You are currently viewing a new version of our website. To view the old version click .
Diversity
  • Article
  • Open Access

26 January 2025

Beyond Soil Health: The Microbial Implications of Conservation Agriculture

,
,
,
,
,
,
and
1
Unidad Regional Universitaria de Zonas Áridas (URUZA), Universidad Autónoma de Chapingo, Bermejillo, Durango 35230, Mexico
2
San Luis Experiment Station, Instituto Nacional de Investigaciones Forestales, Agrícolas y Pecuarias, Soledad de Graciano, San Luis Potosí 78431, Mexico
3
Centro Nacional de Investigación Disciplinaria en Relación Agua-Suelo-Planta-Atmósfera (CENID-RASPA), Instituto Nacional de Investigaciones Forestales, Agrícolas y Pecuarias (INIFAP), Gómez Palacio, Durango 35079, Mexico
4
Faculty of Biological Sciences, Universidad Juárez del Estado de Durango, Gómez Palacio, Durango 35010, Mexico

Abstract

Conservation agriculture (CA) is a sustainable land management approach to improve soil quality while mitigating degradation. Although extensive information regarding the effect of CA on soil properties and microbiome is available, complete studies on the cumulative effect on specific interactions between soil parameters, crop productivity, and microbial communities over time are still lacking, mainly in arid regions. Thus, this study aimed to investigate the effects of no-tillage and residue retention over long- and short-term (24 and 3 years, respectively) periods. Six treatments were established in a maize–oat–triticale system from 1995 in a semiarid region: P + H—plow + harrow; H—harrow; MP—multi-plow (short-term); NT—no-tillage; NT33—NT + 33% residue surface cover (long-term); NT66—NT + 66% residue surface cover. Results indicated that CA improved soil quality by increasing soil organic matter (SOM), total carbon, and glomalin; it also enhanced microbial abundance, particularly fungi, and β-galactosidase activity. Nevertheless, conventional tillage practices led to SOM degradation and reduced crop yields. Principal component analysis revealed distinct groupings of treatments based on soil properties and microbial communities. Furthermore, changes could be detected from the short term. These findings highlight the importance of adopting sustainable agricultural practices to maintain soil health and ensure agricultural productivity in semi-arid regions.

1. Introduction

Conservation agriculture (CA) is a fundamental strategy in sustainable land management based on three interlinked strategies: zero or no mechanical soil disturbance, maintenance of permanent biomass surface cover (crop residues, cover crops, or other sources of biomass), and diversification of crop species (crop rotations) [1]. CA has been proposed to enhance soil health, improve water retention and organic matter content, and mitigate soil erosion while promoting biodiversity. CA is characterized by minimal soil disturbance, crop rotation, and retention of crop residues. The principal aim of CA is to create a more resilient agricultural ecosystem that may have more opportunities for adaptation to changing climatic conditions and increasing food demands [2].
The soil microbiome, which encompasses a diverse array of microorganisms such as bacteria, fungi, archaea, and protozoa, is integral to processes such as nutrient cycling, organic matter decomposition, and disease suppression, which are essential for sustainable agricultural practices and ecosystem resilience [3]. By elucidating the composition and functional capabilities of soil microbial communities, researchers can gain valuable insights into the contributions of these microorganisms to soil fertility, structural integrity, and provision of overall ecosystem services [4]. Furthermore, soil microorganisms are highly involved in biogeochemical nutrient cycling, organic matter decomposition, plant growth, and carbon sequestration; consequently, their distribution is closely linked to ecosystems and global climate change [5,6,7]. On the other hand, the soil environment influences microbial community composition and diversity through several edaphic properties, including pH, organic carbon and nutrient content, temperature, and moisture, among others [8,9]. Hence, microbial community composition and metabolism may reflect the effects of land management. In this sense, tillage techniques, ranging from conventional tillage to reduced- and no-tillage systems, significantly influence the composition and functionality of the soil microbiome, modifying soil aeration, moisture levels, and the availability of organic matter [10] and increasing diversity and abundance under conservation tillage [11]. Conventional tillage (CT) often leads to soil disruption and decreased microbial diversity, which adversely affects soil health and crop productivity [12]. In contrast, conservation tillage tends to promote a more stable and diverse microbial community, which can enhance ecosystem services such as nutrient cycling and organic matter disintegration [13]. Similarly, crop residue incorporation into the soil surface influences soil microbial communities, mainly mediated by the quantity and quality of residues [14], and they are directly involved in carbon sequestration and the nutrient cycle [15].
Despite the established significance of CA and various tillage techniques for soil properties and microbiomes, there remains a lack of comprehensive studies on the cumulative effects of specific interactions between different conservation agriculture management systems, soil parameters, crop productivity, and microbial communities over time [16,17].
One of the main objectives of microbial ecology is to understand how plant-associated microbial communities assemble and their role in crop performance under specific management conditions. Thus, understanding the interaction between CA practices and soil microbial communities in a particular agricultural system might aid in establishing the main mechanisms for promoting plant growth, offering a window of opportunity for optimal sustainable crop development, either by adapting agronomic management and crop conditions to favor the proliferation of these microorganisms or by generating a biofertilizer from native strains adapted to local environmental conditions.
Therefore, this study aimed to determine whether conservation agriculture practices, particularly no-tillage and crop residue management, affect soil properties and microbial diversity and abundance compared to conventional tillage practices in living lab soil conditions in the short and long term (3 and 24 years, respectively).

2. Materials and Methods

2.1. Study Area

The study was conducted at the Experimental Station of Instituto Nacional de Investigaciones Forestales, Agrícolas y Pecuarias (INIFAP) in San Luis Potosi, Mexico (22°13′34.3337″ N 100°50′56.3388″ W) (Figure 1). The region has a semi-desert climate with summer rainfalls. According to Mexico’s National Water Board (CONAGUA), the average temperature is 17.6 °C, with an extreme maximum of 37.9 °C, an extreme minimum of −8.5 °C, and an average daily range of up to 16 °C. Rains occur during the summer months of June–September, bringing the total annual precipitation to 367.4 mm [18]. The soil is Pheozems with a sandy clay loam texture (World Reference Base (WRB)) [19]. The field trial was established in 1995 as an experimental plot to evaluate tillage and soil conservation methods over the long term.
Figure 1. Geographical location at the Experimental Station of INIFAP in northeastern Mexico (ArcMap 10.4.1).
The experimental design consisted of six treatments distributed in a randomized block design with two replications (Table 1), and it was implemented in 1995. Each experimental plot has 10 furrows, each 0.80 m wide and 30.0 m long. The crops used recurrently in the experimental area were maize (Zea mays L.), sowed in the spring–summer season (Ceres XR-45, 69,000 plants ha−1), oats (Avena sativa) (Cuauhtémoc, 60 kg ha−1), and triticale (x Triticosecale) (Arne, 60 kg ha−1) associated with peas (Pisum sativum) (20 kg ha−1) during the fall–winter season. For both cropping seasons, crops were irrigated until soil moisture was depleted by 60% from sowing to flowering, and by 40% from flowering to physiological maturity. In each irrigation event, 10 cm of water layer was used.
Table 1. Different tillage and residue management in maize–oat–triticale systems.
Maize was fertilized with the 200-100-00 (N-P-K) formula, whereas oats and triticale forage were fertilized with the 90-40-00 treatment. All crops were fertilized with 50% nitrogen (N) and 100% phosphorus at sowing, and the remaining 50% of N at the first harvesting. For permanent biomass surface cover, residues from the previous maize crop were applied as soil cover each year.

