A Network Coding Based Hybrid ARQ Protocol for Underwater Acoustic Sensor Networks
Abstract
:1. Introduction
- (1)
- We propose a reliable data transfer protocol for UASNs based on network coding and HARQ that can achieve higher throughput performance and reduce the energy consumption. We use an improved variant of fountain code with high efficiency and the relay nodes can encode and decode quickly.
- (2)
- To reduce the redundant feedback, we design a block-based transmission scheme. The encoded packets are gathered in blocks and a selective-repeat ARQ scheme is utilized to ensure the successful transmission of each block. We also design an adaptive sending window length estimation algorithm to optimize the throughput, which can be adapted to the dynamic underwater environment.
- (3)
- We design a dynamic 3D underwater network model and conduct extensive simulations to verify the outstanding performance of our proposed protocol in average delay and energy efficiency. The results show that our proposed protocol outperforms previous works, including stop and wait ARQ (S&W ARQ), SDRT and FOCAR. We also present a detailed analysis of the simulations.
2. Network and Channel Model
2.1. Network Model
2.2. Underwater Channel Model
3. Network Coding Design
3.1. Review of Network Coding
3.2. A Practical Network Coding Based on Fountain Code
- (1)
- Find a coded packet that is connected only to one data packet and then can be decoded by . Remove all the edges connected to packet .
- (2)
- Repeat (1) until all the data packets are decoded or there is no existing packet that is connected to only one data packet.
4. Protocol Design
- (1)
- The propagation delay is much longer than transmission delay in underwater channel. Thus, it will be very inefficient to inform the sender of the ACK or NACK information of every packet, and the channel utilization would be very low due to the long end-to-end delay. The packet error rate will be much lower and a higher throughput can be achieved with the help of relays.
- (2)
- In a packet by packet transmission mode, if a node sends a packet to a receiver successfully but the sender could not receive a valid ACK from the receiver due to the high packet error rate, the sender has to send the packet again and the duplicated information will be useless for the receiver. For example, if a packet is transmitted successfully from node i to node , it will be wasteful for node and node to send the packet again. However, due to the high packet error rate and half-duplex system in UASNs, it would be hard for all of the nodes between node i to node to receive the valid ACK from node . Thus, useless retransmissions will cost high energy and bring a long end-to-end delay.
4.1. Protocol Overview
4.2. Window Size Estimation
4.2.1. Block Size Estimation
4.2.2. Retransmission Window Size Estimation
5. Performance Evaluation
5.1. Metrics and Simulation Parameters
- (1)
- Transmission Redundancy : the metric is defined as in Equation (14):This metric indicates the average sending packets for transmitting a data packet successfully and . A large η means the system is inefficient and thus more energy consumption is needed. The main source of energy consumption for underwater applications comes from the sending data process, and we mainly measure the energy consumption by calculating the number of sending packets under the same transmitting sound level. The larger the number of average sending packets for transmitting one data packet successfully, the more energy that the system consumes.
- (2)
- Average Delay: the metric is defined as in Equation (15):This metric indicates the average end-to-end delay from the sender to the destination node for a single data packet transmission. A small ϕ means the system has a high throughput and better channel utilization.
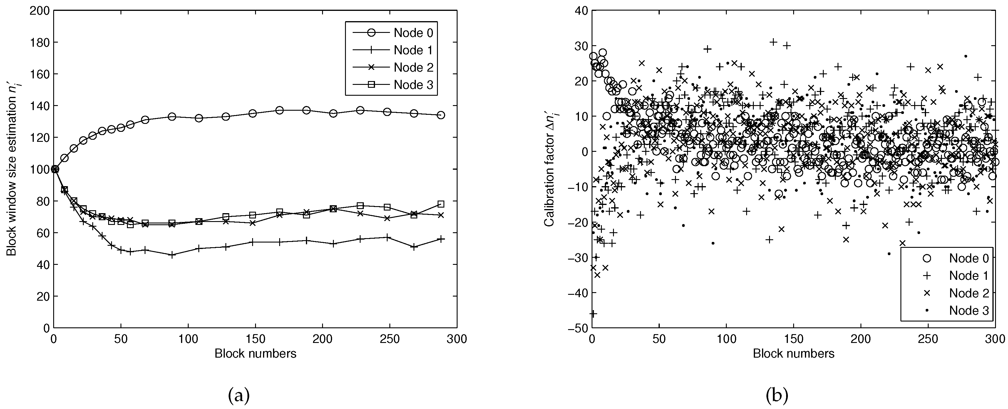
5.2. Optimum Window Size
5.3. Effects of Transmission Power, Number of Hops and Redundancy
5.4. NCHARQ, SDRT, FOCAR, S&W and ARQ Performance Comparison
6. Conclusions
Acknowledgments
Author Contributions
Conflicts of Interest
References
- Akyildiz, I.F.; Pompili, D.; Melodia, T. Underwater acoustic sensor networks: Research challenges. Ad Hoc Netw. 2005, 3, 257–279. [Google Scholar] [CrossRef]
- Luo, Y.; Pu, L.; Zuba, M.; Peng, Z.; Cui, J.H. Challenges and opportunities of underwater cognitive acoustic networks. IEEE Trans. Emerg. Top. Comp. 2014, 2, 198–211. [Google Scholar] [CrossRef]
- Ghosh, A.; Lee, J.W.; Cho, H.S. Throughput and energy efficiency of a cooperative hybrid ARQ protocol for underwater acoustic sensor networks. Sensors 2013, 13, 15385–15408. [Google Scholar] [CrossRef] [PubMed]
- Climent, S.; Sanchez, A.; Capella, J.V.; Meratnia, N.; Serrano, J.J. Underwater acoustic wireless sensor networks: Advances and future trends in physical, MAC and routing layers. Sensors 2014, 14, 795–833. [Google Scholar] [CrossRef] [PubMed]
- Wu, H.; Chen, M.; Guan, X. A network coding based routing protocol for underwater sensor networks. Sensors 2012, 12, 4559–4577. [Google Scholar] [CrossRef] [PubMed]
- Stojanovic, M. Optimization of a data link protocol for an underwater acoustic channel. In Proceedings of the Oceans 2005 Europe, Brest, France, 20–23 June 2005; pp. 68–73.
