Optimal Power Allocation Strategy in a Joint Bistatic Radar and Communication System Based on Low Probability of Intercept
Abstract
:1. Introduction
1.1. Background and Motivation
1.2. Brief Literature Survey of Low Probability of Intercept (LPI) Optimization
1.3. Main Contributions
- (1)
- We formulate the system model and derive the generalized likelihood ratio test (GLRT) detector for a joint bistatic radar and communication system, which is composed of a dedicated transmitter, a radar receiver, and a communication receiver. The dedicated transmitter emits a portion of the total transmission power to broadcast information signal, and the other portion is employed for transmitting a radar waveform. The goal of the transmitter is to detect enemy targets as well as to transfer information to a communication receiver, which then recovers that information reliably [1]. This is quite different from the dual function system [18], which can only transmit the same signal for both radar and communication functions.
- (2)
- Assuming that the signal-to-noise ratio (SNR) corresponding to the target surveillance path is much weaker than that corresponding to the direct path at the radar receiver, the analytically closed-form expression for the probability of false alarm is derived, whereas the closed-form expression for the probability of detection is not analytically tractable and is approximated due to the fact that the received signals are not zero-mean Gaussian under target presence hypothesis.
- (3)
- The problem of LPI-based optimal power allocation in a joint bistatic radar and communication system is investigated, which minimizes the total transmission power for both information signal and radar waveform while satisfying a specified information rate for communication receiver and desired probabilities of detection and false alarm for radar receiver.
- (4)
- The proposed LPI-based optimal power allocation strategy is solved numerically, and the bisection search technique is exploited to find the optimal solution for the aforementioned optimization problem. It is shown that significant computational savings can be obtained through the utilization of bisection method when compared with the exhaustive search approach.
- (5)
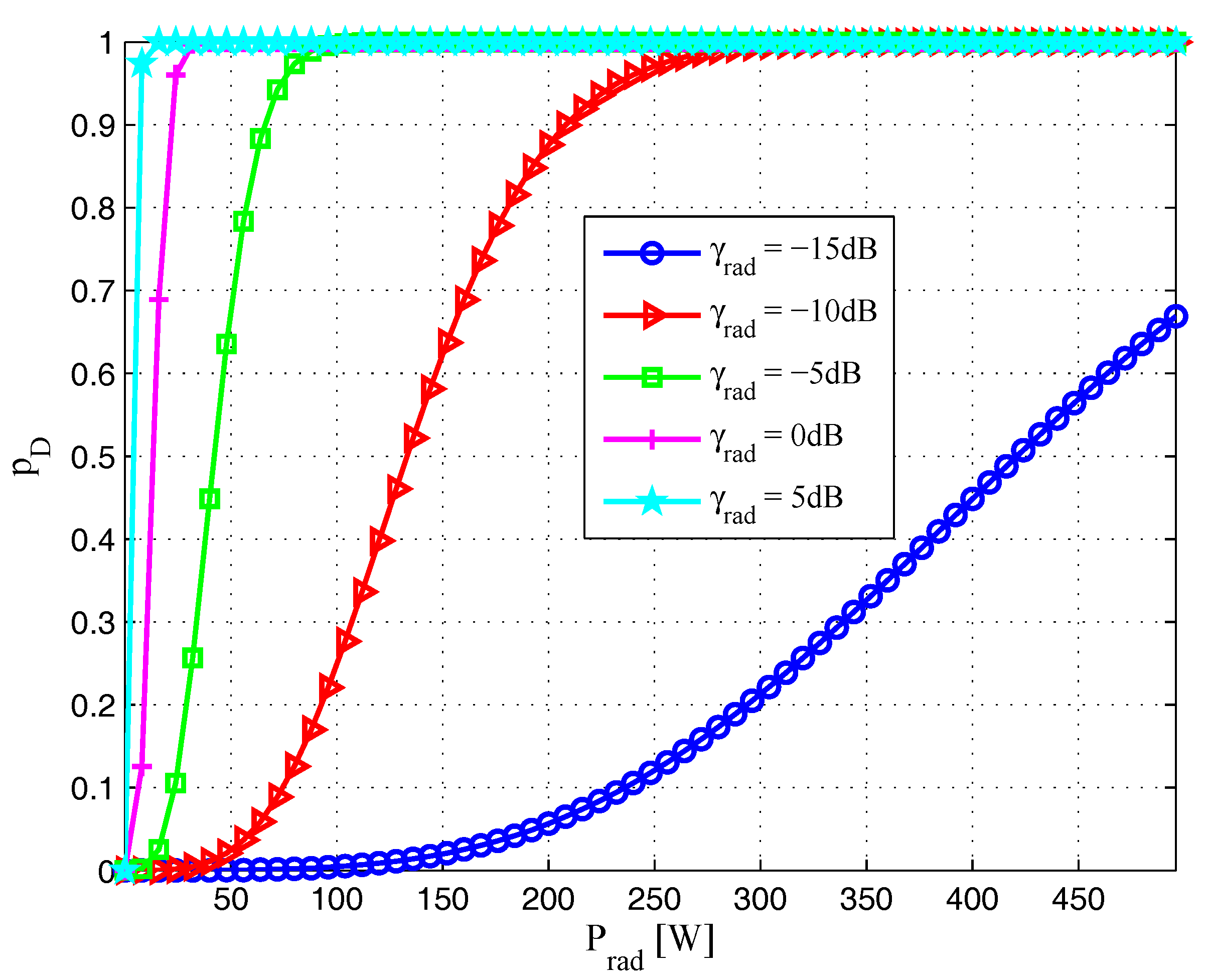
- Numerical simulation results demonstrate the superiority of the proposed LPI-based optimal power allocation scheme in terms of the LPI performance of the joint system. Moreover, precious results in [1] address the performance trade-off between the radar and communication subsystems, which only analyze the boundaries of the probability of false alarm-information rate and the probability of detection-information rate regions. As an extension, the effects of total transmit power, probability of false alarm, SNRs of different paths, and communication rate on the probability of detection are discussed in this study. To be specific, it can be concluded via simulations that the probability of detection is a function of transmit power, probability of false alarm, and SNRs of different paths, as well as the information rate for communication receiver.
