Economic Feasibility of Wireless Sensor Network-Based Service Provision in a Duopoly Setting with a Monopolist Operator
Abstract
:1. Introduction
1.1. Paper Contributions and Outline
2. General Model
- Sinks.
- Network Operator (OP).
- Users.
- Internet of Things-Service Providers (IoT-SPs).
2.1. Sinks
2.2. Network Operator
2.3. Users
2.4. IoT-Service Providers
3. Game Analysis
3.1. Game I: OP and Sinks
3.1.1. WSN Subscription Game
Population Game
- Strategies: , where 0 means not to subscribe to the OP and 1 means to subscribe to the OP.
- Social State: . Sinks distribution between not being served and OP.
- Payoffs: , where is the utility of the users choosing the strategy of not to subscribe to the OP and is the utility of the users choosing the strategy of subscribe to the OP.
Pure Best Response
Mixed Best Response
Nash Equilibrium
3.1.2. OP Pricing Stage
- Case :In this case, the maximum profit is obtained solving the optimization problemThe solution for the previous problem isNote that if the upper limit is negative and, therefore, there is not possible solution for in this case.
- Case :In this case, the maximum profit is obtained solving the optimization problemThe problem in (15) is solved using Karush-Kuhn-Tucker (KKT) conditions and its solution is:
- Case :In this case, for any value of p the maximum profit is
3.2. Game II: Internet of Things-Service Providers (IoT-SPs) and Users
3.2.1. Users Subscription Game
3.2.2. IoT-SPs Pricing Stage
4. Results and Discussion
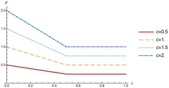
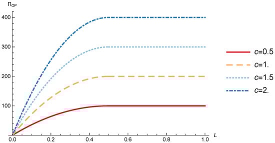
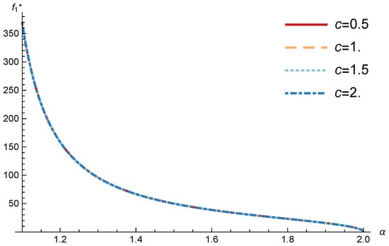
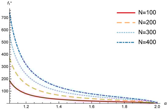
4.1. OP Pricing and Profit
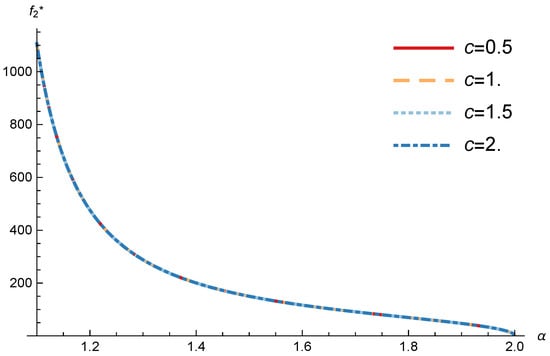
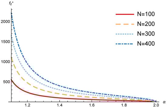
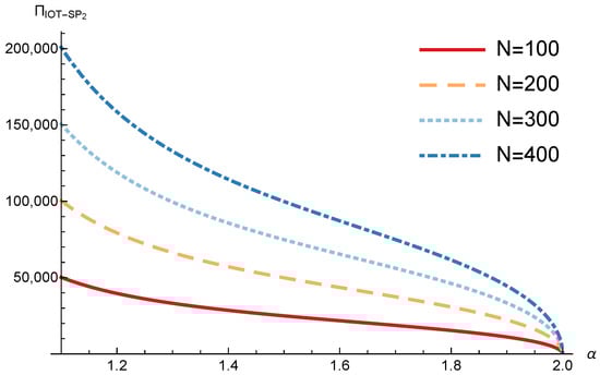
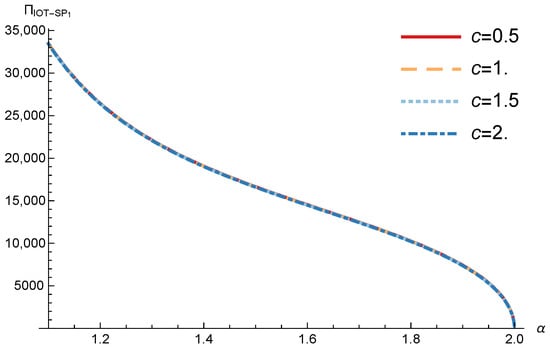
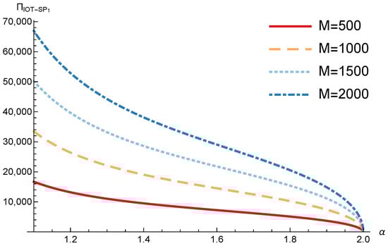
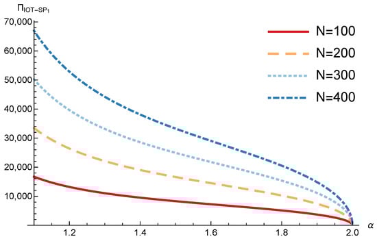
4.2. IoT-SP and IoT-SP Pricing and Profits
5. Conclusions
Acknowledgments
Author Contributions
Conflicts of Interest
References
- Bohli, J.; Sorge, C.; Westhoff, D. Initial observations on economics, pricing, and penetration of the internet of things market. ACM SIGCOMM Comput. Commun. Rev. 2009, 39, 50–55. [Google Scholar] [CrossRef]
- Ericsson. Ericsson Mobility Report; Ericsson: Stockholm, Sweden, 2017; pp. 1–35. [Google Scholar]
- Tan, L. Future internet: The Internet of Things. Proceedings the 2010 3rd International Conference on Advanced Computer Theory and Engineering (ICACTE), Chengdu, China, 20–22 August 2010; Volume 5, pp. V5-376–V5-380. [Google Scholar]