2.2. Soil Sampling

Soil sampling was conducted in 2020. At the end of the maize growing cycle in the spring–summer season, four random core soil samples (0–10 cm depth) were collected from each treatment and mixed to obtain a composite sample for soil property analysis. Samples were air-dried at ambient temperature and sieved using 2.0 and 0.5 mm mesh.
Moreover, three soil samples of 0–10 cm depth were randomly taken from each treatment for bacterial community analysis, depositing each sample in 2 mL microtubes for BashingBead™ lysis with 750 µL buffer Xpedition™ Zymo Research™ Lyse/Stabilizer and immediately shaken in a cell disruptor (TerraLyzer™). Samples were frozen until the DNA was extracted.
At the end of the crop cycle, two random samples of maize plants were sampled from a line of 6 m length per treatment in the two central furrows of each experimental unit to determine the grain yield at 14% moisture (YLD).

2.3. Analysis of Chemical and Biological Variables

Electrical conductivity (EC) and pH were measured in a soil:water suspension of 1:2.5 and 1:2 (w/v) ratio, respectively, in a HI 2550 multi-parameter (HANNA Instruments, EUA). In addition, soil organic matter (SOM) was determined by wet digestion following Walkley and Black [20], while the total carbon (TC) was obtained by dry combustion using an elemental analyzer (TOC-L, Shimadzu, Kyoto, Japan).
Glomalin-related soil proteins (GRSPs), indicators of mycorrhizal growth in the soil [21], were evaluated by the quantification of total (T-GRSP) and easily extractable (EE-GRSP) glomalin-related soil proteins (GRSPs) using Wright and Upadhyaya [22], modified by Luna et al. [23]. For T-GRSP extraction, 1 g of soil (2 mm) was mixed with 8 mL of 50 mM sodium citrate dihydrate solution (pH 8.0), followed by autoclaving for 60 min at 121 °C. Next, extracts were centrifugated at 5000 g for 15 min, and supernatant was stored at 4 °C. This process was repeated until the supernatant was pale yellow. Extraction of EE-GRSP was performed by mixing 1 g of soil (2 mm) with 8 mL of 20 mM citrate solution (pH 7.0) and autoclaving for 30 min at 121 °C just once, followed by centrifugation at 5000× g for 15 min and collecting the supernatant. Finally, protein content was obtained by Bradford assay with bovine albumin as the standard [24]. Difficulty extractable GRSP (DE-GRSP) was determined as the difference between T-GRSP and EE-GRSP.
Total aerobic bacterial counts (BAC) were performed in trypticase soy agar [25] incubated at 37 °C for 48 h. Total actinomycetes (ACT) were also determined on starch casein agar [25] at 37 °C for 5 days. Furthermore, total filamentous fungi and yeast counts (FUN) were performed on potato dextrose agar (PDA), incubated for 7 days at 28 °C [26].
CO2 emissions from the soil at field capacity without glucose addition (at 28 °C) were measured as basal respiration rate (BRR) [27], where CO2 produced during incubation (24 h) was absorbed by alkali (Ba(OH)2•8H2O + BaCl2), and the residual OH- was titrated with HCl with phenolphthalein as indicator. Results were expressed as mg of CO2-C/grams of soil per day. Soil polyphenol oxidase (PPO) and peroxidase (POX) activities were measured in suspensions of 1.0 g of soil with 125 mL of 10 mM bicarbonate buffer (pH 8.0), homogenizing for 1 min [28]. The assay was performed with L-3, 4-dihydroxiphenilalanine (L-DOPA, 5 mM) as substrate. For the enzymatic assay, 800 µL of soil suspension was mixed with 200 µL of substrate. For the peroxidase activity assay, the reaction mix also include 40 µL of H2O2 (0.3%). Tubes of both enzymatic assays were incubated in a water bath at 37 °C for 3 h, and samples were then read at 460 nm and presented as µmol h−1 g−1.
On the other hand, for β-galactosidase (β-gal) activity quantification, 0.2 g of air-dried soil was incubated with p-nitrophenyl β-D-galactoside (pH 6.0) in MUB buffer for 1 h. The reaction was then finished by adding CaCl2 and Tris-NaOH. Samples were then centrifugated at 1500× g for 3 min, and p-nitrophenyl released by enzymes was detected at 410 nm [29]. Β-gal activity was expressed as the quantity of p-nitrophenol β-D-galactopyranoside g−1 h−1.

2.4. Study of Bacterial Communities in the Soil

DNA extraction was performed using DNA Zymobiomics MiniPrep Kit (Zymo Research™, Irvine, CA, USA). Amplification was carried out using the V3 and V4 regions of the 16S rRNA gene using the primers suggested by Klindworth et al. [30], which produced amplicons of ~460 bp: S-D-Bact-0341-b-S-17, 5′-CCTACGGGNGGCWGCAG-3′ and S-D-Bact-0785-a-A-21, 5′ GACTACHVGGGTATCTAATCC-3′. Sample processing and bioinformatics analysis were carried out according to Illumina protocols [31,32]. The PCR reaction contained 12.5 μL of MyTaqTM Ready Mix 1X (Bioline®, Memphis, TN, USA), 1 μL of each primer (10 uM), 5 μL of DNA (50 ng total), and 5.5 μL of molecular grade H2O [32], while the PCR protocol included a cycle of 3 min at 95 °C; 25 cycles of 30 s at 95 °C, 30 s at 55 °C, and 30 s at 72 °C; and finally, one cycle of 5 min at 72 °C in a Labnet MultigeneTM Gradient PCR thermal cycler. The amplicons were then purified with 0.8% Agencourt® AMPure® XP beads and labeled using the Nextera XT Index KitTM for library preparation [31], with 25 μL of MyTaqTM Ready Mix 1X (Bioline®), 5 μL of each primer (N7xx and S5xx), 5 μL of DNA, and 10 μL of molecular grade H2O, applying the following program: a cycle of 3 min at 95 °C; 10 cycles of 30 s at 95 °C, 30 s at 55 °C, and 30 s at 72 °C; and lastly, a cycle of 5 min at 72 °C. Next, library purification was performed using 1.2% Agencourt® AMPure® XP beads. Subsequently, 1 µL from the final library of arbitrarily designated PCR products was placed on a Bioanalyzer DNA 1000 chip with a size of ~630 bp. To conclude, quantification, normalization (equimolarity), library clustering, and next-generation mass sequencing (MiSeq Illumina® 2 × 250 paired-end reads, San Diego, CA, USA) were achieved according to the 16S metagenomic protocol [32].
DNA sequences were analyzed using the bioinformatics software Quantitative Insights Into Microbial Ecology (QIIME) v.1.9.0 [33]. PEAR software was used to assemble forward and reverse sequences with an overlap of 50 pb, accepting a quality of Q30 (one wrong base per 1000 bases), and a value of p < 0.0001 [33,34]. Following this, the FASTA format was applied to all files, and chimeric sequences were removed from samples using USEARCH to subsequently select operational taxonomic units (OTUs) with the UCLUST method at 97% of similarity [35]. Each OTU generated a representative sequence to assign taxonomy with the EzBioCloud database [36].
Next, an OTU table was constructed in a biom format [37] to separate domains and filter singletons. The absolute abundance of operational taxonomic units (OTUs) at the genus level was used to visualize the number of sequences versus the number of OTUs and to observe depth coverage (asymptote curves) using PAST version 3.15. Furthermore, the relative abundances at the phylum level were obtained and plotted as bar graphs using Excel. Taxa at the genus level with a relative abundance greater than 0.5% were included in a heatmap using the hierarchical cluster method with Euclidean measurement for the dendrogram of the samples with Morpheus software (https://software.broadinstitute.org/GENE-E/ (accessed on 13 May 2024)).