- Kwatra, P. ARQ protocol studies in underwater communication networks. In Proceedings of the 2013 International Conference on Signal Processing and Communication (ICSC), Noida, India, 12–14 December 2013; pp. 121–126.
- Zhuang, H.; Tan, H.P.; Valera, A.; Bai, Z. Opportunistic ARQ with bidirectional overhearing for reliable multihop underwater networking. In Proceedings of the OCEANS 2010 IEEE-Sydney, Sydney, Australia, 24–27 May 2010; pp. 1–6.
- Liu, B.; Chen, H.; Lei, X.; Ren, F.; Sezaki, K. Internode distance-based redundancy reliable transport in underwater sensor networks. EURASIP J. Wirel. Commun. Netw. 2010, 2010, 1–16. [Google Scholar] [CrossRef] [Green Version]
- Guo, Z.; Wang, B.; Xie, P.; Zeng, W.; Cui, J.H. Efficient error recovery with network coding in underwater sensor networks. Ad Hoc Netw. 2009, 7, 791–802. [Google Scholar] [CrossRef]
- Cai, S.; Gao, Z.; Yang, D.; Yao, N. A network coding based protocol for reliable data transfer in underwater acoustic sensor. Ad Hoc Netw. 2013, 11, 1603–1609. [Google Scholar] [CrossRef]
- Cai, S.; Yao, N.; Gao, Z. A reliable data transfer protocol based on twin paths and network coding for underwater acoustic sensor network. EURASIP J. Wirel. Commun. Netw. 2015, 2015, 1–6. [Google Scholar] [CrossRef]
- Xie, P.; Zhou, Z.; Peng, Z.; Cui, J.H.; Shi, Z. SDRT: A reliable data transport protocol for underwater sensor networks. Ad Hoc Netw. 2010, 8, 708–722. [Google Scholar] [CrossRef]
- Xie, P.; Cui, J.H. An FEC-based reliable data transport protocol for underwater sensor networks. In Proceedings of the 16th International Conference on Computer Communications and Networks, Honolulu, HI, USA, 13–16 August 2007; pp. 747–753.
- Zhou, Z.; Mo, H.; Zhu, Y.; Peng, Z.; Huang, J.; Cui, J.H. Fountain code based adaptive multi-hop reliable data transfer for underwater acoustic networks. In Proceedings of the 2012 IEEE International Conference on Communications (ICC), Ottawa, ON, Canada, 10–15 June 2012; pp. 6396–6400.
- Mo, H.; Zhou, Z.; Zuba, M.; Peng, Z.; Cui, J.H.; Shu, Y. Practical coding-based multi-hop reliable data transfer for underwater acoustic networks. In Proceedings of the Global Communications Conference (GLOBECOM), Anaheim, CA, USA, 3–7 December 2012; pp. 5751–5756.
- Lucani, D.E.; Médard, M.; Stojanovic, M. Network coding schemes for underwater networks: The benefits of implicit acknowledgement. In Proceedings of the Second Workshop on Underwater Networks, Montreal, QC, Canada, 9–14 September 2007; pp. 25–32.