- Gubbi, J.; Buyya, R.; Marusic, S.; Palaniswami, M. Internet of Things (IoT): A vision, architectural elements, and future directions. Future Gener. Comput. Syst. 2013, 29, 1645–1660. [Google Scholar] [CrossRef]
- Andreev, S.; Galinina, O.; Pyattaev, A.; Gerasimenko, M.; Tirronen, T.; Torsner, J.; Sachs, J.; Dohler, M.; Koucheryavy, Y. Understanding the IoT connectivity landscape: A contemporary M2M radio technology roadmap. IEEE Commun. Mag. 2015, 53, 32–40. [Google Scholar] [CrossRef]
- Gomez, C.; Oller, J.; Paradells, J. Overview and Evaluation of Bluetooth Low Energy: An Emerging Low-Power Wireless Technology. Sensors 2012, 12, 11734–11753. [Google Scholar] [CrossRef]
- Bluetooth Special Interest Group. Bluetooth Core Specification; Version 4.2; Bluetooth: Kirkland, WA, USA, 2014; p. 2684. [Google Scholar]
- Khorov, E.; Lyakhov, A.; Krotov, A.; Guschin, A. A survey on IEEE 802.11ah: An enabling networking technology for smart cities. Comput. Commun. 2015, 58, 53–69. [Google Scholar] [CrossRef]
- Dou, R.; Nan, G. Optimizing Sensor Network Coverage and Regional Connectivity in Industrial IoT Systems. IEEE Syst. J. 2017, 11, 1351–1360. [Google Scholar] [CrossRef]
- Atzori, L.; Iera, A.; Morabito, G. The Internet of Things: A survey. Comput. Netw. 2010, 54, 2787–2805. [Google Scholar] [CrossRef]
- Serra, J.; Pubill, D.; Antonopoulos, A.; Verikoukis, C. Smart HVAC control in IoT: Energy consumption minimization with user comfort constraints. Sci. World J. 2014, 2014, 161874. [Google Scholar] [CrossRef] [PubMed]
- Tehrani, M.N.; Uysal, M.; Yanikomeroglu, H. Device-to-device communication in 5G cellular networks: Challenges, solutions, and future directions. IEEE Commun. Mag. 2014, 52, 86–92. [Google Scholar] [CrossRef]
- Palattella, M.R.; Dohler, M.; Grieco, A.; Rizzo, G.; Torsner, J.; Engel, T.; Ladid, L. Internet of Things in the 5G Era: Enablers, Architecture, and Business Models. IEEE J. Sel. Areas Commun. 2016, 34, 510–527. [Google Scholar] [CrossRef]
- Jaimes, L.G.; Vergara-Laurens, I.J.; Raij, A. A Survey of Incentive Techniques for Mobile Crowd Sensing. IEEE Internet Things J. 2015, 2, 370–380. [Google Scholar] [CrossRef]
- Kusume, K.; Fallgren, M.; Queseth, O.; Braun, V.; Gozalvez-Serrano, D.; Korthals, I.; Zimmermann, G.; Schubert, M.; Hossain, M.I.; Widaa, A.A.; et al. Updated Scenarios, Requirements and KPIs for 5G Mobile and Wireless System with Recommendations for Future Investigations. Mobile and Wireless Communications Enablers for the Twenty-Twenty Information Society (METIS) Deliverable, ICT-317669-METIS/D1.5. 2015, pp. 1–48. Available online: http://cordis.europa.eu/project/rcn/197355_en.html (accessed on 20 November 2017).