2.5. Statistical Analysis

Data were analyzed using IBM SPSS Statistics 25 program (SPSS Inc., Chicago, IL, USA) and MedCalc (v. 22.021). After verifying the normality and homogeneity of variance, parametric and non-parametric mean tests were used, such as ANOVA and Kruskal–Wallis. Additionally, Tukey and Convac tests (p < 0.05) were used to determine significant differences between treatments.
Principal component analysis (PCA) was used to observe associations between the 10 main phyla and soil variables of the six types of agronomic tillage in R studio (v. 2024.04.2) and thus determine the variables with the most significant relationships to phyla. Patterns between tillage systems and soil biophysical properties were explored using multivariate redundancy analysis (RDA) with the RDA function in the “vegan” library in R studio. The significance of RDA results was tested using a permutation test (999 permutations).

3. Results and Discussion

3.1. Effect of Tillage and Residue Management Practices on Soil Chemical and Biological Properties and Crop Yield

Some soil variables showed significant differences between treatments (Table 2 and Table 3).
Table 2. Chemical characteristics of the soil under different tillage and residue management practices.
Table 3. Biological characteristics of the soil under different tillage and residue management practices.
SOM, TC, fungi, bacteria, β-gal activity, and dry weight yield (Figure 2) levels were significantly higher in soils under conservation agriculture (MP, NT, NT33, and NT66), and their content was related to the quantity of crop residue soil covering and the time of implementation of CA practices. In contrast, the pH and EC variables were higher in CT soils, mainly the P + H. On the other hand, PPO decreased and POX increased in comparison with the rest of the treatments.
Figure 2. Maize mean grain yield (YLD) under different tillage and residue management practices: P + H—plow + harrow; H—harrow; MP—multi-plow; NT—no-tillage; NT33—no tillage + 33% residue surface cover; NT66—no tillage + 66% residue surface cover. Different letters indicate significant differences between the group means of measured parameters determined by Tukey test (p < 0.05).
Principal component analysis showed differences between treatments with long-term no-tillage (NT, NT33, and NT66), those with conventional tillage (P + H and H), and short-term no-tillage (MP) (Figure 3). According to the analysis, 69.48% of the variance was explained by the two components. Furthermore, samples from different groups showed a decentralized and aggregated distribution. The variables selected as the main environmental and biological variables related to the treatments were pH, EC, T-GRSP, DE-GRSP, EE-GRSP, YLD, and FUN.
Figure 3. Principal component analysis (PCA) of soil properties under six types of tillage: P + H—plow + harrow; H—harrow; MP—multi-plow; NT—no-tillage; NT33—no tillage + 33% residue surface cover; NT66—no tillage + 66% residue surface cover; SOM—soil organic matter; SOC—soil organic carbon; TC—total carbon; CFU—colony-forming units; BAC—total aerobic bacteria; FUN—fungi; BRR—basal respiration rate; POX—peroxidase; PPO—polyphenol oxidase; β-gal—B-galactosidase; YLD—yield; EC—electrical conductivity; pH –potential of hydrogen; T-GRSP—total glomalin-related soil proteins (GRSP); EE-GRSP—easily extractable GRSP; DE-GRSP—difficulty extractable GRSP.
The lower pH in treatments under conservation agriculture may be related to the accumulation of SOM in the upper centimeters of the soil and SOM mineralization (reflected as an increase in β-gal activity) (Table 2 and Table 3), causing an increase in the concentration of electrolytes, such as Stagnari et al. [26] found. Chatterjee and Lal [38] pointed out that EC was lower in soils under no-tillage due to the improvement in water movement in the soil and the development of soil aggregates, which could also be related to the increase in GRSP [39], which is consistent with the results of this study (Table 2).
GRSP is a soil glycoprotein released by arbuscular mycorrhizal fungi (AMF) during their hyphae turnover [22], and it is highly associated with the stability of soil aggregates due to its cementing properties [40]. The GRSP content was higher in conservation agricultural treatments. It has been reported that tillage practices decrease glomalin production and increase its decomposition due to the decrease in vegetation and fungal diversity, as well as disruption of the hyphal network [41,42]. Moreover, the decomposition of glomalin can also be altered by soil characteristics such as its removal and the availability of nutrients, which influence microbial activity [43]; thus, the lower SOM content and β-gal activity in the P + H and H treatments could be related to the smaller quantity of GRSP in conventional tillage management. Galazka et al. [44] obtained a higher GRSP content in treatments under conservation tillage than those under conventional tillage, demonstrating that GRSP groups are sensitive to management practices. Such differences in the contribution of glomalin seem to be related to different soil origins and differences in stabilization according to the nature and quantity of the SOM [45]. Results of this research showed an increase in GRSP with the amount of soil covering with crop residues, as well as the time of implementation of CA practices (Table 2). The decomposition of SOM is a manifestation of biological activity, which translates into an improvement in fertility and therefore soil quality and crop yield. However, a deeper study of water-stable aggregates by wet sieve and quantification of arbuscular mycorrhizal fungi is needed to more precisely define the mechanisms for increases in GRSP concentration.
Fungal plate counts demonstrated an increase in fungal communities when conservation agriculture was implemented in the short and long term (Table 3). Many studies have shown an increase in the fungal population when zero tillage is used [3,46], mainly AMF; however, others have reported that tillage has no effect on fungal communities, except AMF, which are more abundant in conservation agriculture, and phytopathogenic fungi in plowed soils [47].

