Diversity in Zooplankton and Sympagic Biota during a Period of Rapid Sea Ice Change in Terra Nova Bay, Ross Sea, Antarctica
Abstract
1. Introduction
2. Materials and Methods
2.1. The Sea Ice Environment
2.2. Sampling Procedure
2.3. Laboratory Procedures
3. Results
3.1. Meteorology and Oceanography
3.2. Phytoplankton Community
3.3. Zooplankton
3.3.1. Temporal Distribution
3.3.2. Copepod Naupliar Vertical Distribution
3.3.3. Copepod Naupliar Community Structure
4. Discussion
Supplementary Materials
Author Contributions
Funding
Institutional Review Board Statement
Data Availability Statement
Acknowledgments
Conflicts of Interest
References
- Eayrs, C.; Holland, D.; Francis, D.; Wagner, T.; Kumar, R.; Li, X. Understanding the Seasonal Cycle of Antarctic Sea Ice Extent in the Context of Longer-Term Variability. Rev. Geophys. 2019, 57, 1037–1064. [Google Scholar] [CrossRef]
- Parkinson, C.L. A 40-y record reveals gradual Antarctic sea ice increases followed by decreases at rates far exceeding the rates seen in the Arctic. Proc. Natl. Acad. Sci. USA 2019, 116, 14414–14423. [Google Scholar] [CrossRef] [PubMed]
- Arrigo, K.R.; Worthen, D.L.; Lizotte, M.P.; Dixon, P.; Dieckmann, G. Primary Production in Antarctic Sea Ice. Science 1997, 276, 394–397. [Google Scholar] [CrossRef]
- Lizotte, M.P. The contributions of sea ice algae to Antarctic marine primary production. Am. Zool. 2001, 41, 57–73. [Google Scholar] [CrossRef]
- Arrigo, K.R. Primary production in sea ice. In Sea Ice: An Introduction to Its Physics, Chemistry, Biology and Geology; Thomas, D.N., Dieckmann, G.S., Eds.; Blackwell Science: London, UK, 2003; pp. 143–183. [Google Scholar]
- Günther, S.; George, K.H.; Gleitz, M. High sympagic metazoan abundance in platelet layers at Drescher Inlet, Weddell Sea, Antarctica. Polar Biol. 1999, 22, 82–89. [Google Scholar] [CrossRef]
- McMINN, A.; Ashworth, C.; Ryan, K. Growth and Productivity of Antarctic Sea Ice Algae under PAR and UV Irradiances. Bot. Mar. 1999, 42, 401–407. [Google Scholar] [CrossRef]
- Guglielmo, L.; Carrada, G.C.; Catalano, G.; Dell’Anno, A.; Fabiano, M.; Lazzara, L.; Mangoni, O.; Pusceddu, A.; Saggiomo, V. Structural and functional properties of sympagic communities in the annual sea ice at Terra Nova Bay (Ross Sea, Antarctica). Polar Biol. 2000, 23, 137–146. [Google Scholar] [CrossRef]
- Thomas, D.; Kattner, G.; Engbrodt, R.; Giannelli, V.; Kennedy, H.; Haas, C.; Dieckmann, G.S. Dissolved organic matter in Antarctic sea ice. Ann. Glaciol. 2001, 33, 297–303. [Google Scholar] [CrossRef]
- Kurbjeweit, F.; Gradinger, R.; Weissenberger, J. The life cycle of Stephos longipes - an example for cryopelagic coupling in the Weddell Sea (Antarctica). Mar. Ecol. Prog. Ser. 1993, 98, 255–262. [Google Scholar] [CrossRef]
- Werner, I.; Auel, H.; Kiko, R. Occurrence of Anonyx sarsi (Amphipoda: Lysianassidae) below Arctic pack ice—an example for cryo-benthic coupling? Polar Biol. 2004, 27, 474–481. [Google Scholar] [CrossRef]