- Lema, M.A.; Laya, A.; Mahmoodi, T.; Cuevas, M.; Sachs, J.; Markendahl, J.; Dohler, M. Business Case and Technology Analysis for 5G Low Latency Applications. IEEE Access 2017, 5, 5917–5935. [Google Scholar] [CrossRef]
- Li, L.; Jin, Z.; Li, G.; Zheng, L.; Wei, Q. Modeling and analyzing the reliability and cost of service composition in the IoT: A probabilistic approach. In Proceedings of the 2012 IEEE 19th International Conference on Web Services (ICWS), Honolulu, HI, USA, 24–29 June 2012; pp. 584–591. [Google Scholar]
- Gozalvez, J. New 3GPP Standard for IoT [Mobile Radio]. IEEE Veh. Technol. Mag. 2016, 11, 14–20. [Google Scholar] [CrossRef]
- Islam, M.M.; Hassan, M.M.; Lee, G.W.; Huh, E.N. A Survey on Virtualization of Wireless Sensor Networks. Sensors 2012, 12, 2175–2207. [Google Scholar] [CrossRef] [PubMed]
- Guijarro, L.; Pla, V.; Vidal, J.R.; Naldi, M. Maximum-Profit Two-Sided Pricing in Service Platforms Based on Wireless Sensor Networks. IEEE Wirel. Commun. Lett. 2016, 5, 8–11. [Google Scholar] [CrossRef]
- Guijarro, L.; Naldi, M.; Pla, V.; Vidal, J.R. Pricing of Wireless Sensor Data on a centralized bundling platform. In Proceedings of the 2016 23rd International Conference on Telecommunications (ICT), Thessaloniki, Greece, 16–18 May 2016; pp. 1–5. [Google Scholar]
- Niyato, D.; Hoang, D.T.; Luong, N.C.; Wang, P.; Kim, D.I.; Han, Z. Smart data pricing models for the internet of things: A bundling strategy approach. IEEE Netw. 2016, 30, 18–25. [Google Scholar] [CrossRef]
- Niyato, D.; Lu, X.; Wang, P.; Kim, D.I.; Han, Z. Economics of Internet of Things: An information market approach. IEEE Wirel. Commun. 2016, 23, 136–145. [Google Scholar] [CrossRef]
- Ha, S.; Sen, S.; Joe-Wong, C.; Im, Y.; Chiang, M. TUBE: Time-dependent pricing for mobile data. ACM SIGCOMM Comput. Commun. Rev. 2012, 42, 247–258. [Google Scholar] [CrossRef]
- Tsiropoulou, E.E.; Katsinis, G.K.; Papavassiliou, S. Utility-based power control via convex pricing for the uplink in CDMA wireless networks. In Proceedings of the 2010 European Wireless Conference (EW), Lucca, Italy, 12–15 April 2010; pp. 200–206. [Google Scholar]
- Tsiropoulou, E.E.; Vamvakas, P.; Papavassiliou, S. Joint Customized Price and Power Control for Energy-Efficient Multi-Service Wireless Networks via S-Modular Theory. IEEE Trans. Green Commun. Netw. 2017, 1, 17–28. [Google Scholar] [CrossRef]
- Vamvakas, P.; Tsiropoulou, E.E.; Papavassiliou, S. Dynamic Provider Selection & Power Resource Management in Competitive Wireless Communication Markets. Mob. Netw. Appl. 2017, 1–14. [Google Scholar] [CrossRef]
- Mekikis, P.V.; Kartsakli, E.; Lalos, A.S.; Antonopoulos, A.; Alonso, L.; Verikoukis, C. Connectivity of large-scale WSNs in fading environments under different routing mechanisms. In Proceedings of the 2015 IEEE International Conference on Communications (ICC), London, UK, 8–12 June 2015; pp. 6553–6558. [Google Scholar]
- Mandjes, M. Pricing strategies under heterogeneous service requirements. Comput. Netw. 2003, 42, 231–249. [Google Scholar] [CrossRef]
