Wind Turbine Diagnosis under Variable Speed Conditions Using a Single Sensor Based on the Synchrosqueezing Transform Method
Abstract
:1. Introduction
2. Theoretical Analysis
2.1. The Local Mean Decomposition Method
- (1)
- Initialize parameters. Set the index of PF i = 1, and residual signal u0 = x(t).
- (2)
- Extract the i-th PF.
- (a)
- h11(t) = u0(t) − m11(t)
- (b)
- The local envelope estimates are smoothed in the same way as the local means to derive the envelope function s11(t) = h11(t)/a11(t)
- (c)
- Until |s1n(t)| ≤ 1, , the calculation process of PF:
- (3)
- PF is then subtracted from the original data x(t), resulting in a new signal u1(t) = u0(t) − PF1(t)
- (4)
- Repeat the whole process k times until the uk(t) is constant or monotonic. Thus, we can achieve a series of decompositions and the final residue, explaining as follows:
2.2. Synchrosqueezing Transform
2.3. Characteristic Index
3. Fault Diagnosis Method Based on SST and LMD
3.1. The Proposed Method to Improve SST
3.2. Signal Feature Analysis
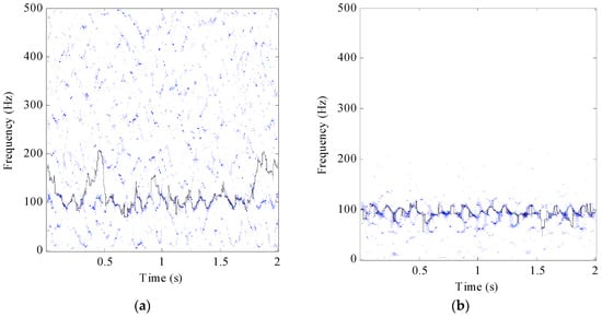
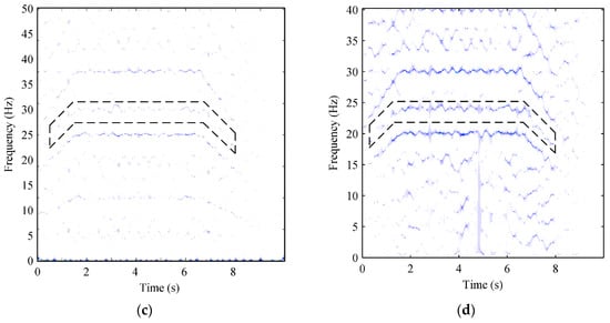
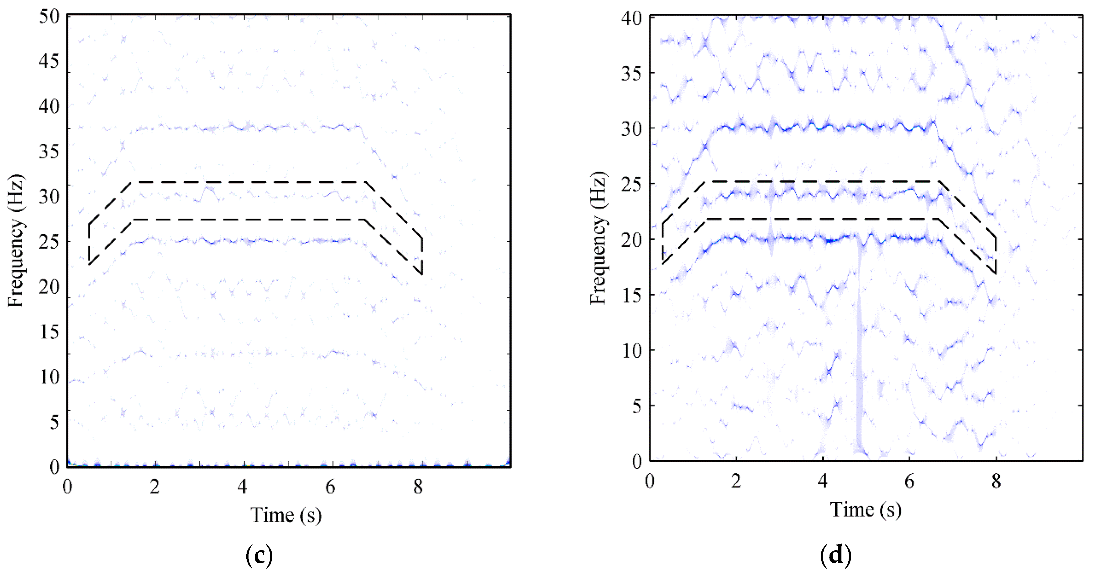
4. Experiment Verification and Field Test
4.1. Experiment Verification
4.2. Application to Fault Diagnosis of Wind Turbines
5. Conclusions
Acknowledgments
Author Contributions
Conflicts of Interest
References
- Global Wind Energy Council (GWEC). Industry Installed More Than 54 GW of Wind Energy in 2016. Available online: http://www.gwec.net/industry-installed-more-than-54gw-of-wind-energy-in-2016/ (accessed on 20 April 2017).