- Lovvorn, J.R.; Cooper, L.; Brooks, M.L.; De Ruyck, C.C.; Bump, J.K.; Grebmeier, J. Organic matter pathways to zooplankton and benthos under pack ice in late winter and open water in late summer in the north-central Bering Sea. Mar. Ecol. Prog. Ser. 2005, 291, 135–150. [Google Scholar] [CrossRef]
- Michels, J.; Dieckmann, G.S.; Thomas, D.; Schnack-Schiel, S.B.; Krell, A.; Assmy, P.; Kennedy, H.; Papadimitriou, S.; Cisewski, B. Short-term biogenic particle flux under late spring sea ice in the western Weddell Sea. Deep Sea Res. Part II Top. Stud. Oceanogr. 2008, 55, 1024–1039. [Google Scholar] [CrossRef]
- Fischer, G.; Fütterer, D.; Gersonde, R.; Honjo, S.; Ostermann, D.; Wefer, G. Seasonal variability of particle flux in the Weddell Sea and its relation to ice cover. Nature 1988, 335, 426–428. [Google Scholar] [CrossRef]
- Leventer, A.; Dunbar, R.B. Factors influencing the distribution of diatoms and other algae in the Ross Sea. J. Geophys. Res. Earth Surf. 1996, 101, 18489–18500. [Google Scholar] [CrossRef]
- Fabiano, M.; Pusceddu, A. Total and hydrolizable particulate organic matter (carbohydrates, proteins and lipids) at a coastal station in Terra Nova Bay (Ross Sea, Antarctica). Polar Biol. 1998, 19, 125–132. [Google Scholar] [CrossRef]
- Pusceddu, A.; Dell’Anno, A.; Fabiano, M. Organic matter composition in coastal sediments at Terra Nova Bay (Ross Sea) during summer 1995. Polar Biol. 2000, 23, 288–293. [Google Scholar] [CrossRef]
- Gordon, A.L.; Padman, L.; Bergamasco, A. Southern Ocean shelf slope exchange. Deep Sea Res. Part II Top. Stud. Oceanogr. 2009, 56, 775–777. [Google Scholar] [CrossRef]
- Orsi, A.H.; Wiederwohl, C.L. A recount of Ross Sea waters. Deep Sea Res. Part II Top. Stud. Oceanogr. 2009, 56, 778–795. [Google Scholar] [CrossRef]
- Dinniman, M.S.; Klinck, J.M.; Smith, W.O., Jr. Cross-shelf exchange in a model of the Ross Sea circulation and biogeochemistry. Deep-Sea Res. II 2003, 50, 3103–3120. [Google Scholar] [CrossRef]
- Bergamasco, A.; Defendi, V.; Budillon, G.; Spezie, G. Downslope flow observations near Cape Adare shelf-break. Antarct. Sci. 2004, 16, 199–204. [Google Scholar] [CrossRef][Green Version]
- Budillon, G.; Spezie, G. Thermoaline structure and variability in the Terra Nova Bay polynya, Ross Sea. Antarct. Sci. 2000, 12, 493–508. [Google Scholar] [CrossRef]
- Fusco, G.; Budillon, G.; Spezie, G. Surface heat fluxes and thermoaline variability in the Ross Sea and in Terra Nova Bay polynya. Cont. Shelf Res. 2009, 29, 1887–1895. [Google Scholar] [CrossRef]
- Hecq, J.H.; Brasseur, P.; Goffart, A.; Lacroix, G.; Guglielmo, L. Modelling approach of the planktonic vertical structure in deep Austral Ocean. The example of the Ross Sea ecosystem. In Progress in Belgian Oceanographic Research, Proceedings of the annual workshop on Belgian Oceanographic Research; Royal Academy of Belgium: Brussels, Belgium, 1993; pp. 235–250. [Google Scholar]