- Hayel, Y.; Ros, D.; Tuffin, B. Less-than-best-effort services: Pricing and scheduling. In Proceedings of the Twenty-Third Annual Joint Conference of the IEEE Computer and Communications Societies, Hong Kong, China, 7–11 March 2004; Volume 1, pp. 66–75. [Google Scholar]
- Hayel, Y.; Tuffin, B. Pricing for Heterogeneous Services at a Discriminatory Processor Sharing Queue. In Proceedings of the International Conference on Research in Networking, Waterloo, ON, Canada, 2–6 May 2005; Springer: Berlin/Heidelberg, Germany, 2005; pp. 816–827. [Google Scholar]
- Guijarro, L.; Pla, V.; Tuffin, B. Entry game under opportunistic access in cognitive radio networks: A priority queue model. In Proceedings of the 2013 IFIP Wireless Days (WD), Valencia, Spain, 13–15 November 2013; pp. 1–6. [Google Scholar]
- Sanchis-cano, A.; Guijarro, L.; Pla, V.; Vidal, J.R. Economic Viability of HTC and MTC Service Provision on a Common Network Infrastructure. In Proceedings of the 2017 14th IEEE Annual Consumer Communications & Networking Conference (CCNC), Las Vegas, NV, USA, 8–11 January 2017; pp. 1051–1057. [Google Scholar]
- Chau, C.K.; Wang, Q.; Chiu, D.M. On the Viability of Paris Metro Pricing for Communication and Service Networks. In Proceedings of the 2010 Proceedings IEEE INFOCOM, San Diego, CA, USA, 14–19 March 2010; pp. 1–9. [Google Scholar]
- Shariatmadari, H.; Ratasuk, R.; Iraji, S.; Laya, A.; Taleb, T.; Jäntti, R.; Ghosh, A. Machine-type communications: Current status and future perspectives toward 5G systems. IEEE Commun. Mag. 2015, 53, 10–17. [Google Scholar] [CrossRef]
- Ng, P.C.H.; Boon-Hee, P.S. Queueing Modelling Fundamentals: With Applications in Communication Networks; John Wiley & Sons: Hoboken, NJ, USA, 2008; p. 294. [Google Scholar]
- Mendelson, H. Pricing computer services: Queueing effects. Commun. ACM 1985, 28, 312–321. [Google Scholar] [CrossRef]
- Rust, R.T.; Oliver, R.L. Service Quality: New Directions in Theory and Practice; Sage Publications: Thousand Oaks, CA, USA, 1993. [Google Scholar]
- Altman, E.; Boulogne, T.; El-Azouzi, R.; Jiménez, T.; Wynter, L. A survey on networking games in telecommunications. Comput. Oper. Res. 2006, 33, 286–311. [Google Scholar] [CrossRef]
- Belleflamme, P.; Peitz, M. Industrial Organization: Markets and Strategies; Cambridge University Press: Cambridge, UK, 2015; Volume 33, pp. 3–8. [Google Scholar]
- Maille, P.; Tuffin, B. Telecommunication Network Economics; Cambridge University Press: Cambridge, UK, 2014. [Google Scholar]
- Reichl, P.; Tuffin, B.; Schatz, R. Logarithmic laws in service quality perception: Where microeconomics meets psychophysics and quality of experience. Telecommun. Syst. 2011, 52, 587–600. [Google Scholar] [CrossRef]
- Egger, S.; Reichl, P.; Hosfeld, T.; Schatz, R. “Time is bandwidth”? Narrowing the gap between subjective time perception and Quality of Experience. In Proceedings of the 2012 IEEE International Conference on Communications (ICC), Ottawa, ON, Canada, 10–15 June 2012; pp. 1325–1330. [Google Scholar]