- AlDharrab, S.; Uysal, M.; Duman, T. Cooperative Underwater Acoustic Communications. IEEE Commun. Mag. 2013, 51, 146–153. [Google Scholar] [CrossRef]
- Urick, R.J. Principles of Underwater Sound for Engineers; Tata McGraw-Hill Education: New York, YN, USA, 1967. [Google Scholar]
- Brekhovskikh, L.M. Fundamentals of Ocean Acoustics; Springer Science and Business Media: Berlin, Germany, 2003. [Google Scholar]
- Wenz, G.M. Acoustic ambient noise in the ocean: Spectra and sources. J. Acoust. Soc. Am. 1962, 34, 1936–1956. [Google Scholar] [CrossRef]
- Bin, L.; Hao, W.; Fengyuan, R.; Chuang, L. Performance analysis of reliable transport schemes joint with the optimal frequency and optimal packet length in underwater sensor networks. In Proceedings of the 2008 International Symposium on World of Wireless, Mobile and Multimedia Networks, Arlington, TX, USA, 23–26 June 2008; pp. 1–5.
- Geethu, K.; Babu, A. Performance analysis of erasure coding based data transfer in Underwater Acoustic Sensor Networks. In Proceedings of the International Conference on Advances in Computing, Communications and Informatics (ICACCI), Kochi, India, 10–13 August 2015; pp. 2145–2151.
- Goldsmith, A. Wireless Communications; Cambridge University Press: Cambridge, UK, 2005. [Google Scholar]
- Ahlswede, R.; Cai, N.; Li, S.Y.R.; Yeung, R.W. Network information flow. IEEE Trans. Inf. Theor. 2000, 46, 1204–1216. [Google Scholar] [CrossRef]
- Li, S.Y.R.; Yeung, R.W.; Cai, N. Linear network coding. IEEE Trans. Inf. Theor. 2003, 49, 371–381. [Google Scholar] [CrossRef]
- Fragouli, C.; Le Boudec, J.Y.; Widmer, J. Network coding: An instant primer. ACM SIGCOMM Comp. Commun. Rev. 2006, 36, 63–68. [Google Scholar] [CrossRef]
- Luby, M.G.; Mitzenmacher, M.; Shokrollahi, M.A.; Spielman, D.A.; Stemann, V. Practical loss-resilient codes. In Proceedings of the 29th Annual Symposium on Theory of Computing, El Paso, TX, USA, 4–6 May 1997; pp. 150–159.
- Shokrollahi, A. Raptor codes. IEEE Trans. Inf. Theor. 2006, 52, 2551–2567. [Google Scholar] [CrossRef]
- Rao, K.D. Channel Coding Techniques for Wireless Communications; Springer: Berlin, Germany, 2015. [Google Scholar]








| Sender |
|---|
| (1) Updates the sending window size for node i, encodes the recovered data packets in a block into N encoded packets, and sends out encoded packets at one time; |
| (2) Sets a timer and waits for the ACK/NACK feedback. If an ACK is received, then it goes to (1), else goes to (3); |
| (3) Estimates the retransmission window size m with the information from NACK and sends m selected encoded packets. Then, it goes back to (2). |
| Receiver |
| (1) Decodes the received packets from all upstream nodes until no more packets are received from its adjacent upstream node; |
| (2) Sends an ACK packet back and goes to (3) if the original data in the block can be reconstructed successfully or sends a NACK packet and goes back to (1) if else. The information (lost packets number and index) in an ACK or NACK packet is detailed in Section 4.2; |
| (3) Encodes the recovered data packets again and transmits them to the next hop. |
| Parameter | Value |
|---|---|
| Maximum mobility range radius R | 300 m |
| Sound speed | 1500 m/s |
| Data packet size | 50 Bytes |
| Original data packet number in a block | 100 |
| Data rate () | 10 kbps |
| Carrier frequency | 10 kHz |
| Synchronous time | 10 |
| State transition delay | 1.5 s |
| Transmitting sound level | 123–125 dB @10 kHz |
© 2016 by the authors; licensee MDPI, Basel, Switzerland. This article is an open access article distributed under the terms and conditions of the Creative Commons Attribution (CC-BY) license (http://creativecommons.org/licenses/by/4.0/).
Share and Cite
Wang, H.; Wang, S.; Zhang, E.; Zou, J. A Network Coding Based Hybrid ARQ Protocol for Underwater Acoustic Sensor Networks. Sensors 2016, 16, 1444. https://doi.org/10.3390/s16091444
Wang H, Wang S, Zhang E, Zou J. A Network Coding Based Hybrid ARQ Protocol for Underwater Acoustic Sensor Networks. Sensors. 2016; 16(9):1444. https://doi.org/10.3390/s16091444
Chicago/Turabian StyleWang, Hao, Shilian Wang, Eryang Zhang, and Jianbin Zou. 2016. "A Network Coding Based Hybrid ARQ Protocol for Underwater Acoustic Sensor Networks" Sensors 16, no. 9: 1444. https://doi.org/10.3390/s16091444
APA StyleWang, H., Wang, S., Zhang, E., & Zou, J. (2016). A Network Coding Based Hybrid ARQ Protocol for Underwater Acoustic Sensor Networks. Sensors, 16(9), 1444. https://doi.org/10.3390/s16091444