- Hecq, J.H.; Guglielmo, L.; Goffart, A.; Catalano, G.; Goosse, H. A modeling approach to the Ross Sea plankton ecosystem. In Ross Sea Ecology: Italiantartide Expeditions (1987-95); Faranda, F.M., Guglielmo, L., Ianora, A., Eds.; Springer: Berlin/Heidelberg, Germany, 2000; pp. 395–411. [Google Scholar]
- Smith, W.O., Jr.; Nelson, D.M. Phytoplankton bloom produced by a receding ice edge in the Ross Sea: Spatial coherence with the density field. Science 1985, 227, 163–166. [Google Scholar] [CrossRef] [PubMed]
- Nelson, D.M.; Smith, W.O. Phytoplankton bloom dynamics of the western Ross Sea ice edge—II. Mesoscale cycling of nitrogen and silicon. Deep Sea Res. Part A. Oceanogr. Res. Pap. 1986, 33, 1389–1412. [Google Scholar] [CrossRef]
- Smetacek, V.; Scharek, R.; Gordon, L.I.; Eicken, H.; Fahrbach, E.; Rohardt, G.; Moore, S. Early spring phytoplankton blooms in ice platelet layers of the southern Weddell Sea, Antarctica. Deep Sea Res. Part A. Oceanogr. Res. Pap. 1992, 39, 153–168. [Google Scholar] [CrossRef]
- Fabiano, M.; Povero, P.; Danovaro, R. Distribution and composition of particulate organic matter in the Ross Sea (Antarctica). Polar Biol. 1993, 13, 525–533. [Google Scholar] [CrossRef]
- Brierley, A.S.; Thomas, D.N. Ecology of Southern Ocean pack ice. Adv. Mar. Biol. 2002, 43, 171–276. [Google Scholar] [CrossRef] [PubMed]
- Pusceddu, A.; Dell’Anno, A.; Vezzulli, L.; Fabiano, M.; Saggiomo, V.; Cozzi, S.; Catalano, G.; Guglielmo, L. Microbial loop malfunctioning in the annual sea ice at Terra Nova Bay (Antarctica). Polar Biol. 2008, 32, 337–346. [Google Scholar] [CrossRef]
- Cau, A.; Ennas, C.; Moccia, D.; Mangoni, O.; Bolinesi, F.; Saggiomo, M.; Granata, A.; Guglielmo, L.; Swadling, K.M.; Pusceddu, A. Particulate organic matter release below melting sea ice (Terra Nova Bay, Ross Sea, Antarctica): Possible relationships with zooplankton. J. Mar. Syst. 2021, 217, 103510. [Google Scholar] [CrossRef]
- Garrison, D.L.; Sullivan, C.W.; Ackley, S.F. Sea Ice Microbial Communities in Antarctica. BioScience 1986, 36, 243–250. [Google Scholar] [CrossRef]
- Garrison, D.L. Antarctic Sea Ice Biota. Am. Zool. 1991, 31, 17–34. [Google Scholar] [CrossRef]
- Dieckmann, G.S.; Eicken, H.; Haas, C.; Garrison, D.L.; Gleitz, M.; Lange, M.; Nöthig, E.-M.; Spindler, M.; Sullivan, C.W.; Thomas, D.N.; et al. A compilation of data on sea ice algal standing crop from the Bellinghausen, Amundsen and Weddell Seas from 1983–1994. In Antarctic Sea Ice: Biological Processes, Interactions and Variability; Antarctic Research Series; Lizotte, M.P., Arrigo, K.R., Eds.; American Geophysical Union: Washington, DC, USA, 1998; pp. 85–92. [Google Scholar]
- Gleitz, M.; Bartsch, A.; Dieckmann, G.S.; Eicken, H.S. Composition and succession of sea ice diatom assemblages in the eastern and southern Weddell Sea, Antarctica. Antarct. Res. Ser. 1998, 107–120. [Google Scholar]
- Vacchi, M.; LA Mesa, M.; Dalu, M.; Macdonald, J. Early life stages in the life cycle of Antarctic silverfish, Pleuragramma antarcticum in Terra Nova Bay, Ross Sea. Antarct. Sci. 2004, 16, 299–305. [Google Scholar] [CrossRef]