- Reichl, P.; Tuffin, B.; Maillé, P. Economics of Quality of Experience. In Lecture Notes in Computer Science; Springer: Berlin/Heidelberg, Germany, 2012; pp. 158–166. [Google Scholar]
- Rault, T.; Bouabdallah, A.; Challal, Y. Energy efficiency in wireless sensor networks: A top-down survey. Comput. Netw. 2014, 67, 104–122. [Google Scholar] [CrossRef]
- Akyildiz, I.; Su, W.; Sankarasubramaniam, Y.; Cayirci, E. Wireless sensor networks: A survey. Comput. Netw. 2002, 38, 393–422. [Google Scholar] [CrossRef]
- Mekikis, P.V.; Antonopoulos, A.; Kartsakli, E.; Alonso, L.; Verikoukis, C. Connectivity Analysis in Wireless-Powered Sensor Networks with Battery-Less Devices. In Proceedings of the 2016 IEEE Global Communications Conference (GLOBECOM), Washington, DC, USA, 4–8 December 2016; pp. 1–6. [Google Scholar]
- Sandholm, W.H. Population Games and Evolutionary Dynamics; The MIT Press: Cambridge, MA, USA, 2010; p. 589. [Google Scholar]
- Train, K. Discrete Choice Methods With Simulation; Cambridge University Press: Cambridge, UK, 2009; p. 388. [Google Scholar]
- John Wiley Barron, E.N. Game Theory: An Introduction; John Wiley & Sons: Hoboken, NJ, USA, 2013; pp. 1–52. [Google Scholar]
- Guijarro, L.; Pla, V.; Vidal, J.R.; Naldi, M. Game Theoretical Analysis of Service Provision for the Internet of Things Based on Sensor Virtualization. IEEE J. Sel. Areas Commun. 2017, 35, 691–706. [Google Scholar] [CrossRef]






















| Parameter | Value |
|---|---|
| Quality conversion factor (c) | 1 |
| Sensor data generation ratio (r) | 1 |
| Mean sensing-data-unit transmission time () | 1/800 |
| Total Number of sensors (N) | 200 |
| Number of IoT-SP sensors () | |
| Number of IoT-SP sensors () | |
| Number of users (M) | 1000 |
| Sensitivity () | 1.5 |
© 2017 by the authors. Licensee MDPI, Basel, Switzerland. This article is an open access article distributed under the terms and conditions of the Creative Commons Attribution (CC BY) license (http://creativecommons.org/licenses/by/4.0/).
Share and Cite
Sanchis-Cano, A.; Romero, J.; Sacoto-Cabrera, E.J.; Guijarro, L. Economic Feasibility of Wireless Sensor Network-Based Service Provision in a Duopoly Setting with a Monopolist Operator. Sensors 2017, 17, 2727. https://doi.org/10.3390/s17122727
Sanchis-Cano A, Romero J, Sacoto-Cabrera EJ, Guijarro L. Economic Feasibility of Wireless Sensor Network-Based Service Provision in a Duopoly Setting with a Monopolist Operator. Sensors. 2017; 17(12):2727. https://doi.org/10.3390/s17122727
Chicago/Turabian StyleSanchis-Cano, Angel, Julián Romero, Erwin J. Sacoto-Cabrera, and Luis Guijarro. 2017. "Economic Feasibility of Wireless Sensor Network-Based Service Provision in a Duopoly Setting with a Monopolist Operator" Sensors 17, no. 12: 2727. https://doi.org/10.3390/s17122727
APA StyleSanchis-Cano, A., Romero, J., Sacoto-Cabrera, E. J., & Guijarro, L. (2017). Economic Feasibility of Wireless Sensor Network-Based Service Provision in a Duopoly Setting with a Monopolist Operator. Sensors, 17(12), 2727. https://doi.org/10.3390/s17122727

