Evaluation of Tunable Data Compression in Energy-Aware Wireless Sensor Networks
Abstract
:1. Introduction
2. Related Work
2.1. Limitation in Evaluation Index
2.2. Existence of Evaluation Bias
2.3. Researches on Compression Evaluation
3. Evaluation Principle and New Criterion
3.1. Background and Basic Concepts
3.2. Compression Overview
3.3. Evaluation Principle
4. Experimental Setup
4.1. Raw Data
4.2. Test Platform
4.3. Methodology and Relevant Assumption
5. Evaluation Results
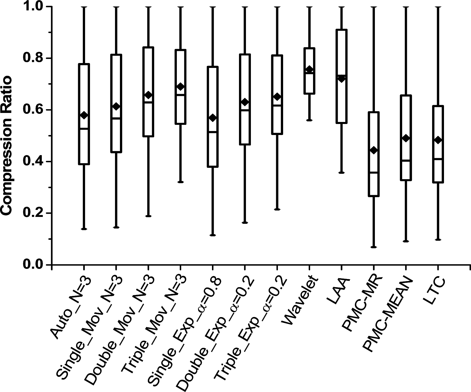
5.1. Compression Ratio
5.2. Compression Complexity
5.3. ESB of Compression
6. Adaptive Compression Arbitration System
6.1. System Description
- Prediction modelingBefore the arbitration, two models are established on-line to predict the compression ratio and the compression time. Information about the compression ratio and execution time for various datasets and application requirements is recorded for each prediction model. Since it is an on-line modeling, only a few samples are used allowing for saving energy.
- Compression evaluationAfter the modeling, the compression arbitration calculates a probable compression ratio for the given accuracy requirement and the corresponding time overhead based on the models. Then, the balance point between loss and benefit is estimated in the form of a compression ratio. Comparing the two kinds of compression ratio, the system draws a conclusion about whether compression will produce energy savings or not in the “comparison and judgment” sub-module. The feedback result is subsequentially applied to control the behavior of data processing (compression before transmission or direct transmission).
- Adaptive modificationIn this step, several samples are randomly selected for the verification of judgment accuracy. Once the target sample is given, its actual compression ratio and time overhead are measured for evaluating whether data compression is beneficial for energy savings. If the evaluation result is different from that of arbitration system, parameter modification is realized via remodeling with the new data accumulated.
6.2. Experimental Results
7. Conclusions and Design Considerations
Acknowledgments
References
- Akyildiz, I.F.; Su, W.; Sankarasubramaniam, Y.; Cayirci, E. A survey on sensor networks. IEEE Commun. Mag 2002, 40, 102–114. [Google Scholar]
- Raghunathan, V.; Schurgers, C.; Park, S.; Srivastava, M.B. Energy-aware wireless microsensor networks. IEEE Sig. Process. Mag 2002, 19, 40–50. [Google Scholar]
- Yick, J.; Mukherjee, B.; Ghosal, D. Wireless sensor network survey. Comput. Netw 2008, 52, 2292–2330. [Google Scholar]
- Mainwaring, A.; Polastre, J.; Szewczyk, R.; Culler, D.; Anderson, J. Wireless sensor networks for habitat monitoring. P WSNA’02, Atlanta, GA, USA, September, 2002; pp. 88–97.
- Pradhan, S.S.; Kusuma, J.; Ramchandran, K. Distributed compression in a dense microsensor network. IEEE Signal Process. Mag 2002, 19, 51–60. [Google Scholar]
- Pradhan, S.S.; Ramchandran, K. Distributed source coding using syndromes (DISCUS): design and construction. IEEE Trans. Inf. Theory 2003, 49, 626–643. [Google Scholar]
- Arici, T.; Gedik, B.; Altunbasak, Y.; Liu, L. PINCO: a pipelined in-network compression scheme for data collection in wireless sensor networks. Proceedings of ICCCN’03, Dallas, TX, USA, October 2003; pp. 539–544.