1.4. Outline of the Paper
2. System and Signal Models
2.1. Problem Scenario
2.2. Signal Model
3. Problem Formulation
3.1. Basic of the Technique
3.2. GLRT Detector
3.3. LPI-Based Optimal Power Allocation Strategy
| Algorithm 1 LPI-Based Optimal Power Allocation Strategy |
|
| Algorithm 2 Bisection Search of |
|
3.4. Discussion
4. Numerical Simulations and Performance Analysis
4.1. Description
4.2. Simulation Results
5. Conclusions
Acknowledgments
Author Contributions
Conflicts of Interest
References
- Chalise, B.K.; Amin, M.G.; Himed, B. Performance tradeoff in a unified passive radar and communications system. IEEE Signal Process. Lett. 2017, 24, 1275–1279. [Google Scholar] [CrossRef]
- Gerlach, K. Thinned spectrum ultrawideband waveforms using stepped-frequency polyphase codes. IEEE Trans. Aerosp. Electron. Syst. 1998, 34, 1356–1361. [Google Scholar] [CrossRef]
- Nunn, C.; Moyer, L.R. Spectrally-compliant waveforms for wide-band radar. IEEE Aerosp. Electron. Syst. Mag. 2012, 27, 11–15. [Google Scholar] [CrossRef]
- Romero, R.A.; Shepherd, K.D. Friendly spectrally shaped radar waveform with legacy communication systems for shared access and spectrum management. IEEE Access 2015, 3, 1541–1554. [Google Scholar] [CrossRef]
- Nijsure, Y.; Chen, Y.F.; Yuen, C.; Chew, Y.H. Location-aware spectrum and power allocation in joint cognitive communication-radar networks. In Proceedings of the 6th International ICST Conference on Cognitive Radio Oriented Wireless Networks and Communications (CROWNCOM), Osaka, Japan, 1–3 June 2011; pp. 171–175. [Google Scholar]
- Han, L.; Wu, K. Joint wireless communication and radar sensing systems-state of the art and future prospects. IET Microw. Antennas Propag. 2013, 7, 876–885. [Google Scholar] [CrossRef]
- Gaglione, D.; Clemente, C.; Ilioudis, C.V. Fractional Fourier based waveform for a joint radar-communication system. In Proceedings of the 2016 IEEE Radar Conference (RadarConf), Philadelphia, PA, USA, 2–6 May 2016. [Google Scholar]
- Scharrenbroich, M.; Zatman, M. Joint radar-communications resource management. In Proceedings of the 2016 IEEE Radar Conference (RadarConf), Philadelphia, PA, USA, 2–6 May 2016. [Google Scholar]
- Zhang, J.S.; Podkurkov, I.; Haardt, M.; Nadeev, A. Efficient multidimensional parameter estimation for joint wideband radar and communication systems based on OFDM. In Proceedings of the IEEE International Conference on Acoustics, Speech and Signal Processing (ICASSP), New Orleans, LA, USA, 5–9 March 2017; pp. 3096–3100. [Google Scholar]
- Zhao, L.C.; Palomar, D.P. Maximum joint optimization of transmitting code and receiving filter in radar and communications. IEEE Trans. Signal Process. 2017, 65, 850–863. [Google Scholar] [CrossRef]
