012, 1, 65–68. [Google Scholar] [CrossRef]
- Rosberg, Z. Optimal transmitter power control in interleave division multiple access (IDMA) spread spectrum uplink channels. IEEE Trans. Wirel. Commun. 2007, 6, 192–201. [Google Scholar] [CrossRef]
- Boyd, S.; Vandenberghe, L. Convex Optimization; Cambridge University Press: Cambridge, UK, 2004. [Google Scholar]
- Dodd, R.; Schlegel, C.; Gaudet, V. DS-CDMA Implementation With Iterative Multiple Access Interference Cancellation. IEEE Trans. Circuits Syst. I Regul. Pap. 2013, 60, 222–231. [Google Scholar] [CrossRef]
- Krikidis, I.; Timotheou, S.; Nikolaou, S.; Zheng, G.; Ng, D.W.K.; Schober, R. Simultaneous Wireless Information and Power Transfer in Modern Communication Systems. IEEE Commun. Mag. 2014, 52, 104–110. [Google Scholar] [CrossRef]
- Lu, X.; Wang, P.; Niyato, D.; Kim, D.I.; Han, Z. Wireless Networks with RF Energy Harvesting: A Contemporary Survey. IEEE Commun. Surv. Tutor. 2014, 17, 757–789. [Google Scholar] [CrossRef]
- Baker, T.; Ngoko, Y.; Tolosana-Calasanz, R.; Rana, O.F.; Randles, M. Energy Efficient Cloud Computing Environment via Autonomic Meta-Director Framework. In Proceedings of the 6th International Conference on Developments in eSystems Engineering, Abu Dhabi, United Arab Emirates, 16–18 December 2013; pp. 198–203. [Google Scholar]
- Baker, T.; Al-Dawsari, B.; Tawfik, H.; Reid, D.; Ngoko, Y. GreeDi: An energy efficient routing algorithm for big data on cloud. Ad Hoc Netw. 2015, 35, 83–96. [Google Scholar] [CrossRef]








© 2017 by the authors. Licensee MDPI, Basel, Switzerland. This article is an open access article distributed under the terms and conditions of the Creative Commons Attribution (CC BY) license (http://creativecommons.org/licenses/by/4.0/).
Share and Cite
Li, S.; Zhou, X.; Wang, C.-X.; Yuan, D.; Zhang, W. Joint Transmit Power Allocation and Splitting for SWIPT Aided OFDM-IDMA in Wireless Sensor Networks. Sensors 2017, 17, 1566. https://doi.org/10.3390/s17071566
Li S, Zhou X, Wang C-X, Yuan D, Zhang W. Joint Transmit Power Allocation and Splitting for SWIPT Aided OFDM-IDMA in Wireless Sensor Networks. Sensors. 2017; 17(7):1566. https://doi.org/10.3390/s17071566
Chicago/Turabian StyleLi, Shanshan, Xiaotian Zhou, Cheng-Xiang Wang, Dongfeng Yuan, and Wensheng Zhang. 2017. "Joint Transmit Power Allocation and Splitting for SWIPT Aided OFDM-IDMA in Wireless Sensor Networks" Sensors 17, no. 7: 1566. https://doi.org/10.3390/s17071566
APA StyleLi, S., Zhou, X., Wang, C.-X., Yuan, D., & Zhang, W. (2017). Joint Transmit Power Allocation and Splitting for SWIPT Aided OFDM-IDMA in Wireless Sensor Networks. Sensors, 17(7), 1566. https://doi.org/10.3390/s17071566
