Effects of Biotic and Abiotic Factors on the Spatiotemporal Distribution of Round Scad (Decapterus maruadsi) in the Hainan Island Offshore Area
Abstract
1. Introduction
2. Materials and Methods
2.1. Data Collection
2.1.1. Round Scad Abundance
2.1.2. Biotic and Abiotic Factors
2.2. Data Analyses
2.2.1. Generalized Additive Model
2.2.2. Factor Screening and Model Selection
3. Results
3.1. Spatiotemporal Distribution of Round Scad
3.2. Selection of Variables
3.3. Model Selection
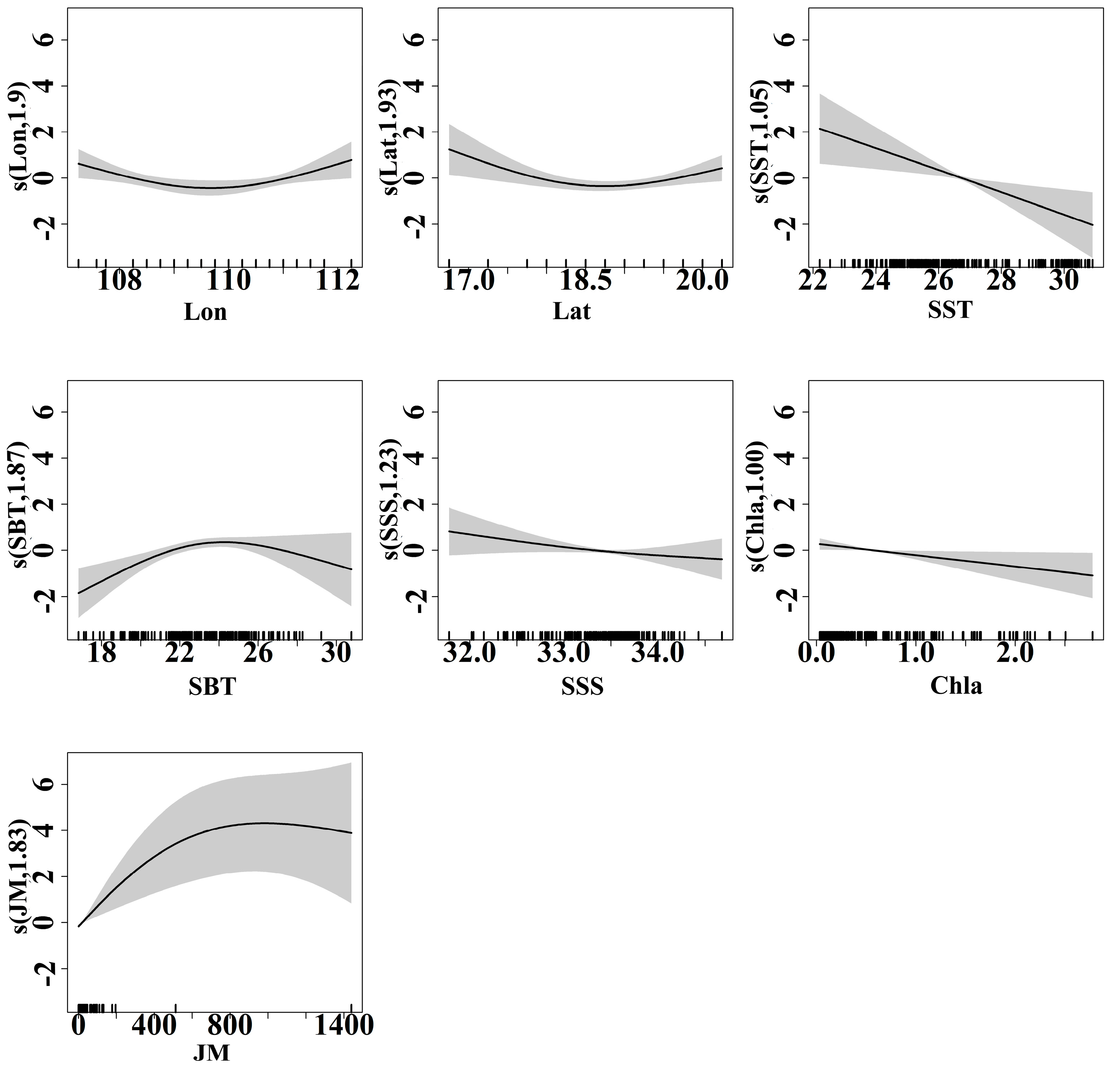
3.4. Effect of Explanatory Variables on Distribution of Round Scad Abundance
4. Discussion
4.1. Spatiotemporal Distribution of Round Scad
4.2. Effects of Biotic Factors
4.3. Effects of Abiotic Factors
5. Conclusions
Author Contributions
Funding
Institutional Review Board Statement
Informed Consent Statement
Data Availability Statement
Acknowledgments
Conflicts of Interest
References
- Palomera, I.; Olivar, M.P.; Salat, J.; Sabates, A.; Coll, M.; Garcia, A.; Morales-Nin, B. Small Pelagic Fish in the Nw Mediterranean Sea: An Ecological Review. Prog. Oceanogr. 2007, 74, 377–396. [Google Scholar] [CrossRef]
- Tacon, A.G.J.; Metian, M. Fishing for Feed or Fishing for Food: Increasing Global Competition for Small Pelagic Forage Fish. Ambio. J. Hum. Environ. 2009, 38, 294–303. [Google Scholar]
- Chavez, F.P.; Ryan, J.; Lluch-Cota, S.E.; NÑiquen, C.M. From anchovies to sardines and back: Multidecadal change in the Pacific Ocean. Science 2003, 299, 217–221. [Google Scholar] [CrossRef]
- Sakurai, Y.; Kiyofuji, H.; Saitoh, S.; Hiyama, Y. Changes in inferred spawning areas of Todarodes pacificus (Cephalopoda: Ommastrephidae) due to changing environmental conditions. ICES J. Mar. Sci. 2000, 57, 24–30. [Google Scholar] [CrossRef]
- Wang, L.M.; Ma, S.Y.; Liu, Y.; Li, J.C.; Liu, S.G.; Lin, L.S.; Tian, Y.J. Fluctuations in the abundance of chub mackerel in relation to climatic/oceanic regime shifts in the northwest Pacific Ocean since the 1970s. J. Mar. Syst. 2021, 218, 103541. [Google Scholar] [CrossRef]
- Deng, J.Y.; Zhao, C.Y. Marine Fisheries Biology; China Agriculture Press: Beijing, China, 1991; pp. 485–516. [Google Scholar]
- Chen, Z.Z.; Qiu, Y.S. Assessment of the food-web structure, energy flows, and system attribute of northern South China Sea ecosystem. Acta Ecol. Sin. 2009, 30, 4855–4865. [Google Scholar]
- Ministry of Agriculture and Rural Affairs of the People’s Republic of China. Chinese National Fishery Statistics Yearbook; China Agriculture Press: Beijing, China, 1979–2021. [Google Scholar]
- Yu, J.; Lin, Z.N.; Chen, P.M.; Yao, L.J. Environmental factors affecting the spatiotemporal distribution of Decapterus maruadsi in the western Guangdong waters, China. Appl. Ecol. Environ. Res. 2019, 17, 8485–8499. [Google Scholar] [CrossRef]