- Global Wind Energy Council (GWEC). Global Status of Wind Power in 2015. 2016. Available online: http://www.gwec.net/global-figures/wind-energy-global-status/ (accessed on 20 December 2016).
- Chen, X.; Yan, R.; Liu, Y. Wind turbine condition monitoring and fault diagnosis in China. IEEE Instrum. Meas. Mag. 2016, 19, 22–28. [Google Scholar] [CrossRef]
- Li, J.; Chen, X.; Du, Z. A new noise-controlled second-order enhanced stochastic resonance method with its application in wind turbine drivetrain fault diagnosis. Renew. Energy 2013, 60, 7–19. [Google Scholar] [CrossRef]
- Kusiak, A.; Li, W. The prediction and diagnosis of wind turbine faults. Renew. Energy 2011, 36, 16–23. [Google Scholar] [CrossRef]
- Marquez, F.; Tobias, A.; Perez, J.; Papaelias, M. Condition monitoring of wind turbines: techniques and methods. Renew. Energy 2011, 46, 169–178. [Google Scholar] [CrossRef]
- Caithness Windfarm Information Forum. Available online: http://www.caithnesswindfarms.co.uk/AccidentStatistics.htm (accessed on 20 December 2016).
- Yan, R.; Gao, R. Energy-based feature extraction for defect diagnosis in rotary machines. IEEE. Trans. Instrum. Meas. 2009, 58, 3130–3139. [Google Scholar]
- Yan, R.; Liu, Y.; Gao, Y. Permutation entropy: A nonlinear statistical measure for status characterization of rotary machines. Mech. Syst. Signal Process. 2012, 29, 474–484. [Google Scholar] [CrossRef]
- He, G.; Ding, K.; Li, W.; Jiao, X. A novel order tracking method for wind turbine planetary gearbox vibration analysis based on discrete spectrum correction technique. Renew. Energy 2016, 87, 364–375. [Google Scholar] [CrossRef]
- Tabatabaeipour, S.M.; Odgaard, P.F.; Bak, T.; Stoustrup, J. Fault Detection of Wind Turbines with Uncertain Parameters: A Set-Membership Approach. Energies 2012, 5, 2424–2448. [Google Scholar] [CrossRef]
- Casau, P.; Rosa, P.; Tabatabaeipour, S.M.; Silvestre, C.; Stoustrup, J. A Set-Valued Approach to FDI and FTC of Wind Turbines. IEEE Trans. Control Syst. Technol. 2015, 23, 245–263. [Google Scholar] [CrossRef]
- Badihi, H.; Zhang, Y.; Hong, H. Wind Turbine Fault Diagnosis and Fault-Tolerant Torque Load Control against Actuator Faults. IEEE Trans. Control Syst. Technol. 2015, 23, 1351–1372. [Google Scholar] [CrossRef]
- Badihi, H.; Zhang, Y.; Hong, H. Fuzzy Gain-Scheduled Active Fault-Tolerant Control of a Wind Turbine. J. Frankl. Inst. 2014, 351, 3677–3706. [Google Scholar] [CrossRef]
- Badihi, H.; Zhang, Y.; Hong, H. Active power control design for supporting grid frequency regulation in wind farms. Annu. Rev. Control 2014, 40, 70–81. [Google Scholar] [CrossRef]
- Yang, Z.; Radzienski, M.; Kudela, P. Two-dimensional modal curvature estimation via Fourier spectral method for damage detection. Compos. Struct. 2016, 148, 155–167. [Google Scholar] [CrossRef]
- Yang, Z.; Radzienski, M.; Kudela, P. Scale-wavenumber domain filtering method for curvature modal damage detection. Compos. Struct. 2016, 154, 396–409. [Google Scholar] [CrossRef]