3.2. Bacterial Communities Under Different Tillage and Residue Management Practices

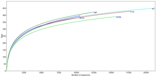
The mean of the total obtained sequences in all treatments was 105,398, where 47,415 were merged, and 65,165 were discarded (Table 4). Results showed that the number of bacterial OTUs in the samples registered an adequate coverage depth because an asymptote close to 10,000 sequences was reached in all curves (Figure 4). This finding suggests that sampling covered a broad representation of the bacterial diversity, allowing for reliable conclusions about the impact of tillage practices on microbial communities. The obtained sequences were uploaded to the National Center for Biotechnology Information (NCBI) for public knowledge (BioProject: PRJNA824822).
Table 4. Mean number of sequences per tillage treatment.
Figure 4. Graphic representation of bacterial OTUs, asymptote around 10,000. P + H—plow + harrow; H—harrow; MP—multi-plow; NT—no-tillage; NT33—no tillage + 33% residue surface cover; NT66—no tillage + 66% residue surface cover.
In this study, the mean Shannon and Simpson indices for alpha diversity analysis were recorded at 9.63 and 0.99, respectively, with no significant differences detected across the treatments (Shannon: t = 0.02, p = 1; Simpson: t = 0.03, p = 1), indicating that all tillage systems sustained a similar level of diversity in terms of species richness and evenness. These results suggest that the soil bacterial community in the study site was highly resilient [4,48]; although different agricultural management practices were implemented, bacterial populations had a similar alpha diversity due to their high ability to adapt to different environmental conditions. Moreover, the lack of difference in alpha diversity could indicate that other factors could be strongly driving the alpha microbial diversity than crop residue reincorporation and tillage management, such as soil type, mineral composition, or climatic factors. Conversely, the Bray–Curtis beta diversity analysis revealed significant compositional differences among all treatments (PERMANOVA: pseudo-F = 1.42, p = 0.012), suggesting that while overall diversity remained constant, the specific bacterial communities differed across systems, underscoring the distinct ecological effects of each management practice on the microbial composition. Moreover, differences in species composition reflect how different tillage and residue management approaches shape microbial environments, impacting key ecosystem processes. From a productivity perspective, maintaining microbial diversity while influencing species composition can help optimize soil conditions for plant health and yield, thereby enhancing agricultural sustainability [49]. Furthermore, this understanding promotes efficient soil management strategies that balance productivity with environmental stewardship, supporting more sustainable farming practices owing to the intricate interactions and dynamics that govern soil health and ecosystem functionality [3,46,50].
Recognizing multiple phyla within the soil microbiome underscores the ecosystem biodiversity presented. A total of 24 phyla were recorded, 10 of which had a high percentage of abundance (Figure 5a). Actinobacteria, Proteobacteria, and Chloroflexi were the more abundant phyla in soils under all treatments. According to the RDA, there was a significant relationship between the treatments (F = 1.8191, g.f. =7, p = 0.036), which suggests that environmental conditions or treatments influence specific microbial groups (Figure 6). It can be observed that the phyla Proteobacteria and Planctomycetes are more abundant in soils with high GRSP content (T-GRSP, DE-GRSP, EE-GRSP), CFU of fungi, and crop yield, variables related to the time since conservation agriculture implementation and the quantity of reincorporated crop residues, as shown in Table 2 and Table 3, and the PCA (Figure 3). In addition, phyla such as Actinobacteria, Saccharibacteria_TM7, and Cyanobacteria were related to higher pH and EC, which are parameters linked to soils under conventional tillage (P + H, and H) (Figure 6). These findings emphasize the intricate interplay between environmental factors and microbial diversity, highlighting the significance of specific phyla in shaping soil health and ecosystem dynamics.
Figure 5. Relative abundance of the main phyla (a) and genera (b) in soils under different tillage practices: P + H—plow + harrow; H—harrow; MP—multi-plow; NT—no-tillage; NT33—no tillage + 33% residue surface cover; NT66—no tillage + 66% residue surface cover. Values in each rectangle represent the percentage of relative abundance of each taxon.
Figure 6. Redundancy analysis of the most abundant phyla in soils under six types of tillage: P + H—plow + harrow; H—harrow; MP—multi-plow; NT—no-tillage; NT33—no tillage + 33% residue surface cover; NT66—no tillage + 66% residue surface cover; EC—electrical conductivity; pH –potential of hydrogen; T-GRSP—total glomalin-related soil proteins (GRSP); EE-GRSP—easily extractable GRSP; DE-GRSP—difficulty extractable GRSP; FUN—fungi; YLD—yield.
Several studies have shown that environmental factors, including pH and EC, are important in the bacterial community growth change on high-salinity soils found in arid and semiarid zones, such as the region where this study was conducted [24]. These soil properties influenced the abundance of Actinobacteria, which was related to conventional tillage practices (Figure 6). Actinobacteria are known for their role in decomposing organic matter and nutrient cycling, particularly in polysaccharide and phenolic compound degradation [47], and are a copiotrophic group with different functional taxa. The members of Actinobacteria produce extracellular enzymes for macromolecule hydrolysis, including lignin, cellulose, chitin, and starch, among others, which could be observed in this study with the increase in POX activity under P + H (Table 3). POX are enzymes secreted by fungi that participate in humification, due to their role in the oxidation and polymerization of lignin during the organic matter decomposition process [51]. Other studies reported a higher abundance of this phylum under rotation tillage than in no-tillage management [48,52].
In contrast, Proteobacteria and Planctomycetes abundance increased under CA treatments; this was directly related to GRSP, FUN communities, and crop yield (Figure 6). Bacterial taxa such as Proteobacteria and Planctomycetes tended to proliferate in stable soils with high SOM content and stable aggregates [53], which were CA soil properties found in this study (Table 2). Although the stability of the aggregates was not evaluated, the high GRSP content was an indirect measure given its role as a soil cement that benefits the formation of soil aggregates [54]. Furthermore, the higher abundance of Proteobacteria and Planctomycetes was positively correlated with crop yield. Proteobacteria encompass a diverse group of bacteria that play essential roles in nitrogen cycling, including nitrification and denitrification processes [55]. A higher abundance of this phylum has been reported in soils with less disturbance [44]. Planctomycetes prefer soils with low organic carbon availability and thus may favor recalcitrant carbon accumulation in soils [56]. The improvement in recalcitrant carbon accumulation can also be indirectly inferred from the decrease in POX activity under CA (Table 3). The prevalence of these two large groups of microorganisms in the soil samples highlights their critical roles in improving nutrient availability, promoting organic matter breakdown, and sustaining soil fertility, thereby emphasizing their role in C and N cycling [48,57].
Likewise, 733 genera were also identified (Figure 5). Figure 5b shows the genera whose abundances were notably higher than 0.5%. The differences in microbial abundance between conventional tillage and conservation agriculture may indirectly reflect broader ecological effects. Conservation agriculture often promotes extraordinary biodiversity and resilience in soil ecosystems, leading to long-term sustainability [58]. Identifying which genera thrive under each management practice can help develop strategies to enhance soil health across different agricultural systems. However, future research on functional diversity in soils under different strategies of residue and tillage management is necessary to completely understand the ecological function of each taxon.
The genera Pseudarthrobacter, Blastococcus, and Rhizobium were more abundant in conventional tillage treatments (P + H and H) than in conservation agriculture. The prevalence of these genera in conventional tillage suggests that soil management practices associated with this approach may favor their growth. Understanding these patterns can inform farmers and researchers about the impacts of different tillage and residue management practices on microbial communities. Each genus plays an important ecological role. For example, Pseudarthrobacter is known for its ability to degrade organic compounds and may contribute to soil health through nutrient cycling [59]; thus, its proliferation in CT treatments could reflect a higher level of SOM degradation in tillage soils. However, Blastococcus can be involved in soil respiration and organic matter decomposition, aiding the maintenance of soil fertility [60]. This genus can resist extreme environmental conditions by forming biofilms [61], which could be related to its abundance in perturbed soils. Additionally, Rhizobium is crucial for nitrogen fixation, forming symbiotic relationships with legumes and enhancing nitrogen availability in the soil [62]; however, free-living species are also found in soils [63]. The presence of this taxon could be related to the higher availability of nitrogen compounds in tillage soils. However, an increase in Rhizobium populations in soils under CA has been regularly reported, due to improvements in environmental conditions such as soil moisture retention, temperature, and microbial biomass [64]. Moreover, tillage can also alter soil properties like aeration and structure, which could also affect Rhizobium proliferation. Thus, it will be necessary to conduct deeper research on soil properties and functional traits of microbial populations to define exactly the mechanisms that favor Rhizobium abundance in CT.
Instead, other genera, such as Mesorhizobium, FM253654_g, Gemmata, Amaricoccus, Pedomicrobium, and Bradyrhizobium, presented higher relative abundance in soils under long-term conservation agriculture practices (NT, NT33, NT66) and in transition (MP). Mesorhizobium is a genus of bacteria that are known to form symbiotic relationships with leguminous plants [65]. They effectively fix atmospheric nitrogen in a form usable by plants, enhancing soil fertility and promoting plant growth. Their increase in abundance could be associated with peas seeded in the winter season in the experimental field. While specific functional roles may not be well-defined, uncharacterized microorganisms, such as FM253654_g, can contribute to soil diversity. Thus, they may possess unique metabolic pathways that support nutrient cycling and organic matter decomposition. The presence of these taxa indicates soil health and ecosystem complexity, reflecting the richness of the microbial community.
Bacteria in the genus Gemmata are also associated with the degradation of organic matter and probably play a role in nutrient cycling, particularly in the breakdown of complex organic compounds [66]. This genus can also improve soil structure, water retention, and aeration, which are vital for healthy plant growth [67]. Although the specific functions of Amaricoccus are less well documented, its presence in AC soils suggests a role in the overall microbial community dynamics and interactions, which are essential for maintaining soil health and resilience. Like other soil bacteria, Amaricoccus may contribute to nutrient cycling, thus indirectly supporting plant health. Pedomicrobium is known for its involvement in the degradation of organic matter, nutrient cycling, and soil fertility [68]. In addition, some species may play roles in bioremediation, breaking down pollutants and contributing to soil detoxification processes [69]. Finally, similarly to Mesorhizobium, Bradyrhizobium forms beneficial associations with legumes, facilitating nitrogen fixation and enhancing soil nutrient availability [62]. By promoting nitrogen availability, Bradyrhizobium not only supports the health of leguminous plants but also contributes to the overall productivity of agricultural systems [70]. Notably, these microorganisms contribute to soil health, promote plant growth, and support sustainable farming practices, thereby highlighting their significance in maintaining healthy and productive ecosystems. Results obtained for SOM and TC content as well as β-gal activity (Table 2 and 3) reflect the importance of no-tillage and crop residue soil reintegration in enhancing these soil properties, as well as the time of CA implementation, which led to the proliferation of the main genera found. Moreover, the increase in crop yield under CA also reflects the ability of the main taxa to promote plan growth.
The identification and relative abundance of the main phyla and genera in our soil samples underscore their pivotal roles in ecosystem functioning and agricultural productivity, as well as their interaction with soil properties. Collectively, these findings emphasize the complex interactions of the soil environment with the soil microbiome and their contributions to ecosystem health, agricultural productivity, and sustainability, highlighting the necessity for targeted soil management strategies to enhance microbial diversity and functionality across various agriculture systems.