- Lazaridis, I.; Mehrotra, S. Capturing sensor-generated time series with quality guarantees. ICDE’03, Bangalore, India, March, 2003; pp. 429–440.
- Schoellhammer, T.; Greenstein, B.; Osterweil, E.; Wimbrow, M.; Estrin, D. Lightweight temporal compression of microclimate datasets. Proceedings of 29th Annual IEEE International Conference on Local Computer Networks, Tampa, FL, USA, November 2004; pp. 516–524.
- Ciancio, A.; Ortega, A. A distributed wavelet compression algorithm for wireless sensor networks using lifting. Proceedings of ICASSP’04, Quebec, Canada, May 2004; pp. 633–636.
- Ciancio, A.; Ortega, A. A distributed wavelet compression algorithm for wireless multihop sensor networks using lifting. ICASSP’05, Philadelphia, PA, USA, March, 2005; pp. 825–828.
- Ciancio, A.; Ortega, A. A dynamic programming approach to distortion-energy optimization for distributed wavelet compression with applications to data gathering in wireless sensor networks. ICASSP’06, Toulouse, France, May, 2006; pp. 14–19.
- Ciancio, A.; Pattern, S.; Ortega, A.; Krishnamachari, B. Energy-efficient data representation and routing for wireless sensor networks based on a distributed wavelet compression algorithm. Proceedings of IPSN’06, Nashville, TN, USA, April 2006; pp. 309–316.
- Chen, H.; Li, J.; Mohapatra, P. RACE: time series compression with rate adaptivity and error bound for sensor networks. Proceedings of MASS’04, Fort Lauderdale, FL, USA, October 2004; pp. 124–133.
- Luo, H.; Tong, Y.; Pottie, G. A two-stage DPCM scheme for wireless sensor networks. Proceedings of ICASSP’05, Philadelphia, PA, USA, March 2005; pp. 661–664.
- Christopher, M.S.; Margaret, M. Data compression algorithms for energy-constrained devices in delay tolerant networks. Proceedings of ACM SenSys’06, Boulder, CO, USA, October 2006; pp. 265–278.
- Ying, L.; Loke, S.W.; Ramakrishna, M.V. Energy-saving data approximation for data and queries in sensor networks. Proceedings of ITST’06, Chengdu, China, June 2006; pp. 782–785.
- Hui, C.; Cui, L. Forecast-based temporal data aggregation in wireless sensor networks. Comput. Eng. Appl 2007, 43, 121–125. [Google Scholar]
- Cheng, L.; Hailes, S.; Cheng, Z.; Fan, F.; Hang, D.; Yang, Y. Compression inertial motion data in wireless sensing systems—an initial experiment. Proceedings of MDBS’08, Hong Kong, China, June 2008; pp. 293–296.
- Tsiftes, N.; Dunkels, A.; Voigt, T. Efficient sensor network reprogramming through compression of executable modules. Proceedings of SECON’08, San Francisco, CA, USA, June 2008; pp. 359–367.
- Pham, N.D.; Le, T.D.; Choo, H. Enhance exploring temporal correlation for data collection in WSNs. Proceedings of RIVF’08, Ho Chi Minh City, Vietnam, July 2008; pp. 204–208.
- Politopoulos, P.I.; Markatos, E.P.; Loannidis, S. Evaluation of compression of remote network monitoring data streams. Proceedings of NOMS’08, Salvador, Brazil, April 2008; pp. 109–115.
- Siva, I.M.D.; Guedes, L.A.; Vasques, F. Performance evaluation of a compression algorithm for wireless sensor networks in monitoring applications. Proceedings of ETFA’08, September 2008; Hamburg, Germany; pp. 672–678.
- Tajbakhsh, S.E.; Movaghar, A. Joint distributed source and network coding for multiple wireless unicast sessions. WCNC’09, Budapest, Hungary, April, 2009; pp. 1–5.