- Huang, K.W.; Bica, M.; Mitra, U.; Koivunen, V. Radar waveform design in spectrum sharing environment: Coexistence and cognition. In Proceedings of the 2015 IEEE Radar Conference (RadarConf), Arlington, VA, USA, 10–15 May 2015; pp. 1698–1703. [Google Scholar]
- Bica, M.; Huang, K.W.; Mitra, U.; Koivunen, V. Opportunistic radar waveform design in joint radar and cellular communication systems. In Proceedings of the IEEE Global Communications Conference (GLOBECOM), San Diego, CA, USA, 6–10 December 2015; pp. 1–7. [Google Scholar]
- Bica, M.; Huang, K.W.; Koivunen, V.; Mitra, U. Mutual information based radar waveform design for joint radar and cellular communication systems. In Proceedings of the IEEE International Conference on Acoustics, Speech and Signal Processing (ICASSP), Shanghai, China, 20–25 March 2016; pp. 3671–3675. [Google Scholar]
- Bica, M.; Koivunen, V. Delay estimation method for coexisting radar and wireless communication systems. In Proceedings of the IEEE Radar Conference (RadarConf), Seattle, WA, USA, 8–12 May 2017; pp. 1557–1561. [Google Scholar]
- Zhang, Y.; Li, Q.Y.; Huang, L.; Song, J. Waveform design for joint radar-communication system with multi-user based on MIMO radar. In Proceedings of the IEEE Radar Conference (RadarConf), Seattle, WA, USA, 8–12 May 2017; pp. 415–418. [Google Scholar]
- Liu, Y.J.; Liao, G.S.; Yang, Z.W.; Xu, J.W. Design of integrated radar and communication system based on MIMO-OFDM waveform. J. Syst. Eng. Electron. 2017, 28, 669–680. [Google Scholar]
- Kumari, P.; Nguyen, D.H.N.; Heath, R.W., Jr. Performance trade-off in an adaptive IEEE 802.11ad waveform design for a joint automotive radar and communication system. In Proceedings of the IEEE International Conference on Acoustics, Speech and Signal Processing (ICASSP), New Orleans, LA, USA, 5–9 March 2017; pp. 4281–4285. [Google Scholar]
- Blunt, S.D.; Yatham, P.; Stiles, J. Intrapulse radar-embedded communications. IEEE Trans. Aerosp. Electron. Syst. 2010, 46, 1185–1200. [Google Scholar] [CrossRef]
- Ciuonzo, D.; Maio, A.D.; Foglia, G.; Piezzo, M. Pareto-theory for enabling covert intrapulse radar-embedded communications. In Proceedings of the IEEE Radar Conference (RadarConf), Arlington, VA, USA, 10–15 May 2015; pp. 292–297. [Google Scholar]
- Ciuonzo, D.; Maio, A.D.; Foglia, G.; Piezzo, M. Intrapulse radar-embedded communications via multiobjective optimization. IEEE Trans. Aerosp. Electron. Syst. 2015, 51, 2960–2974. [Google Scholar] [CrossRef]
- Stove, A.G.; Hume, A.L.; Baker, C.J. Low probability of intercept radar strategies. IEE Proc. Radar Sonar Navig. 2004, 151, 249–260. [Google Scholar] [CrossRef]
- Krishnamurthy, V. Emission management for low probability intercept sensors in network centric warfare. IEEE Trans. Aerosp. Electron. Syst. 2005, 41, 133–151. [Google Scholar] [CrossRef]
- Fancey, C.; Alabaster, C.M. The metrication of low probability of intercept waveforms. In Proceedings of the International Waveform Diversity and Design Conference, Niagara Falls, ON, Canada, 8–13 August 2010; pp. 58–62. [Google Scholar]