- Granata, A.; Zagami, G.; Vacchi, M.; Guglielmo, L. Summer and spring trophic niche of larval and juvenile Pleuragramma antarcticum in the Western Ross Sea, Antarctica. Polar Biol. 2008, 32, 369–382. [Google Scholar] [CrossRef]
- Archer, S.; Leakey, R.; Burkill, P.; Sleigh, M. Microbial dynamics in coastal waters of East Antarctica:herbivory by heterotrophic dinoflagellates. Mar. Ecol. Prog. Ser. 1996, 139, 239–255. [Google Scholar] [CrossRef]
- Delille, D.; Rosiers, C. Seasonal changes of Antarctic marine bacterioplankton and sea ice bacterial assemblages. Polar Biol. 1996, 16, 27–34. [Google Scholar] [CrossRef]
- Spindler, M.; Dieckmann, G.S.; Lange, M.A. Seasonal and geographic variations in sea ice community structure of the Weddell Sea, Antarctica. In Antarctic Ecosystems, Ecological Change and Conservation; Kerry, K.R., Hempel, G., Eds.; Springer: Berlin/Heidelberg, Germany, 1990; pp. 129–135. [Google Scholar]
- Swadling, K.M.; Gibson, J.A.; Ritz, D.A.; Nichols, P.D. Horizontal patchiness in sympagic organisms of the Antarctic fast ice. Antarct. Sci. 1997, 9, 399–406. [Google Scholar] [CrossRef]
- Schnack-Schiel, S.B.; Thomas, D.N.; Dahms, H.-U.; Haas, C.; Mizdalski, E. Copepods in Antarctic sea ice. In Antarctic sea ice: Biological processes, interactions and variability. Antarct. Res. Ser. 1998, 73, 173–182. [Google Scholar]
- Gradinger, R. Integrated abundance and biomass of sympagic meiofauna in Arctic and Antarctic pack ice. Polar Biol. 1999, 22, 169–177. [Google Scholar] [CrossRef]
- Guglielmo, L.; Zagami, G.; Saggiomo, V.; Catalano, G.; Granata, A. Copepods in spring annual sea ice at Terra Nova Bay (Ross Sea, Antarctica). Polar Biol. 2006, 30, 747–758. [Google Scholar] [CrossRef]
- Swadling, K.M.; McPhee, A.D.; McMinn, A. Spatial distribution of copepods in fast ice of eastern Antarctica. Polar Biosci. 2000, 13, 55–65. [Google Scholar]
- Schnack-Schiel, S.B.; Dieckmann, G.S.; Gradinger, R.; Spindler, M.; Melnikov, I.A.; Thomas, D.N. Meiofauna in sea ice of the Weddell Sea (Antarctica). Polar Biol. 2002, 180–184. [Google Scholar]
- Schnack-Schiel, S.B.; Michels, J.; Mizdalski, E.; Schodlok, M.P.; Schröder, M. Composition and community structure of zooplankton in the sea ice-covered western Weddell Sea in spring 2004—with emphasis on calanoid copepods. Deep Sea Res. Part II Top. Stud. Oceanogr. 2008, 55, 1040–1055. [Google Scholar] [CrossRef]
- Schnack-Schiel, S.B.; Haas, C.; Michels, J.; Mizdalski, E.; Schünemann, H.; Steffens, M.; Thomas, D. Copepods in sea ice of the western Weddell Sea during austral spring 2004. Deep Sea Res. Part II Top. Stud. Oceanogr. 2008, 55, 1056–1067. [Google Scholar] [CrossRef]
- Kramer, M.; Swadling, K.M.; Meiners, K.M.; Kiko, R.; Scheltz, A.; Nicolaus, M.; Werner, I. Antarctic sympagic meiofauna in winter: Comparing diversity, abundance and biomass between perennially and seasonally ice-covered regions. Deep Sea Res. Part II Top. Stud. Oceanogr. 2011, 58, 1062–1074. [Google Scholar] [CrossRef]