- Wang, Y.; Hsieh, Y.; Tseng, Y. Multiresolution spatial and temporal coding in a wireless sensor network for long-term monitoring applications. IEEE Trans. Comput 2009, 58, 827–838. [Google Scholar]
- Barr, K.C.; Asanovic, K. Energy-aware lossless data compression. ACM Trans. Comput. Syst 2006, 24, 250–291. [Google Scholar]
- Naoto, K.; Shahram, L. A survey on data compression in wireless sensor networks. Proceedings of ITCC’05, Las Vegas, NV, USA, April 2005; pp. 8–13.
- Ying, B.; Liu, W.; Liu, Y.; Yang, H.; Wang, H. Energy-efficient node-level compression arbitration for wireless sensor networks. Proceedings of ICACT’09, Phoenix Park, Korea, February 2009; pp. 564–568.
- Tropical Atmosphere Ocean Project. Available online: http://www.pmel.noaa.gov/tao/index/shtml (accessed February, 2009).
- The Pacific Northwest Seismograph Network. Available online: http://www.pnsn.org/shake/index.html (accessed February, 2009).
- NWIS web water data. Available online: http://waterdata.usgs.gov/nwis/ (accessed March, 2009).
- The Georgia Automated Environmental Monitoring Network. Available online: http://www.georgiaweather.net/ (accessed July, 2009).
- Kramer, M.; Geraldy, A. Energy Measurements for Micaz Node; Technical Report, Technical University Kaisers Lautem, GI/ITG KuVS, 2006; pp. 1–7. [Google Scholar]
- CC2420 Data Sheet. Available online: http://inst.eecs.berkeley.edu/~cs150/Documents/CC2420.pdf (accessed February, 2007).
- AVR Studio. Available online: http://www.atmel.com/dyn/Products/tools_card.asp?tool_id=2725 (accessed November, 2008).














| Algorithm | Characteristic | Evaluation Index | Experimental Data | Platform |
|---|---|---|---|---|
| DISCUS [5,6] | lossless spatial domain | distortion probability of decoding error | data created by a Gaussian model | N/A |
| PINCO [7] | lossless time domain | latency transmission cost | temperature map created | NS-2 |
| PMC-MR PMC-MEAN [8] | lossy time domain | compression ratio | random walk data generated by a model | N/A |
| sea surface temperature, salinity, shortwave radiation from TAO | ||||
| LTC [9] | lossy time domain | bytes savings memory usage | environmental data from Continuous Monitoring System | Mote node |
| Distributed Wavelet [10–13] | lossy spatial domain | SNR, bit rate, energy cost (ignore computational part) | data created by a second order AR model [10–13] | StrongARM |
| temperature data on the Great Duck Island [13] | SA-1100 | |||
| RACE [14] | lossy time domain | compression ratio compression error | environmental data from TAO | N/A |
| DPCM [15] | lossless time & spatial domain | coding gains | autoregressive source, acoustic source, weather data from NCDC | N/A |
| S-LZW [16] | lossless time domain | compression ratio execution time energy consumption | real data from SensorScope, Great Duck Island, ZebraNet, Calgary Corpus Geo | Tmote Sky ZebraNet node |
| LAA [17] | lossy time domain | compression ratio mean square error | real temperature data from Australian Bureau of Meteorology | N/A |
| Forecast-based Compression [18] | lossy time domain | successful rate of prediction energy cost | real temperature data | PowerTO SSIM |
| bzip2, zlib, LZW, Wavelet, ADPCM [19] | lossless time domain | compression ratio block size | acceleration data from MTx sensor | laptop |
| Gzip [20] | lossless time domain | compression ratio, energy cost execution time | six software modules | Tmote Sky |
| Top-down piecewise linear approximation [21] | lossy time domain | compression ratio time complexity | time series data collected from one sensor node | C++ |