- Shu, Y.R.; Chen, Z.P. Evaluation and simulation of LPI radar signals’ low probability of exploitation. In Proceedings of the 2nd International Conference on Image, Vision and Computing (ICIVC), Chengdu, China, 2–4 June 2017; pp. 842–846. [Google Scholar]
- Shi, C.G.; Zhou, J.J.; Wang, F. LPI based resource management for target tracking in distributed radar network. In Proceedings of the IEEE Radar Conference (RadarConf), Philadelphia, PA, USA, 2–6 May 2016; pp. 822–826. [Google Scholar]
- Andargoli, S.M.H.; Malekzadeh, J. Target assignment and power allocation for LPI radar networks. In Proceedings of the International Symposium on Artificial Intelligence and Signal Processing (AISP), Mashhad, Iran, 3–5 March 2015; pp. 234–239. [Google Scholar]
- She, J.; Wang, F.; Zhou, J.J. A novel sensor selection and power allocation algorithm for multiple-target tracking in an LPI radar network. Sensors 2016, 16, 2193. [Google Scholar] [CrossRef] [PubMed]
- She, J.; Zhou, J.J.; Wang, F.; Li, H.L. LPI optimization framework for radar network based on minimum mean-square error estimation. Entropy 2017, 19, 397. [Google Scholar] [CrossRef]
- Zhang, Z.K.; Tian, Y.B. A novel resource scheduling method of netted radars based on Markov decision process during target tracking in clutter. EURASIP J. Adv. Signal Process. 2016, 2016, 16. [Google Scholar] [CrossRef]
- Zhang, Z.K.; Salous, S.; Li, H.L.; Tian, Y.B. Optimal coordination method of opportunistic array radars for multi-target-tracking-based radio frequency stealth in clutter. Radio Sci. 2015, 50, 1187–1196. [Google Scholar] [CrossRef]
- Shi, C.G.; Salous, S.; Wang, F.; Zhou, J.J. Power allocation for target detection in radar networks based on low probability of intercept: A cooperative game theoretical strategy. Radio Sci. 2017, 52, 1030–1045. [Google Scholar] [CrossRef]
- Shi, C.G.; Salous, S.; Wang, F.; Zhou, J.J. Low probability of intercept based adaptive radar waveform optimization in signal dependent clutter for joint radar and cellular communication systems. EURASIP J. Adv. Signal Process. 2016, 2016, 111. [Google Scholar] [CrossRef] [PubMed]
- Shi, C.G.; Wang, F.; Sellathurai, M.; Zhou, J.J.; Salous, S. Power minimization based robust OFDM radar waveform design for radar and communication systems in coexistence. IEEE Trans. Signal Process. 2017. [Google Scholar] [CrossRef]
- Shi, C.G.; Wang, F.; Sellathurai, M.; Zhou, J.J. Low probability of intercept based multicarrier radar jamming power allocation for joint radar and wireless communications systems. IET Radar Sonar Navig. 2017, 11, 802–811. [Google Scholar] [CrossRef]
- Deligiannis, A.; Panoui, A.; Lambotharan, S.; Chambers, J.A. Game-theoretic power allocation and the Nash equilibrium analysis for a multistatic MIMO radar network. IEEE Trans. Signal Process. 2017, 65, 6397–6408. [Google Scholar] [CrossRef]