- Tanimura, A.; Hoshiai, T.; Fukuchi, M. The life cycle strategy of the ice-associated copepod, Paralabidocera antarctica (Calanoida, Copepoda), at Syowa Station, Antarctica. Antarct. Sci. 1996, 8, 257–266. [Google Scholar] [CrossRef]
- Swadling, K.M. Population structure of two Antarctic ice associated copepods, Drescheriella glacialis and Paralabidocera antarctica, in winter sea ice. Mar. Biol. 2001, 139, 597–603. [Google Scholar]
- Schnack-Schiel, S.B.; Thomas, D.; Dieckmann, G.S.; Eicken, H.; Gradinger, R.; Spindler, M.; Weissenberger, J.; Mizdalski, E.; Beyer, K. Life cycle strategy of the Antarctic calanoid copepod Stephos longipes. Prog. Oceanogr. 1995, 36, 45–75. [Google Scholar] [CrossRef]
- Schnack-Schiel, S.B. The macrobiology of sea ice. In Sea Ice: An Introduction to Its Physics, Chemistry, Biology and Geology; Thomas, D.N., Dieckmann, G.S., Eds.; Blackwell Science: London, UK, 2003; pp. 211–239. [Google Scholar]
- Schnack-Schiel, S.B.; Thomas, D.N.; Haas, C.; Dieckmann, G.S.; Alheit, R. The occurrence of the copepods Stephos longipes (Calanoida) and Drescheriella glacialis (Harpacticoida) in summer sea ice in the Weddell Sea, Antarctica. Antarct. Sci. 2001, 13, 150–157. [Google Scholar] [CrossRef]
- Arndt, C.E.; Swadling, K.M. Crustacea in Arctic and Antarctic Sea Ice: Distribution, Diet and Life History Strategies. Adv. Mar. Biol. 2006, 51, 197–315. [Google Scholar]
- Saggiomo, V.; Carrada, G.C.; Mangoni, O.; Marino, D.; Ribera d’Alcalà, A.M. Physiological and ecological aspects of primary production in the Ross Sea. In Ross Sea Ecology: Italiantartide Expeditions (1987-95); Faranda, F.M., Guglielmo, L., Ianora, A., Eds.; Springer: Berlin/Heidelberg, Germany, 2000; pp. 247–258. [Google Scholar]
- Mangoni, O.; Modigh, M.; Conversano, F.; Carrada, G.C.; Saggiomo, V. Effects of summer ice coverage on phytoplankton assemblages in the Ross Sea, Antarctica. Deep-Sea Res. I 2004, 51, 1601–1617. [Google Scholar] [CrossRef]
- Wiebe, P.H.; Benfield, M.C. From the Hensen net toward four-dimensional biological oceanography. Prog. Oceanogr. 2003, 56, 7–136. [Google Scholar] [CrossRef]
- Guglielmo, L.; Arena, G.; Brugnano, C.; Guglielmo, R.; Granata, A.; Minutoli, R.; Sitran, R.; Zagami, G.; Bergamasco, A. MicroNESS: An innovative opening–closing multinet for under pack-ice zooplankton sampling. Polar Biol. 2015, 38, 2035–2046. [Google Scholar] [CrossRef]
- Dinniman, M.S.; Klinck, J.M.; Hofmann, E.E.; Smith, W.O., Jr. Effects of Projected Changes in Wind, Atmospheric Temperature, and Freshwater Inflow on the Ross Sea. J. Clim. 2018, 31, 1619–1635. [Google Scholar] [CrossRef]
- Lund, J.W.G.; Kipling, C.; Le Cren, E.D. The inverted microscope method of estimating algal numbers and the statistical basis of estimations by counting. Hydrobiologia 1958, 11, 143–170. [Google Scholar] [CrossRef]
- Utermohl, H. Zur Vervollkommnung der Quantitativen Phytoplankton-Methodik. SIL Commun. 1958, 9, 1–38. [Google Scholar] [CrossRef]