4. Conclusions

This long-term study investigated the impact of different tillage and residue management practices on soil chemical and biological properties, as well as crop yield in a semiarid region. The results demonstrate that conservation agriculture practices significantly improved soil health and crop productivity compared to conventional tillage, due to increases in soil organic matter, total carbon, fungi, bacteria, and β-gal activity. These changes are typically associated with enhanced soil aggregation and nutrient availability, which positively influence crop growth and yield. Furthermore, CA management promoted beneficial microbial communities, including those involved in nutrient cycling, labile organic matter decomposition, and plant growth promotion.
Conversely, CT practices resulted in soil degradation, lower microbial populations, and decreased crop yields. The lower soil organic matter content and the increases in POX and PPO bacterial activity in CT soils could be related to the increase in soil organic matter degradation, which in the long term could lead to soil degradation.
Additionally, improvements in soil properties and the stimulation of plant growth-promoting bacteria in soils under CA were observed in the short term.
Our findings emphasize the importance of adopting sustainable agricultural practices to maintain soil health and ensure long-term agricultural productivity. By reducing tillage and retaining crop residues, farmers can improve soil quality, enhance water use efficiency, and mitigate climate change impacts. Continued research is needed to further explore the complex interactions between soil microorganisms, soil properties, and crop performance under different management systems.

Author Contributions

Conceptualization, M.Á.M.-G. and E.N.-R.; Investigation, K.S.-A., M.Á.M.-G., Q.K.S.-R., V.C.-G. and E.N.-R.; Formal analysis, K.S.-A., V.C.-G., C.G.-D.l.P., R.T.-C. and E.N.-R.; Writing—original draft preparation, K.S.-A.; Visualization, K.S.-A. and E.N.-R.; Writing—review and editing, R.T.-C., J.A.-Á. and E.N.-R.; Supervision, E.N.-R.; Project administration, E.N.-R.; Funding acquisition, E.N.-R. All authors have read and agreed to the published version of the manuscript.

Funding

This research was funded by the Fiscal Funds Program of the National Institute of Forestry, Agriculture, and Livestock Research (INIFAP) through the project No. 8295235642 “Recovery of the functionality of degraded soils under different strategies in arid and temperate ecosystems of northern Mexico”.

Institutional Review Board Statement

Not applicable.

Data Availability Statement

The original data presented in the study are openly available in the National Center for Biotechnology Information as BioProject: PRJNA824822.

Acknowledgments

The authors thank CONAHCYT for the grant awarded to K.S.A. for her Master’s degree.

Conflicts of Interest

The authors declare no conflicts of interest.