- Liu, Z.; Chai, T.; Tang, J. Multi-frequency signal modeling using empirical mode decomposition and PCA with application to mill load estimation. Neurocomputing 2015, 169, 392–402. [Google Scholar] [CrossRef]
- Yang, Z.; Radzienski, M.; Kudela, P. Damage detection in beam-like composite structures via Chebyshev pseudo spectral modal curvature. Compos. Struct. 2017, 168, 1–12. [Google Scholar] [CrossRef]
- Yang, Z.; Radzienski, M.; Kudela, P. Two-dimensional Chebyshev pseudo spectral modal curvature and its application in damage detection. Compos. Struct. 2017, 168, 372–383. [Google Scholar] [CrossRef]
- Pei, S.; Huang, S. STFT with adaptive window width based on the chirp rate. IEEE Trans. Signal Process. 2015, 60, 4065–4080. [Google Scholar] [CrossRef]
- Yan, R.; Gao, R.; Chen, X. Wavelets for fault diagnosis of rotary machines: A review with applications. Signal Process. 2014, 96, 1–15. [Google Scholar] [CrossRef]
- Kwok, H.; Jones, D. Improved instantaneous frequency estimation using an adaptive short-time Fourier transform. IEEE Trans. Signal Process. 2000, 48, 2964–2972. [Google Scholar] [CrossRef]
- Yang, Z.; Radzienski, M.; Kudela, P. Fourier spectral-based modal curvature analysis and its application to damage detection in beams. Mech. Syst. Signal Process. 2017, 84, 763–781. [Google Scholar] [CrossRef]
- Khan, A.; Taj, I.; Jaffri, M.; Ijaz, S. Cross-term elimination in Wigner distribution based on 2D signal processing techniques. Signal Process. 2011, 91, 590–599. [Google Scholar] [CrossRef]
- Park, M.; Kim, D.; Oh, H. Quantile-Based Empirical Mode Decomposition: An Efficient Way to Decompose Noisy Signals. IEEE. Trans. Instrum. Meas. 2015, 64, 1802–1813. [Google Scholar] [CrossRef]
- Yan, R.; Gao, R. Hilbert-Huang transform-based vibration signal analysis for machine health monitoring. IEEE. Trans. Instrum. Meas. 2006, 55, 2320–2329. [Google Scholar] [CrossRef]
- Feng, Z.; Zuo, M.; Jian, Q.; Tian, T. Joint amplitude and frequency demodulation analysis based on local mean decomposition for fault diagnosis of planetary gearboxes. Mech. Syst. Signal Process. 2013, 40, 56–75. [Google Scholar] [CrossRef]
- Zeng, H.; Song, A.; Yan, R.; Qin, H. EOG Artifact Correction from EEG Recording Using Stationary Subspace Analysis and Empirical Mode Decomposition. Sensors 2013, 13, 14839–14859. [Google Scholar] [CrossRef] [PubMed]
- Huang, N.; Shen, Z.; Long, S.; Wu, M. The empirical mode decomposition and the Hilbert spectrum for nonlinear and non-stationary time series analysis. Proc. R. Soc. A Math. Phys. Eng. Sci. 1998, 454, 903–995. [Google Scholar] [CrossRef]
- Ahn, J.; Kwak, D.; Koh, B. Fault detection of a roller-bearing system through the EMD of a wavelet denoised signal. Sensors 2014, 14, 15022–15038. [Google Scholar] [CrossRef] [PubMed]
- Liu, W.; Gao, Q.; Ye, G.; Ma, G.; Lu, X.; Han, J. A novel wind turbine bearing fault diagnosis method based on Integral Extension LMD. Measurement 2015, 74, 70–77. [Google Scholar] [CrossRef]
- Daubechies, I.; Liu, J.; Wu, H. Synchrosqueezed wavelet transforms: An empirical mode decomposition-like tool. Appl. Comput. Harmon. Anal. 2011, 30, 243–261. [Google Scholar] [CrossRef]