- Medlin, L.K.; Priddle, J. Polar Marine Diatoms; British Antarctic Survey: Cambridge, UK, 1990; pp. 1–214. [Google Scholar]
- Hasle, G.R.; Syvertsen, E.E. Marine diatoms. In Identifying Marine Phytoplankton; Tomas, C.R., Ed.; Academic Press: San Diego, CA, USA, 1997; pp. 5–385. [Google Scholar]
- Scott, F.J.; Thomas, D.P. Diatoms. In Antarctic Marine Protists; Scott, F.J., Marchant, H.J., Eds.; Australian Biological Resources Study: Canberra, Australia; Australian Antarctic Division: Hobart, Australia, 2005; pp. 13–201. [Google Scholar]
- Zingone, A.; Totti, C.; Sarno, D.; Cabrini, M.; Caroppo, C.; Giacobbe, M.G.; Lugliè, A.; Nuccio, C.; Socal, G. Fitoplancton: Metodiche di analisi quali-quantitativa. In Metodologie di Studio del Plancton Marino; Socal, G., Buttino, I., Cabrini, M., Mangoni, O., Penna, A., Totti, C., Eds.; Manuali E Linee Guida 56 ISPRA SIBM: Roma, Italy, 2010; pp. 204–228. [Google Scholar]
- Giesbrecht, W. Zoologie: Copepoden. In Expédition Antarctique Belge. Résultats du Voyage du S.Y. Belgica en 1897–1898–1899. Rapports Scientifiques (1901–1913); Gerlache de Gomery, A., Ed.; Imprimerie J.-E. Buschmann: Anvers, Belgium, 1902; pp. 1–49. [Google Scholar]
- Lang, K. Marine Harpacticiden von der Campbell-Insel und einigenanderen südlichen Inseln. Acta Univ. Lund. New Ser. 2 1934, 30, 1–56. [Google Scholar]
- Lang, K. Monographie der Harpacticiden. Hakan Ohlssons Boktryckeri, Lund, Almqvist & Wiksells Boktryckeri Ab, Uppsala. 1948, p. 1682. Available online: https://www.marinespecies.org/copepoda/aphia.php?p=sourcedetails&id=401 (accessed on 20 April 2022).
- Dahms, H.-U. Postembryonic development of Drescheriella glacialis Dahms & Dieckmann (Copepoda, Harpacticoida) reared in the laboratory. Polar Biol. 1987, 8, 81–93. [Google Scholar]
- Dahms, H.U.; Dieckmann, G.S. Drescheriella glacialis gen. nov., sp. nov. (Copepoda, Harpacticoida) from the Antarctic sea ice. Polar Biol. 1987, 7, 329–337. [Google Scholar] [CrossRef]
- Dahms, H.U.; Schminke, H.K. Sea ice inhabiting Harpacticoida (Crustacea, Copepoda) of the Weddell Sea (Antarctica). Biologie 1992, 62, 91–123. [Google Scholar]
- Costanzo, G.; Zagami, G.; Granata, A.; Crescenti, N. Naupliar Development of Stephos Longipes (Copepoda: Calanoida) from the Annual Sea Ice of Terra Nova Bay, Antarctica. J. Crustac. Biol. 2002, 22, 855–860. [Google Scholar] [CrossRef][Green Version]
- Huntley, M.; Escritor, F. Dynamics of Calanoides acutus (Copepoda: Calanoida) in Antarctic coastal waters. Deep Sea Res. Part A. Oceanogr. Res. Pap. 1991, 38, 1145–1167. [Google Scholar] [CrossRef]
- Legendre, P.; Legendre, L. Numerical Ecology; Elsevier: Amsterdam, The Netherlands, 1998; pp. 1–852. [Google Scholar]
- Oksanen, J.; Blanchet, F.G.; Kindt, R.; Legendre, P.; Minchin, P.R.; O’Hara, R.B.; Simpson, G.L.; Solymos, P.; Stevens, M.H.H.; Wagner, H. Vegan: Community Ecology Package, 2014, R Package Version 2.2-0. Available online: http://CRAN.Rproject.org/package=vegan (accessed on 20 April 2022).
