Gas Sensing Analysis of Ag-Decorated Graphene for Sulfur Hexafluoride Decomposition Products Based on the Density Functional Theory
Abstract
:1. Introduction
2. Materials and Methods
3. Results
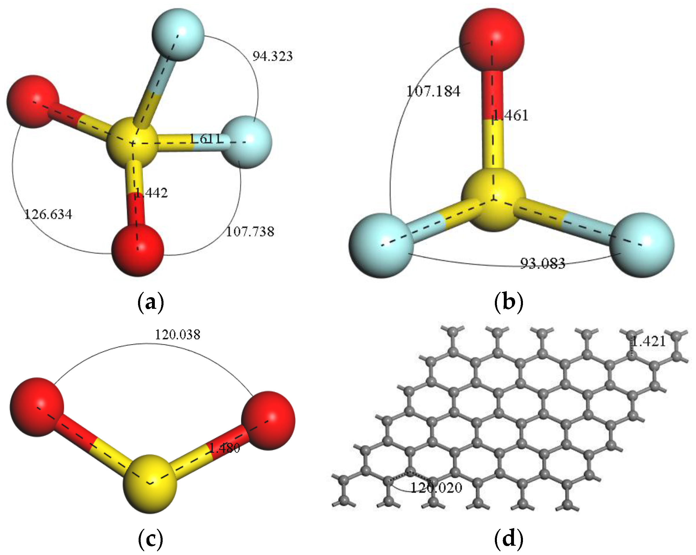
3.1. Establishment of the Geometric Model
3.2. Adsorption of a Single Gas Molecule on Int-Graphene
3.3. Adsorption of a Single Gas Molecule on Ag-Graphene
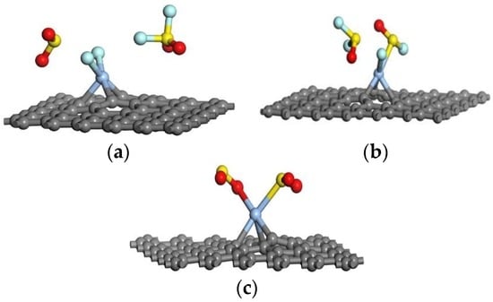
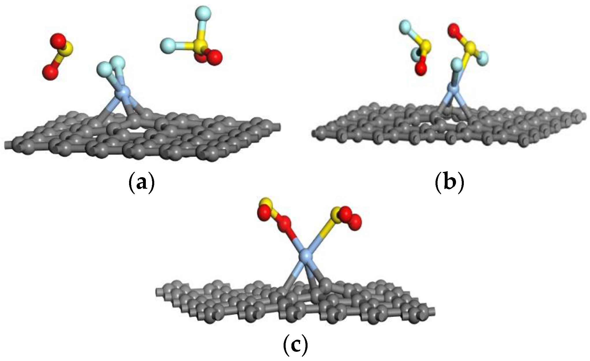
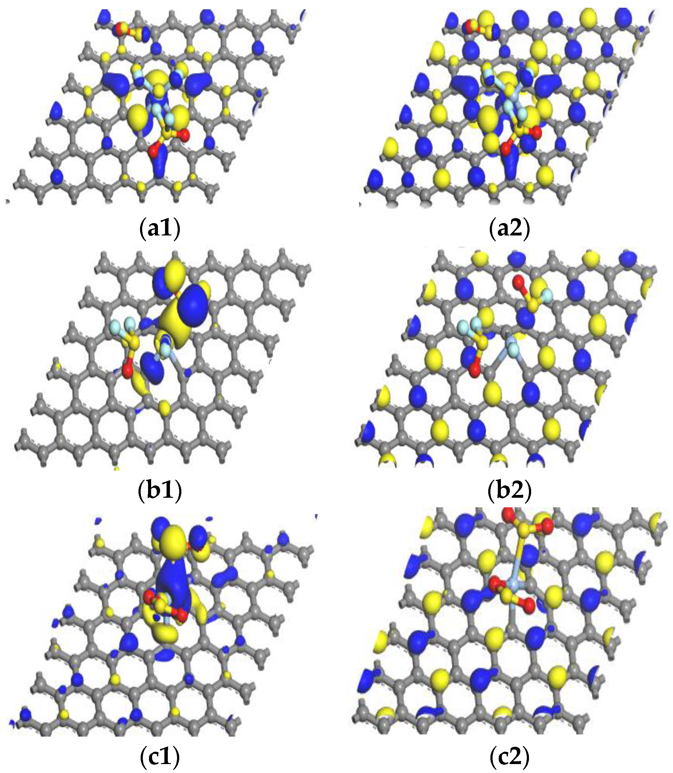
3.4. Adsorption of Double Gas Molecules on Ag-Graphene
4. Conclusions
- (1)
- After calculating and comparing the binding energy of three different Ag atom adsorption positions on graphene, the T-site was the best decorated location for Ag atom.
- (2)
- Comparing with weak gas molecule interaction with Int-graphene, the Ag atom significantly enhances the electrochemical reactivity of graphene, reflected in the change of conductivity during the adsorption process.
- (3)
- For single gas molecule adsorption, SO2 and SO2F2 gas molecules were adsorbed on Ag-graphene with strong chemical adsorption effect, and the interaction strength decreased in following order: SO2F2 > SO2. Also, Ag-graphene physically interacted with SOF2. The information from DOS, HOMO, and LUMO supported the conclusion that the electrical resistivity of the system was reduced during the adsorption process.
- (4)
- The adsorption results of double gas molecules were similar to those of single gas molecules, and the increase of the number of molecules did not change the type of interaction. The decorating Ag atom only provided one adsorption site, so that only one gas molecule could be adsorbed on Ag-graphene when 2SO2F2 or 2SOF2 were near Ag-graphene. However, the adsorption energy and net charge transfer were significantly improved compared with that of single gas molecule adsorption. Based on the system conductivity change, the electrical conductivity of the system would further increase with the increase of adsorbed molecules (2SO2F2 and 2SOF2).
Acknowledgments
Author Contributions
Conflicts of Interest
References
- Bolin, P.; Koch, H. Gas insulated substation GIS. In Proceedings of the Power Engineering Society General Meeting Power Engineering Society General Meeting, Montreal, QC, Canada, 18–22 June 2006; pp. 1–3.
- Van Brunt, R.J.; Herron, J.T. Fundamental processes of SF6 decomposition and oxidation in glow and corona discharges. IEEE Trans. Electr. Insul. 1990, 25, 75–94. [Google Scholar] [CrossRef]
- Beyer, C.; Jenett, H.; Klockow, D. Influence of reactive SFx gases on electrode surfaces after electrical discharges under SF6 atmosphere. IEEE Trans. Dielectr. Electr. Insul. 2000, 7, 234–240. [Google Scholar] [CrossRef]
- Tang, J.; Zeng, F.; Pan, J.; Zhang, X.; Yao, Q.; He, J.; Hou, X. Correlation analysis between formation process of SF6 decomposed components and partial discharge qualities. IEEE Trans. Dielectr. Electr. Insul. 2013, 20, 864–875. [Google Scholar] [CrossRef]
- Stankovich, S.; Dikin, D.A.; Dommett, G.H.B.; Kohlhaas, K.M.; Zimney, E.J.; Stach, E.A.; Piner, R.D.; Nguyen, S.B.T.; Ruoff, R.S. Graphene-based composite materials. Nature 2011, 442, 282–286. [Google Scholar] [CrossRef] [PubMed]
- Liangti, Q.; Yong, L.; Jong-Beom, B.; Liming, D. Nitrogen-doped graphene as efficient metal-free electro catalyst for oxygen reduction in fuel cells. ACS Nano 2010, 4, 1321–1326. [Google Scholar]
- Wang, D.; Kou, R.; Choi, D.; Yang, Z.; Nie, Z.; Li, J.; Saraf, L.V.; Hu, D.; Zhang, J.; Graff, G.L.; et al. Ternary self-assembly of ordered metal oxide-graphene nanocomposites for electrochemical energy storage. ACS Nano 2010, 4, 1587–1595. [Google Scholar] [CrossRef] [PubMed]
- Berger, C.; Song, Z.; Li, T.; Li, X.; Ogbazghi, A.Y.; Feng, R.; Dai, Z.; Marchenkov, A.N.; Conrad, E.H.; First, P.N.; et al. Ultrathin epitaxial graphite: 2D electron gas properties and a route toward graphene-based nanoelectronics. Phys. Chem. B 2004, 108, 19912–19916. [Google Scholar] [CrossRef]
- Stoller, M.D.; Park, S.; Zhu, Y.; An, J.; Ruoff, R.S. Graphene-based ultra capacitors. Nano Lett. 2008, 8, 3498–3502. [Google Scholar] [CrossRef] [PubMed]
- Novoselov, K.S.; Firsov, A.A. Electric Field Effect in Atomically Thin Carbon Films. Science 2004, 306, 666–669. [Google Scholar] [CrossRef] [PubMed]
- Novoselov, K.S.; Geim, A.K.; Morozov, S.V.; Jiang, D.; Katsnelson, M.I.; Grigorieva, I.V.; Dubonos, S.V.; Firsov, A.A. Two-Dimensional Gas of Massless Dirac Fermions in Graphene. Nature 2005, 438, 197–200. [Google Scholar] [CrossRef] [PubMed]
- Phaedon, A.; Zhihong, C.; Vasili, P. Carbon-based electronics. Nat. Nano Technol. 2007, 2, 605–615. [Google Scholar]
- Schedin, F.; Geim, A.K.; Morozov, S.V.; Hill, E.W.; Blake, P.; Katsnelson, M.I.; Novoselov, K.S. Detection of individual gas molecules adsorbed on graphene. Nat. Mater. 2007, 6, 652–655. [Google Scholar]
- Shao, L.; Chen, G.; Ye, H.; Wu, Y.; Qiao, Z.; Zhu, Y.; Niu, H. Sulfur dioxide adsorbed on graphene and heteroatom-doped graphene: A first-principles study. Phys. Condens. Matter 2013, 86, 1–5. [Google Scholar] [CrossRef]
- Pramanik, A.; Kang, H.S. Density Functional Theory Study of O2 and NO Adsorption on Heteroatom-Doped Graphenes Including the van der Waals Interaction. Appl. Econ. Lett. 2010, 17, 895–900. [Google Scholar]
- Kaniyoor, A.; Imran, J.R.; Arockiadoss, T.; Ramaprabhu, S. Nanostructured Pt decorated graphene and multi walled carbon nanotube based room temperature hydrogen gas sensor. Nanoscale 2009, 1, 382–386. [Google Scholar] [CrossRef] [PubMed]
- Xiaoxing, Z.; Bing, Y.; Xiaojing, W.; Chenchen, L. Effect of Plasma Treatment on Multi-Walled Carbon Nanotubes for the Detection of H2S and SO2. Sensors 2012, 12, 9375–9385. [Google Scholar]
- Bhat, S.A.; Rather, M.A.; Pandit, S.A.; Ingole, P.P.; Bhat, M.A. Oxides in silver-graphene nanocomposites: Electrochemical signatures and electro catalytic implications. Analyst 2015, 140, 5601–5608. [Google Scholar] [CrossRef] [PubMed]
- Choucair, M.; Mauron, P. Versatile preparation of graphene-based nanocomposites and their hydrogen adsorption. Int. J. Hydrogen Energy 2015, 40, 6158–6164. [Google Scholar] [CrossRef]
- Yu, M.; Liu, P.-R.; Sun, Y.-J.; Liu, J.-H.; An, J.-W.; Li, S.-M. Fabrication and Characterization of Graphene-Ag Nanoparticles Composites. J. Inorg. Mater. 2012, 27, 89–94. [Google Scholar] [CrossRef]
- Silvestrelli, P.L. Van der Waals interactions in DFT made easy by Wannier functions. Phys. Rev. Lett. 2008, 100, 1135–1140. [Google Scholar] [CrossRef] [PubMed]
- Zhang, Y.H.; Han, L.F.; Xiao, Y.H.; Jia, D.Z.; Guo, Z.H.; Li, F. Understanding dopant and defect effect on H2S sensing performances of graphene: A first-principles study. Comput. Mater. Sci. 2013, 69, 222–228. [Google Scholar] [CrossRef]
- Zhang, X.; Yu, L.; Gui, Y.; Hu, W. First-principles study of SF6 decomposed gas adsorbed on Au-decorated graphene. Appl. Surf. Sci. 2016, 367, 259–269. [Google Scholar] [CrossRef]
- Zhang, X.; Gui, Y.; Dai, Z. A simulation of Pd-doped SWCNTs used to detect SF6 decomposition components under partial discharge. Appl. Surf. Sci. 2014, 315, 196–202. [Google Scholar] [CrossRef]
- Granatier, J.; Lazar, P.; Otyepka, M.; Hobza, P. The Nature of the Binding of Au, Ag, and Pd to Benzene, Coronene, and Graphene: From Benchmark CCSD (T) Calculations to Plane-Wave DFT Calculations. J. Chem. Theory Comput. 2011, 7, 3743–3755. [Google Scholar] [CrossRef] [PubMed]
- Castillo, R.M.D.; Sansores, L.E. Study of the electronic structure of Ag, Au, Pt and Pd clusters adsorption on graphene and their effect on conductivity. Phys. Condens. Matter 2015, 88, 1–13. [Google Scholar] [CrossRef]
- Zhou, M.; Lu, Y.H.; Cai, Y.Q.; Zhang, C.; Feng, Y.P. Adsorption of gas molecules on transition metal embedded graphene: A search for high-performance graphene-based catalysts and gas sensors. Nanotechnology 2011, 22, 385502–385509. [Google Scholar] [CrossRef] [PubMed]













| Doping Sites | H-site | B-site | T-site |
|---|---|---|---|
| Eform (eV) | 1.51 | 1.32 | 0.85 |
| System | d (Å) | ∆Eads (eV) | Bond Length (Å) | Qt (e) |
|---|---|---|---|---|
| Int-graphene/SO2F2 | 3.486 | −0.463 | 1.610 (S-F2), 1.612 (S-F1), 1.442 (O2-S), 1.442 (O1-S) | −0.004 |
| Int-graphene/SOF2 | 3.531 | −0.459 | 1.672 (S-F1), 1.702 (S-F2), 1.463 (O-S) | −0.002 |
| Int-graphene/SO2 | 3.344 | −0.298 | 1.481 (O2-S), 1.482 (O1-S) | −0.003 |
| System | d (Å) | ∆Eads (eV) | Bond Length (Å) | Qt (e) |
|---|---|---|---|---|
| Ag-graphene/SO2F2 | 2.013 | −1.448 | 3.942 (S-F2), 1.948 (S-F1), 1.488 (O2-S), 1.536 (O1-S) | −1.084 |
| Ag-graphene/SOF2 | 2.029 | −0.678 | 2.718 (S-F1), 1.683 (S-F2), 1.536 (O-S) | −0.153 |
| Ag-graphene/SO2 | 2.210 | −1.075 | 1.499 (O2-S), 1.582 (O1-S) | −0.350 |
| System | EHOMO/eV | ELUMO/eV | Eg/eV |
|---|---|---|---|
| Ag-graphene | −4.589 | −4.317 | 0.272 |
| Ag-graphene/SO2F2 | −6.263 | −5.502 | 0.761 |
| Ag-graphene/SOF2 | −5.230 | −4.945 | 0.285 |
| Ag-graphene/SO2 | −5.271 | −4.912 | 0.359 |
| System | d (Å) | ∆Eads (eV) | Bond Length(Å) | Qt (e) |
|---|---|---|---|---|
| Ag-graphene/SO2F2 | 2.004 | −1.365 | 2.241 (S-F1), 3.612 (S-F2), | −1.113 |
| 1.494 (O1-S), 1.487 (O2-S), | ||||
| 1.605 (S-F3), 1.606 (S-F4), | ||||
| 1.443 (O3-S), 1.444 (O4-S) | ||||
| Ag-graphene/SOF2 | 2.080 | −0.503 | 1.702 (S-F1), 1.672 (S-F2), | −0.203 |
| 1.514 (O-S), 1.671 (S-F1), | ||||
| 1.673 (S-F2), 1.460 (O-S) | ||||
| Ag-graphene/SO2 | 2.210 | −1.465 | 1.546 (O1-S), 1.503 (O2-S), | −0.701 |
| 1.498 (O3-S), 1.493 (O4-S) |
| System | EHOMO/eV | ELUMO/eV | Eg/eV |
|---|---|---|---|
| Ag-graphene | −4.589 | −4.317 | 0.272 |
| Ag-graphene/2SO2F2 | −6.250 | −5.200 | 1.050 |
| Ag-graphene/2SOF2 | −5.286 | −4.903 | 0.282 |
| Ag-graphene/2SO2 | −5.644 | −5.102 | 0.542 |
© 2016 by the authors; licensee MDPI, Basel, Switzerland. This article is an open access article distributed under the terms and conditions of the Creative Commons Attribution (CC-BY) license (http://creativecommons.org/licenses/by/4.0/).
Share and Cite
Zhang, X.; Huang, R.; Gui, Y.; Zeng, H. Gas Sensing Analysis of Ag-Decorated Graphene for Sulfur Hexafluoride Decomposition Products Based on the Density Functional Theory. Sensors 2016, 16, 1830. https://doi.org/10.3390/s16111830
Zhang X, Huang R, Gui Y, Zeng H. Gas Sensing Analysis of Ag-Decorated Graphene for Sulfur Hexafluoride Decomposition Products Based on the Density Functional Theory. Sensors. 2016; 16(11):1830. https://doi.org/10.3390/s16111830
Chicago/Turabian StyleZhang, Xiaoxing, Rong Huang, Yingang Gui, and Hong Zeng. 2016. "Gas Sensing Analysis of Ag-Decorated Graphene for Sulfur Hexafluoride Decomposition Products Based on the Density Functional Theory" Sensors 16, no. 11: 1830. https://doi.org/10.3390/s16111830
APA StyleZhang, X., Huang, R., Gui, Y., & Zeng, H. (2016). Gas Sensing Analysis of Ag-Decorated Graphene for Sulfur Hexafluoride Decomposition Products Based on the Density Functional Theory. Sensors, 16(11), 1830. https://doi.org/10.3390/s16111830