- Khan, N.; Boashash, B. Instantaneous frequency estimation of multicomponent nonstationary signals using multiview time-frequency distributions based on the adaptive fractional spectrogram. IEEE Signal Process. Lett. 2013, 20, 157–160. [Google Scholar] [CrossRef]
- Wang, S.; Chen, X.; Cai, G.; Chen, B.; Li, X.; He, Z. Matching demodulation transform and synchrosqueezing in time-frequency analysis. IEEE Trans. Signal Process. 2014, 62, 69–84. [Google Scholar] [CrossRef]
- Chen, B.; He, Z.; Cao, H.; Cai, G.; Zi, Y. A demodulating approach based on local mean decomposition and its applications in mechanical fault diagnosis. Meas. Sci. Technol. 2011, 22, 055704. [Google Scholar] [CrossRef]
- Wang, S.; Chen, X.; Wang, Y.; Cai, G.; Ding, B.; Zhang, X. Nonlinear squeezing time—Frequency transform for weak signal detection. Signal Process. 2015, 113, 195–210. [Google Scholar] [CrossRef]
- Feng, Z.; Liang, M.; Zhang, Y.; Hou, S. Fault diagnosis for wind turbine planetary gearboxes via demodulation analysis based on ensemble empirical mode decomposition and energy separation. Renew. Energy 2012, 47, 112–126. [Google Scholar] [CrossRef]
- Feng, Z.; Zuo, M. Vibration signal models for fault diagnosis of planetary gearboxes. J. Sound Vib. 2012, 331, 4919–4939. [Google Scholar] [CrossRef]














| Sun | Planet | Ring | |
|---|---|---|---|
| 1st stage | 20 | 40 (3) | 100 |
| 2nd stage | 28 | 36 (4) | 100 |
| Meshing Frequency | Local Damage | |||
|---|---|---|---|---|
| Sun | Planet | Ring | ||
| 1st stage | 16.667 fs | 2.5 fs | 0.833 fs | 0.5 fs |
| 2nd stage | 3.646 fs | 0.521 fs | 0.203 fs | 0.146 fs |
| Type | Frequency |
|---|---|
| The frequency of outer ring | 3.133 f |
| The frequency of inner ring | 4.867 f |
| The frequency of roller | 2.197 f |
| The frequency of separator | 0.392 f |
© 2017 by the authors. Licensee MDPI, Basel, Switzerland. This article is an open access article distributed under the terms and conditions of the Creative Commons Attribution (CC BY) license (http://creativecommons.org/licenses/by/4.0/).
Share and Cite
Guo, Y.; Chen, X.; Wang, S.; Sun, R.; Zhao, Z. Wind Turbine Diagnosis under Variable Speed Conditions Using a Single Sensor Based on the Synchrosqueezing Transform Method. Sensors 2017, 17, 1149. https://doi.org/10.3390/s17051149
Guo Y, Chen X, Wang S, Sun R, Zhao Z. Wind Turbine Diagnosis under Variable Speed Conditions Using a Single Sensor Based on the Synchrosqueezing Transform Method. Sensors. 2017; 17(5):1149. https://doi.org/10.3390/s17051149
Chicago/Turabian StyleGuo, Yanjie, Xuefeng Chen, Shibin Wang, Ruobin Sun, and Zhibin Zhao. 2017. "Wind Turbine Diagnosis under Variable Speed Conditions Using a Single Sensor Based on the Synchrosqueezing Transform Method" Sensors 17, no. 5: 1149. https://doi.org/10.3390/s17051149
APA StyleGuo, Y., Chen, X., Wang, S., Sun, R., & Zhao, Z. (2017). Wind Turbine Diagnosis under Variable Speed Conditions Using a Single Sensor Based on the Synchrosqueezing Transform Method. Sensors, 17(5), 1149. https://doi.org/10.3390/s17051149