- Krembs, C.; Gradinger, R.; Spindler, M. Implications of brine channel geometry and surface area for the interaction of sympagic organisms in Arctic sea ice. J. Exp. Mar. Biol. Ecol. 2000, 243, 55–80. [Google Scholar] [CrossRef]
- Gradinger, R.R. Adaptation of Arctic and Antarctic ice metazoa to their habitat. Zoology 2001, 104, 339–345. [Google Scholar] [CrossRef]
- Brugnano, C.; D’Adamo, R.; Fabbrocini, A.; Granata, A.; Zagami, G. Zooplankton responses to hydrological and trophic variability in a Mediterranean coastal ecosystem (Lesina Lagoon, South Adriatic Sea). Chem. Ecol. 2011, 27, 461–480. [Google Scholar] [CrossRef]
- Assmy, P.; Ehn, J.K.; Fernández-Méndez, M.; Hop, H.; Katlein, C.; Sundfjord, A.; Bluhm, K.; Daase, M.; Engel, A.; Fransson, A.; et al. Floating Ice-Algal Aggregates below Melting Arctic Sea Ice. PLoS ONE 2013, 8, e76599. [Google Scholar] [CrossRef] [PubMed]
- Riebesell, U.; Schloss, I.; Smetacek, V. Aggregation of algae released from melting sea ice: Implications for seeding and sedimentation. Polar Biol. 1991, 11, 239–248. [Google Scholar] [CrossRef]
- Michel, C.; Nielsen, T.; Nozais, C.; Gosselin, M. Significance of sedimentation and grazing by ice micro- and meiofauna for carbon cycling in annual sea ice (northern Baffin Bay). Aquat. Microb. Ecol. 2002, 30, 57–68. [Google Scholar] [CrossRef]
- Michel, C.; Legendre, L.; Taguchi, S. Coexistence of microalgal sedimentation and water column recycling in a seasonally ice-covered ecosystem (Saroma-ko Lagoon, Sea of Okhotsk, Japan). J. Mar. Res. 1997, 11, 133–148. [Google Scholar] [CrossRef]
- Mangoni, O.; Carrada, G.C.; Modigh, M.; Catalano, G.; Saggiomo, V. Photoacclimation in Antarctic bottom ice algae: An experimental approach. Polar Biol. 2008, 32, 325–335. [Google Scholar] [CrossRef]
- Saggiomo, M.; Poulin, M.; Mangoni, O.; Lazzara, L.; De Stefano, M.; Sarno, D.; Zingone, A. Spring-time dynamics of diatom communities in landfast and underlying platelet-ice in Terra Nova Bay, Ross Sea, Antarctica. J. Mar. Res. 2017, 166, 26–36. [Google Scholar] [CrossRef]
- Lazzara, L.; Nardello, I.; Ermanni, C.; Mangoni, O.; Saggiomo, V. Light environment and seasonal dynamics of microalgae in the annual sea ice at Terra Nova Bay, Ross Sea, Antarctica. Antarct. Sci. 2007, 19, 83–92. [Google Scholar] [CrossRef]
- Chao, A. Estimating the Population Size for Capture-Recapture Data with Unequal Catchability. Biometrics 1987, 43, 783. [Google Scholar] [CrossRef] [PubMed]
- Nuccio, C.; Innamorati, M.; Lazzara, L.; Mori, G.; Massi, L. Spatial and temporal distribution of phytoplankton assemblages in the Ross Sea. In Ross Sea Ecology: Italiantartide Expeditions (1987-95); Faranda, F.M., Guglielmo, L., Ianora, A., Eds.; Springer: Berlin/Heidelberg, Germany, 2000; pp. 231–245. [Google Scholar]