- Tsao, T.; Slamani, M.; Varshney, P.; Weiner, D.; Schwarzlander, H.; Borek, S. Ambiguity function for a bistatic radar. IEEE Trans. Aerosp. Electron. Syst. 1997, 33, 1041–1051. [Google Scholar] [CrossRef]
- Weib, M. Synchronisation of bistatic radar systems. In Proceedings of the IEEE International Geoscience and Romote Sensing (IGARSS), Anchorage, AK, USA, 20–24 September 2004; pp. 1750–1753. [Google Scholar]
- Chalise, B.K.; Himed, B. Target detection in single frequency multistatic passive radar systems. In Proceedings of the IEEE Radar Conference (RadarConf), Seattle, WA, USA, 8–12 May 2017; pp. 361–366. [Google Scholar]
- Yan, J.K.; Jiu, B.; Liu, H.W.; Chen, B.; Bao, Z. Prior knowledge-based simultaneous multibeam power allocation algorithm for cognitive multiple targets tracking in clutter. IEEE Trans. Signal Process. 2015, 63, 512–527. [Google Scholar] [CrossRef]
- Liu, W.J.; Xie, W.C.; Liu, J.; Wang, Y.L. Adaptive double subspace signal detection in Gaussian background-Part I: Homogeneous environments. IEEE Trans. Signal Process. 2014, 62, 2345–2357. [Google Scholar] [CrossRef]
- Ciuonzo, D.; de Maio, A.; Orlando, D. A unified framework for adaptive radar detection in homogeneous plus structured interference-Part II: Detectors design. IEEE Trans. Signal Process. 2016, 64, 2907–2919. [Google Scholar] [CrossRef]
- Conte, E.; De Maio, A.; Ricci, G. GLRT-based adaptive detection algorithms for range-spread targets. IEEE Trans. Signal Process. 2001, 49, 1336–1348. [Google Scholar] [CrossRef]
- Gradshteyn, I.S.; Ryzhik, I.M. Table of Integrals, Series, and Products; Academic: New York, NY, USA, 2000. [Google Scholar]






| Methods | Probability of Detection | Communication Rate (bpcu) |
|---|---|---|
| 5 | ||
| [1] | 5 |
© 2017 by the authors. Licensee MDPI, Basel, Switzerland. This article is an open access article distributed under the terms and conditions of the Creative Commons Attribution (CC BY) license (http://creativecommons.org/licenses/by/4.0/).
Share and Cite
Shi, C.; Wang, F.; Salous, S.; Zhou, J. Optimal Power Allocation Strategy in a Joint Bistatic Radar and Communication System Based on Low Probability of Intercept. Sensors 2017, 17, 2731. https://doi.org/10.3390/s17122731
Shi C, Wang F, Salous S, Zhou J. Optimal Power Allocation Strategy in a Joint Bistatic Radar and Communication System Based on Low Probability of Intercept. Sensors. 2017; 17(12):2731. https://doi.org/10.3390/s17122731
Chicago/Turabian StyleShi, Chenguang, Fei Wang, Sana Salous, and Jianjiang Zhou. 2017. "Optimal Power Allocation Strategy in a Joint Bistatic Radar and Communication System Based on Low Probability of Intercept" Sensors 17, no. 12: 2731. https://doi.org/10.3390/s17122731
APA StyleShi, C., Wang, F., Salous, S., & Zhou, J. (2017). Optimal Power Allocation Strategy in a Joint Bistatic Radar and Communication System Based on Low Probability of Intercept. Sensors, 17(12), 2731. https://doi.org/10.3390/s17122731