| LZO, bzip2, Gzip, rar, rzip [22] | lossless time domain | buffer size compression ratio time delay | trace-file from University of Crete | Intel Core2 Duo |
| Swinging Door [23] | lossy time domain | compression ratio mean square error energy cost (communication part) | real data from gas injection monitoring | NS-2 CC2520 |
| COPE & DISCUS [24] | lossless spatial domain | compression ratio | N/A | N/A |
| 2D-DCT [25] | lossless time & spatial domain | amount of data transmission average error | indoor temperatures collected by sensor nodes | MicaZ Mote |
| Type | Predictive Model | Predictive Algorithm |
|---|---|---|
| Autoregression | AR Model | Autoregressive Forecasting |
| Moving Average | MA Model | Single Moving Average Forecasting |
| Double Moving Average Forecasting | ||
| Triple Moving Average Forecasting | ||
| Exponential Smoothing | ARMA Model | Single Exponential Smoothing Forecasting |
| Double Exponential Smoothing Forecasting | ||
| Triple Exponential Smoothing Forecasting |
| Symbol | Signification |
|---|---|
| Euncomp | Total energy costs without compression |
| Ecomp | Total energy costs with compression |
| eP | Error tolerance |
| d | Communication distance |
| L | Volume of raw data |
| h | Hop count |
| Rc | Compression ratio |
| Ttran | Time overhead on transmitting one byte |
| TMCU | Time overhead on compressing one byte |
| PTX | Transmit power |
| PRX | Receive power |
| PMCU | Computation power |
| Type | Notation | Application Background | Unit |
|---|---|---|---|
| Air Temperature | AT | C | |
| Sea Level Pressure | SLP | Tropical Atmosphere Ocean Project [29] | hPa |
| Relative Humidity | RH | % | |
| Spectral Acceleration | PSA | The Pacific Northwest Seismograph Network [30] | pctg |
| Gage Height | GH | NWIS web water data [31] | feet |
| Farm Temperature | FT | The Georgia Automated Environmental Monitoring Network [32] | °F |
| Symbol | Value | Remark |
|---|---|---|
| d | 60–100 m | N/A |
| PTX | 57.42 mW | PA_Level=31 |
| PRX | 62.04 mW | N/A |
| Ttran | 32 μs | 250 kbps data rate |
| PMCU | 26.4 mW | 8 mA current draw |
| Group | Algorithms | Parameter |
|---|---|---|
| Group 1 | Autoregressive Forecasting | N |
| Single Moving Average Forecasting | ||
| Double Moving Average Forecasting | ||
| Triple Moving Average Forecasting | ||
| Group 2 | Single Exponential Smoothing Forecasting | α |
| Double Exponential Smoothing Forecasting | ||
| Triple Exponential Smoothing Forecasting | ||
| Group 3 | 5/3 Wavelet | N/A |
| LAA | ||
| PMC-MR | ||
| PMC-MEAN | ||
| LTC |
© 2010 by the authors; licensee Molecular Diversity Preservation International, Basel, Switzerland. This article is an open-access article distributed under the terms and conditions of the Creative Commons Attribution license ( http://creativecommons.org/licenses/by/3.0/).
Share and Cite
Ying, B.; Liu, Y.; Yang, H.; Wang, H. Evaluation of Tunable Data Compression in Energy-Aware Wireless Sensor Networks. Sensors 2010, 10, 3195-3217. https://doi.org/10.3390/s100403195
Ying B, Liu Y, Yang H, Wang H. Evaluation of Tunable Data Compression in Energy-Aware Wireless Sensor Networks. Sensors. 2010; 10(4):3195-3217. https://doi.org/10.3390/s100403195
Chicago/Turabian StyleYing, Beihua, Yongpan Liu, Huazhong Yang, and Hui Wang. 2010. "Evaluation of Tunable Data Compression in Energy-Aware Wireless Sensor Networks" Sensors 10, no. 4: 3195-3217. https://doi.org/10.3390/s100403195
APA StyleYing, B., Liu, Y., Yang, H., & Wang, H. (2010). Evaluation of Tunable Data Compression in Energy-Aware Wireless Sensor Networks. Sensors, 10(4), 3195-3217. https://doi.org/10.3390/s100403195