- He, L.X.; Fu, D.Y.; Li, Z.L.; Wang, H.; Sun, Y.; Liu, B.; Yu, G. Spatio-temporal distribution of Decapterus maruadsi and its relationship with environmental factors in the northwestern South China Sea. Prog. Fish. Sci. 2022, 43, 1–12. [Google Scholar]
- Ma, S.; Cheng, J.; Li, J.; Liu, Y.; Wan, R.; Tian, Y. Interannual to Decadal Variability in the Catches of Small Pelagic Fishes from China Seas and its Responses to Climatic Regime Shifts. Deep-Sea Res. Pt II 2019, 159, 112–129. [Google Scholar] [CrossRef]
- Zhang, K.; Li, M.; Li, J.J.; Sun, M.S.; Xu, Y.W.; Cai, Y.C.; Chen, Z.Z.; Qiu, Y.S. Climate-induced small pelagic fish blooms in an overexploited marine ecosystem of the South China Sea. Ecol. Indic. 2022, 145, 109598. [Google Scholar] [CrossRef]
- Ma, S.Y.; Liu, Y.; Li, J.C.; Fu, C.H.; Ye, Z.J.; Sun, P.; Yu, H.Q.; Cheng, J.H.; Tian, Y.J. Climate-induced long-term variations in ecosystem structure and atmosphere-oceanecosystem processes in the yellow Sea and East China Sea. Prog. Oceanogr. 2019, 175, 183–197. [Google Scholar] [CrossRef]
- Li, Z.L.; Zhang, W.X.; He, X.B.; Yan, Y.R. Feeding Ecology and Feeding Competition Between Decapterus maruadsi and Trachurus japonicus in Autumn in the Beibu Gulf, South China Sea. J. Guangdong Ocean Univ. 2019, 39, 79–86. [Google Scholar]
- Sparre, P.; Venema, S.C. Introduction to Tropical Fish Stock Assessment Part I. Manual. In FAO Fisheries Technical Paper, 2nd ed.; FAO: Rome, Italy, 1998. [Google Scholar]
- Wang, X.; Qiu, Y.; Du, F.; Liu, W.; Sun, D.; Chen, X.; Yuan, W.; Chen, Y. Roles of fishing and climate change in long-term fish species succession and population dynamics in the outer Beibu Gulf, South China Sea. Acta Oceanol. Sin. 2019, 38, 1–8. [Google Scholar] [CrossRef]
- Yentsch, C.S.; Menzel, D.W. A method for the determination of phytoplankton chlorophyll and phaeophytin by fluorescence. Deep-Sea Res. 1963, 10, 221–231. [Google Scholar] [CrossRef]
- Hastie, T.J.; Tibshirani, R.J. Generalized Additive Models; Chapman and Hall: London, UK, 1990. [Google Scholar]
- Jiang, R.J.; Xu, H.X.; Jin, H.W.; Zhou, Y.D.; He, Z.T. Feeding habits of blue mackerel scad Decapterus maruadsi Temminck et Schlegel in the East China Sea. J. Fish. China 2012, 36, 216–227. [Google Scholar]
- Sagarese, S.R.; Frisk, M.G.; Cerrat, R.M.; Sosebee, K.A.; Musick, J.A.; Rago, P.J. Application of generalized additive models to examine ontogenetic and seasonal distributions of spiny dogfish (squalus acanthias) in the northeast (US) shelf large marine ecosystem. Can. J. Fish. Aquat. Sci. 2014, 71, 847–877. [Google Scholar] [CrossRef]