- Innamorati, M.; Mori, G.; Massi, L.; Lazzara, L.; Nuccio, C. Phytoplankton Biomass Related to Environmental Factors in the Ross Sea. In Ross Sea Ecology; Springer: Berlin/Heidelberg, Germany, 2000; pp. 217–230. [Google Scholar]
- Mangoni, O.; Saggiomo, M.; Modigh, M.; Catalano, G.; Zingone, A.; Saggiomo, V. The role of platelet ice microalgae in seeding phytoplankton blooms in Terra Nova Bay (Ross Sea, Antarctica): A mesocosm experiment. Polar Biol. 2008, 32, 311–323. [Google Scholar] [CrossRef]
- Michel, C.; Legendre, L.; Therriault, J.C.; Demers, S.; Vandevelde, T. Springtime coupling between ice algal and phytoplankton assemblages in southeastern Hudson Bay, Canadian arctic. Polar Biol. 1993, 13, 441–449. [Google Scholar] [CrossRef]
- Pusceddu, A.; Cattaneo-Vietti, R.; Albertelli, G.; Fabiano, M. Origin, biochemical composition and vertical flux of particulate organic matter under the pack ice in Terra Nova Bay (Ross Sea, Antarctica). Polar Biol. 1999, 22, 124–132. [Google Scholar] [CrossRef]
- Guglielmo, L.; Carrada, G.C.; Catalano, G.; Cozzi, S.; Dell’Anno, A.; Fabiano, M.; Granata, A.; Lazzara, L.; Lorenzelli, R.; Manganaro, A.; et al. Biogeochemistry and algal communities in the annual sea ice at Terra Nova Bay (Ross Sea, Antarctica). Chem. Ecol. 2004, 20, 43–55. [Google Scholar] [CrossRef]
- Dahms, H.U.; Bergmann, M.; Schminke, H.K. Distribution and adaptations of sea ice inhabiting Harpacticoida (Crustacea, Copepoda) of the Weddell Sea (Antarctica). Mar. Ecol. 1990, 11, 207–226. [Google Scholar] [CrossRef]
- Thomas, D.N.; Lara, R.J.; Haas, C.; Schnack-Schiel, S.B.; Dieckmann, G.S.; Kattner, G.; Nöthig, E.-M.; Mizdalski, E. Biological soup within decaying summer sea ice in the Amundsen Sea, Antarctica. In Antarctic Sea Ice: Biological Processes, Interactions and Variability; Antarctic Research Series; Lizotte, M.P., Arrigo, K.R., Eds.; American Geophysical Union: Washington, DC, USA, 1998; pp. 161–171. [Google Scholar]









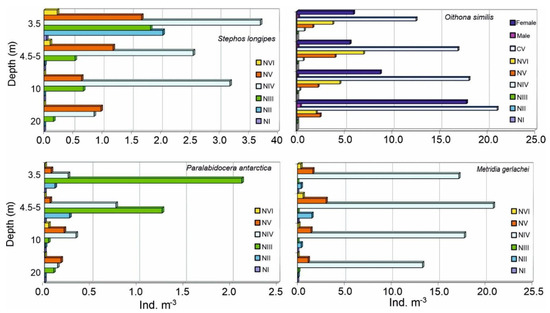
) of the most abundant copepod species throughout the sampling period: (a) Stephos longipes, (b) Paralabidocera antarctica, (c) Oithona similis, (d) Metridia gerlachei. Note that naupliar stages NI and NII were not found for the species O. similis, which presented conversely copepodites (only CV) and male/female adults.
) of the most abundant copepod species throughout the sampling period: (a) Stephos longipes, (b) Paralabidocera antarctica, (c) Oithona similis, (d) Metridia gerlachei. Note that naupliar stages NI and NII were not found for the species O. similis, which presented conversely copepodites (only CV) and male/female adults.
| Benthic | Planktonic | Size, μm | |
|---|---|---|---|
| