Electrical Conductivity Response of Poly(Phenylene-vinylene)/ Zeolite Composites Exposed to Ammonium Nitrate
Abstract
:1. Introduction
2. Experimental
2.1. Materials
2.2. Poly(p-phenylenevinylene) Synthesis and Doping Process
2.3. Composite Preparation
2.4. Characterization
2.5. Electrical Conductivity and Gas Measurements
3. Results and Discussion
3.1. Electrical Conductivity Sensitivity of PPV, dPPV and Zeolite Y Exposed to NH4NO3
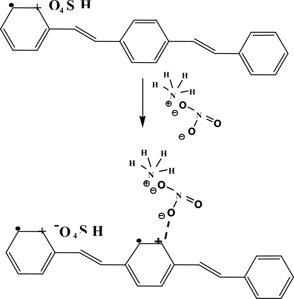
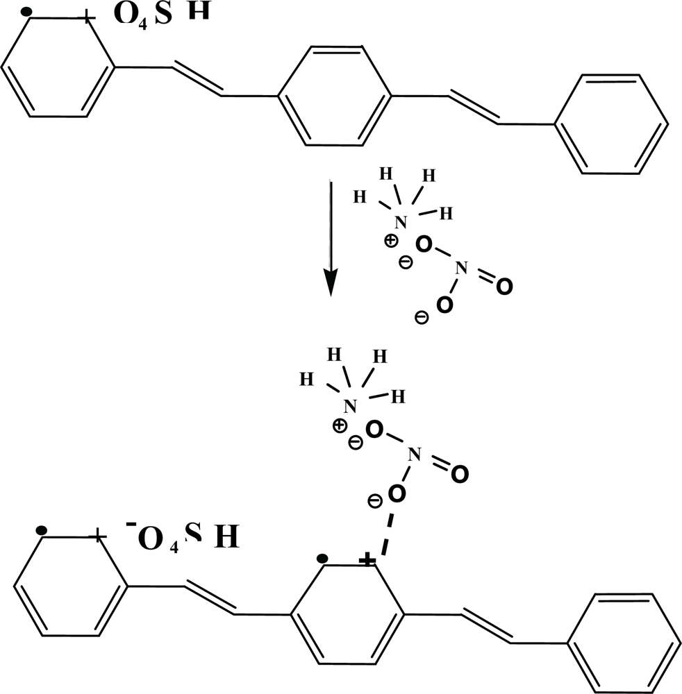
3.2. FTIR Investigations of Reactions of Adsorbed NH4NO3
4. Conclusions
Acknowledgments
References
- Collins, G.E.; Buckley, L.J. Conductive polymer coated fabrics for chemical sensing. Synth. Met 1996, 78, 93–101. [Google Scholar]
- Heeger, A.J.; Maria, A.D. Semiconducting polymers as a material for photonic device. Solid State Sci 1998, 3, 16–22. [Google Scholar]
- Heeger, A.J. Semiconducting and metallic polymers: the fourth generation of polymeric materials. Synth. Meth 2002, 125, 23–42. [Google Scholar]
- Persaud, K.C. Polymer in chemical sensing. Mat. Today 2005, 8, 38–44. [Google Scholar]
- Babudri, F.; Farinola, G.M.; Giancane, S.; Naso, F.; Rella, R.; Scarpa, A.; Valli, L. Deposition and application in gas sensors of thin films of a bridged chain dialkoxy PPV derivative. Mater. Sci. Eng. C 2002, 22, 445–448. [Google Scholar]
- Bouchet, R.; Rosiri, S.; Vitter, G.; Siebert, E. Solid state hydrogen sensor based on acid doped polybenzimidazole. Sens. Actuat. B 2001, 76, 610–616. [Google Scholar]
- Graham, S.C.; Fung, S.; Moratti, S.C.; Friend, R.H. High sensitivity radiation sensing by photo induced doping in PPV derivatives. Synth. Met 1999, 102, 1169–1170. [Google Scholar]
- Hagen, G.; Dubbe, A.; Retting, F.; Jerger, A.; Birkhofer, T.; Muller, R.; Rlog, C.; Moos, R. Selective impedance based gas sensors for hydrocarbons using ZSM-5 zeolite films with chromium (3) oxide interface. Sens. Actuat. B 2006, 119, 441–448. [Google Scholar]
- Vilaseca, M.; Coronas, J.; Cirera, A.; Cornet, A.; Morante, R.J.; Santamaria, J. Gas detection with SnO2 sensors modified by zeolite films. Sens. Actuat. B 2007, 124, 99–110. [Google Scholar]
- Cirpan, A.; Kucukyavuz, Z.; Kucukyavuz, S. Synthesis, characterization and electrical conductivity of poly (paraphenylene vinylene). Turk. J. Polym 2003, 27, 135–143. [Google Scholar]
- Peres, L.O.; Mauro, R.; Fernandes, B.; Jarem, R.; Garcia, B.; Wang, S.H.; Francisco, C.; Nart, B. Synthesis and characterization of chloro and bromo substituted p-phenylene vinylene homopolymers and alternating copolymers. Synth. Met 2006, 156, 529–536. [Google Scholar]