- Burnham, K.P.; Anderson, D.R. Model Selection and Multimodel Inference: A Practical Information-Theoretic Approach; Springer Science and Business Media: New York, NY, USA, 2003; p. 488. [Google Scholar]
- Chen, G.B.; Li, Y.Z.; Chen, P.M. A study on spawning ground of blue mackerel (Decapterus Maruadsi). J. Trop. Oceanogr. 2003, 22, 22–28. [Google Scholar]
- Fan, J.T.; Huang, Z.R.; Xu, Y.W.; Sun, M.S.; Chen, G.B.; Chen, Z.Z. Habitat model analysis for Decapterus Maruadsi in Northern South China Sea based on remote sensing data. T. Oceanol. Limnol. 2018, 3, 142–147. [Google Scholar]
- Wang, X.X.; Yu, J.; Li, Y.Z.; Chen, G.B.; Huang, M.F. The relationship between major upwelling and the upwelling fishing grounds in the South China Sea. Mar. Sci. 2015, 39, 131–137. [Google Scholar]
- Cury, P.; Bakun, A.; Crawford, R.; Jarre, A.; Quinones, R.; Shannon, L.; Verheye, H. Small pelagic in upwelling systems: Patterns of interaction and structural changes in “wasp-waist” ecosystem. Adv. Exp. Med. Biol. 2000, 559, A341–A349. [Google Scholar] [CrossRef]
- Zhang, W.C.; Yu, H.Q.; Ye, Z.J.; Tian, Y.J.; Liu, Y.; Li, J.C.; Xing, Q.W.; Jiang, Y.Q. Spawning strategy of Japanese anchovy Engraulis japonicus in the coastal Yellow Sea: Choice and dynamics. Fish. Oceanogr. 2020, 30, 366–381. [Google Scholar] [CrossRef]
- Ju, P.L.; Chen, M.R.; Cheung, W.; Tian, Y.J.; Yang, S.Y.; Sun, P.; Jiang, C.P.; Lu, Z.B. Modelling the structure and functioning of an upwelling ecosystem in the Southern Taiwan Strait, China. J. Marine Syst. 2022, 226, 103666. [Google Scholar] [CrossRef]
- Xu, Z.T.; Li, S.Y.; Hu, J.T.; Wang, S.Y.; Wang, B.; Guo, M.X.; Geng, B.X. Summer phytoplankton responses to upwelling and river plume in northern South China Sea. J. Trop. Oceanogr. 2018, 37, 92–103. [Google Scholar]
- Qiu, Y.S.; Lin, Z.J.; Wang, Y.Z. Responses of fish production to fishing and climate variability in the northern South China Sea. Prog. Oceanogr. 2010, 85, 197–212. [Google Scholar] [CrossRef]
- Chen, Q.X.; Xiong, Z.Y.; Tan, Z.M.; Shi, W.Q.; Peng, J.Y.; Li, Y.Q. Comparison between the catches (Trachurus japonicus and Decapterus maruadsi) around two LED lamps. South China Fish. Sci. 2013, 9, 80–84. [Google Scholar]
- Li, Y.N.; Yang, B.Z.; Zhang, P.; Li, J.; Wang, T.; Yan, L. Size selectivity of codend mesh size of trawl for Decapterus maruadsi in northern part of South China Sea. South China Fish. Sci. 2022, 18, 170–176. [Google Scholar]
- Nakayama, S.-I.; Takasuka, A.; Ichinokawa, M.; Okamura, H. Climate change and interspecific interactions drive species alternations between anchovy and sardine in the western North Pacific: Detection of causality by convergent cross mapping. Fish. Oceanogr. 2018, 27, 312–322. [Google Scholar] [CrossRef]
- Sugihara, G.; May, R.; Ye, H.; Hsieh, C.H.; Deyle, E.; Fogarty, M.; Munch, S. Detecting causality in complex ecosystems. Science 2012, 338, 496–500. [Google Scholar] [CrossRef]
- Takasuka, A.; Oozeki, Y.; Kubota, H. Multi-species regime shifts reflected in spawning temperature optima of small pelagic fish in the western North Pacific. Mar. Ecol. Prog. Ser. 2008, 360, 211–217. [Google Scholar] [CrossRef]
- Oozeki, Y.; Carranza, M.N.; Takasuka, A.; Dejo, P.A.; Kuroda, H.; Malagas, J.T.; Okunishi, T.; Espinoza, L.V.; Aguilar, D.G.; Okamura, H.; et al. Synchronous multi-species alternations between the northern Humboldt and Kuroshio Current systems. Deep-Sea Res. Pt II 2019, 159, 11–21. [Google Scholar] [CrossRef]
- Takasuka, A.; Oozeki, Y.; Aoki, I. Optimal growth temperature hypothesis: Why do anchovy flourish and sardine collapse or vice versa under the same ocean regime. Can. J. Fish. Aquat. Sci. 2007, 64, 768–776. [Google Scholar] [CrossRef]
- Takasuka, A.; Oozeki, Y.; Kubota, H.; Lluch-Cota, S.E. Contrasting spawning temperature optima: Why are anchovy and sardine regime shifts synchronous across the North Pacific? Prog. Oceanogr. 2008, 77, 225–232. [Google Scholar] [CrossRef]
- Oozeki, Y.; Okunishi, T.; Takasuka, A.; Ambe, D. Variability in transport processes of Pacific saury Cololabis saira larvae leading to their broad dispersal: Implications for their ecological role in the western North Pacific. Prog. Oceanogr. 2015, 138, 448–458. [Google Scholar] [CrossRef]
- Liu, S.G.; Liu, Y.; Fu, C.H.; Yan, L.X.; Xu, Y.; Wan, R.; Li, J.C.; Tian, Y.J. Using novel spawning ground indices to analyze the effects of climate change on pacific saury abundance. J. Mar. Syst. 2019, 191, 13–23. [Google Scholar] [CrossRef]
- Zou, X.R.; Xu, L.X. A preliminary study on biology of chub mackerel (Scomber Japonicus) and round scad (Decapterus maruadsi) in the Southern East China Sea. Marine Fish. 2001, 15, 117–121. [Google Scholar]
- Xu, W.L. Biooptical Inversion and Environmental Factors of Chlorophyll–A Concentration Profile in the South China Sea; University of Chinese Academy of Sciences: Beijing, China, 2018. [Google Scholar]
- Liu, Z.N. Remote Sensing of Environment and Spatiotemporal Distribution of Light Falling-Net Fishing Ground in the Western Guangdong Waters; Shanghai Ocean University: Shanghai, China, 2019. [Google Scholar]





| Explanatory Variable | Abbreviation | |
|---|---|---|
| Abiotic factors | Longitude | Lon |
| Latitude | Lat | |
| Sea surface temperature | SST | |
| Sea bottom temperature | SBT | |
| Sea surface salinity | SSS | |
| Sea bottom salinity | SBS | |
| Water depth | Depth | |
| Sea surface chlorophyll-a concentration | Chla | |
| Biotic factors | Phytoplankton abundance | PA |
| Zooplankton abundance | ZA | |
| Jack mackerel stock density | JM |
| Explanatory Variable | Variance Inflation Factor |
|---|---|
| Lon | 2.36 |
| Lat | 1.95 |
| SST | 1.58 |
| SBT | 2.16 |
| SSS | 1.90 |
| SBS | 3.09 |
| Chla | 1.90 |
| Depth | 3.12 |
| JM | 1.16 |
| PA | 1.26 |
| ZA | 1.30 |
| Sea | 1.22 |
| Model | AIC | Deviance Explained (%) | R2 |
|---|---|---|---|
| s(Lon) + s(Lat) + s(SST) + s(SBT) + s(SSS) + s(Chla) + s(JM) + s(PA) + s(ZA) + Sea | 800.18 | 37.90 | 0.329 |
| s(Lon) + s(Lat) + s(SST) + s(SBT) + s(SSS) + s(Chla) + s(JM) + s(ZA) + Sea | 798.67 | 37.50 | 0.329 |
| s(Lon) + s(Lat) + s(SST) + s(SBT) + s(SSS) + s(Chla) + s(JM) + Sea | 797.66 | 37.20 | 0.329 |
| Explanatory Variable | F | p-Value |
|---|---|---|
| s(Lon) | 3.759 | 0.033 * |
| s(Lat) | 5.409 | 0.005 ** |
| s(SST) | 7.539 | 0.005 ** |
| s(SBT) | 6.604 | 0.003 ** |
| s(SSS) | 2.183 | 0.171 |
| s(Chla) | 4.881 | 0.028 * |
| s(JM) | 9.414 | 0.000 ** |
Disclaimer/Publisher’s Note: The statements, opinions and data contained in all publications are solely those of the individual author(s) and contributor(s) and not of MDPI and/or the editor(s). MDPI and/or the editor(s) disclaim responsibility for any injury to people or property resulting from any ideas, methods, instructions or products referred to in the content. |
© 2023 by the authors. Licensee MDPI, Basel, Switzerland. This article is an open access article distributed under the terms and conditions of the Creative Commons Attribution (CC BY) license (https://creativecommons.org/licenses/by/4.0/).
Share and Cite
Wang, L.; Yang, C.; Liu, Y.; Shan, B.; Ma, S.; Sun, D. Effects of Biotic and Abiotic Factors on the Spatiotemporal Distribution of Round Scad (Decapterus maruadsi) in the Hainan Island Offshore Area. Diversity 2023, 15, 659. https://doi.org/10.3390/d15050659
Wang L, Yang C, Liu Y, Shan B, Ma S, Sun D. Effects of Biotic and Abiotic Factors on the Spatiotemporal Distribution of Round Scad (Decapterus maruadsi) in the Hainan Island Offshore Area. Diversity. 2023; 15(5):659. https://doi.org/10.3390/d15050659
Chicago/Turabian StyleWang, Liangming, Changping Yang, Yan Liu, Binbin Shan, Shengwei Ma, and Dianrong Sun. 2023. "Effects of Biotic and Abiotic Factors on the Spatiotemporal Distribution of Round Scad (Decapterus maruadsi) in the Hainan Island Offshore Area" Diversity 15, no. 5: 659. https://doi.org/10.3390/d15050659
APA StyleWang, L., Yang, C., Liu, Y., Shan, B., Ma, S., & Sun, D. (2023). Effects of Biotic and Abiotic Factors on the Spatiotemporal Distribution of Round Scad (Decapterus maruadsi) in the Hainan Island Offshore Area. Diversity, 15(5), 659. https://doi.org/10.3390/d15050659