References

  1. FAO. Save and Grow in Practice: Maize, Rice and Wheat. Available online: https://www.fao.org/3/i4009e/i4009e.pdf (accessed on 26 November 2024).
  2. Michler, J.D.; Baylis, K.; Arends-Kuenning, M.; Mazvimavi, K. Conservation Agriculture and Climate Resilience. J. Environ. Econ. Manag. 2019, 93, 148–169. [Google Scholar] [CrossRef] [PubMed]
  3. Zhou, Z.; Wang, C.; Luo, Y. Meta-Analysis of the Impacts of Global Change Factors on Soil Microbial Diversity and Functionality. Nat. Commun. 2020, 11, 3072. [Google Scholar] [CrossRef]
  4. Hallama, M.; Pekrun, C.; Pilz, S.; Jarosch, K.A.; Frąc, M.; Uksa, M.; Marhan, S.; Kandeler, E. Interactions between Cover Crops and Soil Microorganisms Increase Phosphorus Availability in Conservation Agriculture. Plant Soil 2021, 463, 307–328. [Google Scholar] [CrossRef]
  5. Dubey, A.; Malla, M.A.; Khan, F.; Chowdhary, K.; Yadav, S.; Kumar, A.; Sharma, S.; Khare, P.K.; Khan, M.L. Soil Microbiome: A Key Player for Conservation of Soil Health under Changing Climate. Biodivers. Conserv. 2019, 28, 2405–2429. [Google Scholar] [CrossRef]
  6. Zheng, Q.; Hu, Y.; Zhang, S.; Noll, L.; Böckle, T.; Dietrich, M.; Herbold, C.W.; Eichorst, S.A.; Woebken, D.; Richter, A.; et al. Soil Multifunctionality Is Affected by the Soil Environment and by Microbial Community Composition and Diversity. Soil Biol. Biochem. 2019, 136, 107521. [Google Scholar] [CrossRef] [PubMed]
  7. Yarwood, S.A. The Role of Wetland Microorganisms in Plant-Litter Decomposition and Soil Organic Matter Formation: A Critical Review. FEMS Microbiol. Ecol. 2018, 94, fiy175. [Google Scholar] [CrossRef] [PubMed]
  8. Xue, P.-P.; Carrillo, Y.; Pino, V.; Minasny, B.; McBratney, A.B. Soil Properties Drive Microbial Community Structure in a Large Scale Transect in South Eastern Australia. Sci. Rep. 2018, 8, 11725. [Google Scholar] [CrossRef]
  9. Schimel, J.P. Life in Dry Soils: Effects of Drought on Soil Microbial Communities and Processes. Annu. Rev. Ecol. Evol. Syst. 2018, 49, 409–432. [Google Scholar] [CrossRef]
  10. Francaviglia, R.; Almagro, M.; Vicente-Vicente, J.L. Conservation Agriculture and Soil Organic Carbon: Principles, Processes, Practices and Policy Options. Soil Syst. 2023, 7, 17. [Google Scholar] [CrossRef]
  11. Wang, H.; Wang, S.; Wang, R.; Wang, X.; Li, J. Conservation Tillage Increased Soil Bacterial Diversity and Improved Soil Nutrient Status on the Loess Plateau in China. Arch. Agron. Soil Sci. 2020, 66, 1509–1519. [Google Scholar] [CrossRef]
  12. Dev, P.; Khandelwal, S.; Yadav, S.C.; Arya, V.; Mali, H.R.; Poonam; Yadav, K.K. Conservation Agriculture for Sustainable Agriculture. Int. J. Plant Soil Sci. 2023, 35, 1–11. [Google Scholar] [CrossRef]
  13. Khan, M.H.; Liu, H.; Zhu, A.; Khan, M.H.; Hussain, S.; Cao, H. Conservation Tillage Practices Affect Soil Microbial Diversity and Composition in Experimental Fields. Front. Microbiol. 2023, 14, 1227297. [Google Scholar] [CrossRef]
  14. Martínez-García, L.B.; Korthals, G.; Brussaard, L.; Jørgensen, H.B.; De Deyn, G.B. Organic Management and Cover Crop Species Steer Soil Microbial Community Structure and Functionality along with Soil Organic Matter Properties. Agric. Ecosyst. Environ. 2018, 263, 7–17. [Google Scholar] [CrossRef]
  15. Wang, Y.; Liu, L.; Yang, J.; Duan, Y.; Luo, Y.; Taherzadeh, M.J.; Li, Y.; Li, H.; Awasthi, M.K.; Zhao, Z. The Diversity of Microbial Community and Function Varied in Response to Different Agricultural Residues Composting. Sci. Total Environ. 2020, 715, 136983. [Google Scholar] [CrossRef]
  16. Li, Y.; Chang, S.X.; Tian, L.; Zhang, Q. Conservation Agriculture Practices Increase Soil Microbial Biomass Carbon and Nitrogen in Agricultural Soils: A Global Meta-Analysis. Soil Biol. Biochem. 2018, 121, 50–58. [Google Scholar] [CrossRef]
  17. Kraut-Cohen, J.; Zolti, A.; Shaltiel-Harpaz, L.; Argaman, E.; Rabinovich, R.; Green, S.J.; Minz, D. Effects of Tillage Practices on Soil Microbiome and Agricultural Parameters. Sci. Total Environ. 2020, 705, 135791. [Google Scholar] [CrossRef] [PubMed]
  18. Julio-Miranda, P.; Ortíz-Rodríguez, A.J.; Palacio-Aponte, A.G.; López-Doncel, R.; Barboza-Gudiño, R. Damage Assessment Associated with Land Subsidence in the San Luis Potosi-Soledad de Graciano Sanchez Metropolitan Area, Mexico, Elements for Risk Management. Nat. Hazards 2012, 64, 751–765. [Google Scholar] [CrossRef]
  19. IUSS Working Group WRB. World Reference Base for Soil Resources. International Soil Classification System for Naming Soils and Creating Legends for Soil Maps, 4th ed.; International Union of Soil Sciences (IUSS): Vienna, Austria, 2022. [Google Scholar]
  20. Walkley, A.; Black, I.A. An Examination of the Degtjareff Method for Determining Soil Organic Matter, and a Proposed Modification of the Chromic Acid Titration Method. Soil Sci. 1934, 37, 29–38. [Google Scholar] [CrossRef]
  21. Palma, R.M.; Arrigo, N.M.; Saubidet, M.I.; Conti, M.E. Chemical and Biochemical Properties as Potential Indicators of Disturbances. Biol. Fertil. Soils 2000, 32, 381–384. [Google Scholar] [CrossRef]
  22. Wright, S.F.; Upadhyaya, A. Extraction of an Abundant and Unusual Protein from Soil and Comparison with Hyphal Protein of Arbuscular Mycorrhizal Fungi. Soil Sci. 1996, 161, 575–586. [Google Scholar] [CrossRef]
  23. Luna, L.; Miralles, I.; Andrenelli, M.C.; Gispert, M.; Pellegrini, S.; Vignozzi, N.; Solé-Benet, A. Restoration Techniques Affect Soil Organic Carbon, Glomalin and Aggregate Stability in Degraded Soils of a Semiarid Mediterranean Region. Catena 2016, 143, 256–264. [Google Scholar] [CrossRef]
  24. Bradford, M. A Rapid and Sensitive Method for the Quantitation of Microgram Quantities of Protein Utilizing the Principle of Protein-Dye Binding. Crop J. 1975, 5, 407–415. [Google Scholar] [CrossRef] [PubMed]
  25. Germida, J.J.; De Freitas, J.R. Cultural Methods for Soil and Root-Associated Microorganisms. In Soil Sampling and Methods of Analysis, 2nd ed.; Carter, M.R., Gregorich, E.G., Eds.; CRC Press: Boca Raton, FL, USA, 2006; pp. 341–353. [Google Scholar]
  26. Stagnari, F.; Perpetuini, G.; Tofalo, R.; Campanelli, G.; Leteo, F.; Della Vella, U.; Schirone, M.; Suzzi, G.; Pisante, M. Long-Term Impact of Farm Management and Crops on Soil Microorganisms Assessed by Combined DGGE and PLFA Analyses. Front. Microbiol. 2014, 5, 644. [Google Scholar] [CrossRef]
  27. Anderson, J.P.E. Soil Respiration. In Methods of Soil Analysis Part 2: Chemical and Microbiological Properties, 2nd ed.; Page, A.L., Miller, R.H., Keeney, D.R., Eds.; American Society of Agronomy, Inc.: Madison, WI, USA; Soil Science Society of America, Inc.: Madison, WI, USA, 1982; pp. 831–871. [Google Scholar] [CrossRef]
  28. Saiya-Cork, K.R.; Sinsabaugh, R.L.; Zak, D.R. The Effects of Long Term Nitrogen Deposition on Extracellular Enzyme Activity in an Acer Saccharum Forest Soil. Soil Biol. Biochem. 2002, 34, 1309–1315. [Google Scholar] [CrossRef]
  29. Eivazi, F.; Tabatabai, M.A. Glucosidases and Galactosidases in Soils. Soil Biol. Biochem. 1988, 20, 601–606. [Google Scholar] [CrossRef]
  30. Klindworth, A.; Pruesse, E.; Schweer, T.; Peplies, J.; Quast, C.; Horn, M.; Glöckner, F.O. Evaluation of General 16S Ribosomal RNA Gene PCR Primers for Classical and Next-Generation Sequencing-Based Diversity Studies. Nucleic Acids Res. 2013, 41, e1. [Google Scholar] [CrossRef] [PubMed]
  31. Illumina Nextera XT DNA Library Prep Kit Reference Guide (15031942). Available online: https://support.illumina.com/downloads/nextera_xt_sample_preparation_guide_15031942.html (accessed on 20 January 2022).
  32. Illumina 16S Metagenomic Sequencing Library. Available online: http://support.illumina.com/content/dam/illumina-support/documents/documentation/chemistry_documentation/16s/16s-metagenomic-library-prep-guide-15044223-b.pdf (accessed on 20 January 2022).
  33. Caporaso, J.G.; Kuczynski, J.; Stombaugh, J.; Bittinger, K.; Bushman, F.D.; Costello, E.K.; Fierer, N.; Peña, A.G.; Goodrich, J.K.; Gordon, J.I.; et al. QIIME Allows Analysis of High-Throughput Community Sequencing Data. Nat. Methods 2010, 7, 335–336. [Google Scholar] [CrossRef]
  34. Zhang, J.; Kobert, K.; Flouri, T.; Stamatakis, A. PEAR: A Fast and Accurate Illumina Paired-End ReAd MergeR. Bioinformatics 2014, 30, 614–620. [Google Scholar] [CrossRef]
  35. Edgar, R.C. Search and Clustering Orders of Magnitude Faster than BLAST. Bioinformatics 2010, 26, 2460–2461. [Google Scholar] [CrossRef]
  36. Yoon, S.H.; Ha, S.M.; Kwon, S.; Lim, J.; Kim, Y.; Seo, H.; Chun, J. Introducing EzBioCloud: A Taxonomically United Database of 16S RRNA Gene Sequences and Whole-Genome Assemblies. Int. J. Syst. Evol. Microbiol. 2017, 67, 1613–1617. [Google Scholar] [CrossRef]
  37. McDonald, D.; Price, M.N.; Goodrich, J.; Nawrocki, E.P.; DeSantis, T.Z.; Probst, A.; Andersen, G.L.; Knight, R.; Hugenholtz, P. An Improved Greengenes Taxonomy with Explicit Ranks for Ecological and Evolutionary Analyses of Bacteria and Archaea. ISME J. 2012, 6, 610–618. [Google Scholar] [CrossRef]
  38. Chatterjee, A.; Lal, R. On Farm Assessment of Tillage Impact on Soil Carbon and Associated Soil Quality Parameters. Soil Tillage Res. 2009, 104, 270–277. [Google Scholar] [CrossRef]
  39. Mumu, N.J.; Ferdous, J.; Riza, I.J.; Jahiruddin, M.; Islam, K.R.; Bell, R.W.; Jahangir, M. Glomalin as a Soil Quality Indicator in Long-Term Agricultural Practices. 2024. Available online: https://ssrn.com/abstract=4961851 (accessed on 5 November 2024).
  40. Wright, S.F.; Anderson, R.L. Aggregate Stability and Glomalin in Alternative Crop Rotations for the Central Great Plains. Biol. Fertil. Soils 2000, 31, 249–253. [Google Scholar] [CrossRef]
  41. Wang, Y.; Li, C.; Tu, C.; Hoyt, G.D.; DeForest, J.L.; Hu, S. Long-Term No-Tillage and Organic Input Management Enhanced the Diversity and Stability of Soil Microbial Community. Sci. Total Environ. 2017, 609, 341–347. [Google Scholar] [CrossRef]
  42. Zhao, J.; Chen, S.; Hu, R.; Li, Y. Aggregate Stability and Size Distribution of Red Soils under Different Land Uses Integrally Regulated by Soil Organic Matter, and Iron and Aluminum Oxides. Soil Tillage Res. 2017, 167, 73–79. [Google Scholar] [CrossRef]
  43. Dai, H.; Zhang, H.; Li, Z.; Liu, K.; Zamanian, K. Tillage Practice Impacts on the Carbon Sequestration Potential of Topsoil Microbial Communities in an Agricultural Field. Agronomy 2020, 11, 60. [Google Scholar] [CrossRef]
  44. Galazka, A.; Gawryjolek, K.; Grzadziel, J.; Ksiezak, J. Effect of Different Agricultural Management Practices on Soil Biological Parameters Including Glomalin Fraction. Plant Soil Environ. 2017, 63, 300–306. [Google Scholar] [CrossRef]
  45. Kumar, R.; Choudhary, J.S.; Naik, S.K.; Mondal, S.; Mishra, J.S.; Poonia, S.P.; Kumar, S.; Hans, H.; Kumar, S.; Das, A.; et al. Influence of Conservation Agriculture-Based Production Systems on Bacterial Diversity and Soil Quality in Rice-Wheat-Greengram Cropping System in Eastern Indo-Gangetic Plains of India. Front. Microbiol. 2023, 14, 1181317. [Google Scholar] [CrossRef]
  46. Xia, Q.; Rufty, T.; Shi, W. Soil Microbial Diversity and Composition: Links to Soil Texture and Associated Properties. Soil Biol. Biochem. 2020, 149, 107953. [Google Scholar] [CrossRef]
  47. Gohain, A.; Manpoong, C.; Saikia, R.; De Mandal, S. Actinobacteria: Diversity and Biotechnological Applications. In Recent Advancements in Microbial Diversity; Elsevier: Amsterdam, The Netherlands, 2020; pp. 217–231. [Google Scholar]
  48. Tang, H.; Xiao, X.; Xu, Y.; Li, C.; Cheng, K.; Pan, X.; Li, W. Utilization of Carbon Sources in the Rice Rhizosphere and Nonrhizosphere Soils with Different Long-term Fertilization Management. J. Basic Microbiol. 2019, 59, 621–631. [Google Scholar] [CrossRef]
  49. Treonis, A.M.; Austin, E.E.; Buyer, J.S.; Maul, J.E.; Spicer, L.; Zasada, I.A. Effects of Organic Amendment and Tillage on Soil Microorganisms and Microfauna. Appl. Soil Ecol. 2010, 46, 103–110. [Google Scholar] [CrossRef]
  50. Gupta, A.; Singh, U.B.; Sahu, P.K.; Paul, S.; Kumar, A.; Malviya, D.; Singh, S.; Kuppusamy, P.; Singh, P.; Paul, D.; et al. Linking Soil Microbial Diversity to Modern Agriculture Practices: A Review. Int. J. Environ. Res. Public Health 2022, 19, 3141. [Google Scholar] [CrossRef]
  51. Sinsabaugh, R.L. Phenol Oxidase, Peroxidase and Organic Matter Dynamics of Soil. Soil Biol. Biochem. 2010, 42, 391–404. [Google Scholar] [CrossRef]
  52. Li, Y.; Song, D.; Liang, S.; Dang, P.; Qin, X.; Liao, Y.; Siddique, K.H.M. Effect of No-Tillage on Soil Bacterial and Fungal Community Diversity: A Meta-Analysis. Soil Tillage Res. 2020, 204, 104721. [Google Scholar] [CrossRef]
  53. Zhao, F.Z.; Fan, X.D.; Ren, C.J.; Zhang, L.; Han, X.H.; Yang, G.H.; Wang, J.; Doughty, R. Changes of the Organic Carbon Content and Stability of Soil Aggregates Affected by Soil Bacterial Community after Afforestation. Catena 2018, 171, 622–631. [Google Scholar] [CrossRef]
  54. Ramirez-Villanueva, D.A.; Bello-López, J.M.; Navarro-Noya, Y.E.; Luna-Guido, M.; Verhulst, N.; Govaerts, B.; Dendooven, L. Bacterial Community Structure in Maize Residue Amended Soil with Contrasting Management Practices. Appl. Soil Ecol. 2015, 90, 49–59. [Google Scholar] [CrossRef]
  55. Zhang, H.; Ullah, F.; Ahmad, R.; Ali Shah, S.U.; Khan, A.; Adnan, M. Response of Soil Proteobacteria to Biochar Amendment in Sustainable Agriculture- A Mini Review. J. Soil Plant Environ. 2022, 1, 16–30. [Google Scholar] [CrossRef]
  56. Bei, S.; Zhang, Y.; Li, T.; Christie, P.; Li, X.; Zhang, J. Response of the Soil Microbial Community to Different Fertilizer Inputs in a Wheat-Maize Rotation on a Calcareous Soil. Agric. Ecosyst. Environ. 2018, 260, 58–69. [Google Scholar] [CrossRef]
  57. Luan, H.; Gao, W.; Huang, S.; Tang, J.; Li, M.; Zhang, H.; Chen, X.; Masiliūnas, D. Substitution of Manure for Chemical Fertilizer Affects Soil Microbial Community Diversity, Structure and Function in Greenhouse Vegetable Production Systems. PLoS ONE 2020, 15, e0214041. [Google Scholar] [CrossRef] [PubMed]
  58. Jayaraman, S.; Dang, Y.P.; Naorem, A.; Page, K.L.; Dalal, R.C. Conservation Agriculture as a System to Enhance Ecosystem Services. Agriculture 2021, 11, 718. [Google Scholar] [CrossRef]
  59. Selmani, Z.; Attard, E.; Lauga, B.; Barakat, M.; Ortet, P.; Tulumello, J.; Achouak, W.; Kaci, Y.; Heulin, T. Culturing the Desert Microbiota. Front. Microbiol. 2023, 14, 1098150. [Google Scholar] [CrossRef] [PubMed]
  60. Molina-Menor, E.; Gimeno-Valero, H.; Pascual, J.; Peretó, J.; Porcar, M. High Culturable Bacterial Diversity From a European Desert: The Tabernas Desert. Front. Microbiol. 2021, 11, 583120. [Google Scholar] [CrossRef]
  61. Normand, P. Geodermatophilaceae Fam. Nov., a Formal Description. Int. J. Syst. Evol. Microbiol. 2006, 56, 2277–2278. [Google Scholar] [CrossRef] [PubMed]
  62. Basu, S.; Kumar, G. Nitrogen Fixation in a Legume-Rizobium Symbiosis: The Roots of a Success Story. In Plant Microbe Symbiosis; Varma, A., Tripathi, S., Prasad, R., Eds.; Springer Nature: Cham, Switzerland, 2020; pp. 115–128. ISBN 9783030362478. [Google Scholar]
  63. Mateos, P.F.; Rivas, R.; Robledo, M.; Velázquez, E.; Martúnez-Molina, E.; Emerich, D.W. The Path of Rhizobia: From a Free-living Soil Bacterium to Root Nodulation. In Ecological Aspects of Nitrogen Metabolism in Plants; Wiley: Hoboken, NJ, USA, 2011; pp. 167–194. [Google Scholar]
  64. Torabian, S.; Farhangi-Abriz, S.; Denton, M.D. Do Tillage Systems Influence Nitrogen Fixation in Legumes? A Review. Soil Tillage Res. 2019, 185, 113–121. [Google Scholar] [CrossRef]
  65. Liang, J.; Klingl, A.; Lin, Y.Y.; Boul, E.; Thomas-Oates, J.; Marín, M. A Subcompatible Rhizobium Strain Reveals Infection Duality in Lotus. J. Exp. Bot. 2019, 70, 1903–1913. [Google Scholar] [CrossRef] [PubMed]
  66. Singh, S.; Rathva, H.K.; Sahay, T.; Dhanjal, D.S.; Chopra, C.; Singh, R. Gemmata Obscuriglobus: A Connecting Link between Prokaryotic and Eukaryotic Cell. Biologia 2020, 75, 2433–2439. [Google Scholar] [CrossRef]
  67. de Cos-Gandoy, A.; Serrano-Bellón, A.; Macías-Daza, M.; Pérez-Uz, B.; Williams, R.A.J.; Sanchez-Jimenez, A.; Martín-Cereceda, M. Bacterial Community Structure and Patterns of Diversity in the Sediments of Mountain Rock Basins from a National Park. Diversity 2024, 16, 544. [Google Scholar] [CrossRef]
  68. Rong, L.; Zhao, L.; Zhao, L.; Cheng, Z.; Yao, Y.; Yuan, C.; Wang, L.; Sun, H. LDPE Microplastics Affect Soil Microbial Communities and Nitrogen Cycling. Sci. Total Environ. 2021, 773, 145640. [Google Scholar] [CrossRef] [PubMed]
  69. Neina, D. The Role of Soil PH in Plant Nutrition and Soil Remediation. Appl. Environ. Soil Sci. 2019, 2019, 5794869. [Google Scholar] [CrossRef]
  70. Mhadhbi, H.; Mylona, P.V.; Polidoros, A. Legume-Rhizobia Symbiotic Performance under Abiotic Stress: Factors Incluencing Tolerance Behaviour. In Legume Under Enviroments Stresss: Yield, Improvement and Adaptations; Azooz, M.M., Ahmad, P., Eds.; Wiley: Hoboken, NJ, USA, 2015; Volume 1. [Google Scholar]
Disclaimer/Publisher’s Note: The statements, opinions and data contained in all publications are solely those of the individual author(s) and contributor(s) and not of MDPI and/or the editor(s). MDPI and/or the editor(s) disclaim responsibility for any injury to people or property resulting from any ideas, methods, instructions or products referred to in the content.

Article Metrics

Citations

Article Access Statistics

Multiple requests from the same IP address are counted as one view.