- Wessling, R.A.; Zimmerman, R.G. Polyelectrolytes from bis-sulfonium salts. U.S. Patent 3,401,152 1966. [Google Scholar]
- Ahlskog, M.; Reghu, M.; Noguch, T.; Ohnishi, B. Doping and conductivity studies on poly (p-phenylene vinylene). Synth. Met 1997, 89, 11–15. [Google Scholar]
- Zecchina, A.; Marchese, L.; Bordiga, S.; Paze, C.; Gianotti, E. Vibrational spectroscopy of NH4+ ions in zeolitic materials: An IR study. J. Phys. Chem. B 1997, 101, 10128–10135. [Google Scholar]
- Break, D.W. Zeolite Molecular Sieves; Robert E. Krieger Publishing: Malabar, Florida, USA, 1973. [Google Scholar]
- Densakulprasert, N.; Ladawan, W.; Datchanee, C.; Hiamtup, P.; Sirivat, A.; Schwank, J. Electrical conductivity of polyaniline/zeolite composites and synergetic interaction with CO. Mater. Sci. Eng. B 2005, 117, 276–282. [Google Scholar]
- Geobaldo, F.; Lamberti, C.; Ricchiardi, G.; Bordiga, S.; Zecchina, A.; Palomino, T.; Arean, C.O. Reply to comments on “N2 adsorption at 77 K on H-mordenite and alkali-metal-exchanged mordenites: An IR study”. J. Phys. Chem 1996, 99, 11167–11177. [Google Scholar]
- Matsumoto, A.; Kitajima, T.; Tsutsumi, K. Adsorption characteristics and polymerization of pyrrole on Y-zeolites. Langmuir 1999, 15, 7626–7631. [Google Scholar]
- Venkatathri, N. Synthesis and characterization of high silica content silicoaluminophosphate SAPO-35 from non-aqueous medium. Catal. Commun 2006, 7, 773–777. [Google Scholar]
- Yang, J.C.; Dutta, P.K. Promoting selectivity and sensitivity for a high temperature YSZ-based electrochemical total NOx sensor by using a Pt loaded zeolite Y filter. Sens. Actuat. B 2007, 125, 30–39. [Google Scholar]
- Angell, C.L. Carbon dioxide adsorbed on Linde X and Y zeolites. J. Phys. Chem 1996, 70, 2420. [Google Scholar]
- Carmen, C.; Thomas, S.; Elke, L.; Alexander, B.; Wolfgang, B. Preparation and structure of In-ZSM 5 catalysts for the selective reduction of NO by hydrocarbon. J. Phy. Chem. B 2002, 106, 4085–4097. [Google Scholar]
- Thuwachawsoan, K.; Chotpattananont, D.; Sirivat, A.; Rujiravanit, R.; Schwank, J. Electrical conductivity responses and interactions of poly(3-thiopheneaceticacit)/zeolites L, mordernite, beta and H2. Mater. Sci. Eng. B 2007, 140, 23–30. [Google Scholar]
- Soontornworajit, B.; Wannatong, L.; Hiamtup, P.; Niamlang, S.; Chotpattananont, D.; Sirivat, A.; Schwank, J. Induced interaction between polypyrrole and SO2 via molecular sieve 13X. Mater. Sci. Eng. B 2007, 136, 78–86. [Google Scholar]
- Gagnon, D.R.; Capistran, J.D.; Karasz, F.E.; Lenz, R.W.; Antoun, S. Synthesis, doping, and electrical conductivity of high molecular weight poly(p-phenylene vinylene). Polymer 1987, 28, 567–573. [Google Scholar]










| Zeolite | BET surface area (m2/g) | Median Pore width (°A) | Apparent Density (g/cm3) | Sensitivity (Δσ/σN2) |
|---|---|---|---|---|
| Zeolite Y (Si/Al = 5.1, H+) | 864 ± 5.65 | 10.75 ± 0.0025 | 2.0046 ± 0.34 | 1.21 × 10−1 ± 7.88 × 10−3 |
| Zeolite Y (Si/Al = 30, H+) | 780 ± 0.35 | 9.56 ± 0.0982 | 1.8331 ± 0.27 | 1.98 × 10−1 ± 1.81 × 10−2 |
| Zeolite Y (Si/Al = 60, H+) | 740 ± 28.99 | 10.74 ± 0.0254 | 2.0102 ± 0.07 | 3.83 × 10−1 ± 2.55 × 10−3 |
| Zeolite Y (Si/Al = 80, H+) | 728 ± 4.35 | 10.10 ± 0.0212 | 2.0048 ± 0.36 | 4.64 × 10−1 ± 2.15 × 10−2 |
| Sample | Δσ (σNH4NO3−σN2) (S/cm) | Sensitivity (Δσ/σN2) | Induction time (minutes) | Recovery time, tr (minutes) |
|---|---|---|---|---|
| dPPV/90% Zeolite Y (Si/Al = 5.1, H+) | 2.60 × 10−3 ± 3.57 × 10−3 | 5.86 × 10−1 ± 5.37 × 10−1 | 41 ± 11 | 23 ± 8 |
| dPPV/90% Zeolite Y (Si/Al = 30, H+) | 1.73 × 10−4 ± 1.64 × 10−4 | 1.48 × 100 ± 1.64 × 10−1 | 34 ± 11 | 47 ± 14 |
| dPPV/90% Zeolite Y (Si/Al = 60, H+) | 1.61 × 10−3 ± 2.20 × 10−3 | 2.52 × 100 ± 4.06 × 10−1 | 91 ± 23 | 38 ± 6 |
| dPPV/90% Zeolite Y (Si/Al = 80, H+) | 9.73 × 10−5 ± 2.02 × 10−5 | 3.79 × 100 ± 8.60 × 10−1 | 118 ± 38 | 20 ± 10 |
© 2010 by the authors; licensee MDPI, Basel, Switzerland. This article is an open access article distributed under the terms and conditions of the Creative Commons Attribution license (http://creativecommons.org/licenses/by/3.0/).
Share and Cite
Kamonsawas, J.; Sirivat, A.; Niamlang, S.; Hormnirun, P.; Prissanaroon-Ouajai, W. Electrical Conductivity Response of Poly(Phenylene-vinylene)/ Zeolite Composites Exposed to Ammonium Nitrate. Sensors 2010, 10, 5590-5603. https://doi.org/10.3390/s100605590
Kamonsawas J, Sirivat A, Niamlang S, Hormnirun P, Prissanaroon-Ouajai W. Electrical Conductivity Response of Poly(Phenylene-vinylene)/ Zeolite Composites Exposed to Ammonium Nitrate. Sensors. 2010; 10(6):5590-5603. https://doi.org/10.3390/s100605590
Chicago/Turabian StyleKamonsawas, Jirarat, Anuvat Sirivat, Sumonman Niamlang, Pimpa Hormnirun, and Walaiporn Prissanaroon-Ouajai. 2010. "Electrical Conductivity Response of Poly(Phenylene-vinylene)/ Zeolite Composites Exposed to Ammonium Nitrate" Sensors 10, no. 6: 5590-5603. https://doi.org/10.3390/s100605590
APA StyleKamonsawas, J., Sirivat, A., Niamlang, S., Hormnirun, P., & Prissanaroon-Ouajai, W. (2010). Electrical Conductivity Response of Poly(Phenylene-vinylene)/ Zeolite Composites Exposed to Ammonium Nitrate. Sensors, 10(6), 5590-5603. https://doi.org/10.3390/s100605590
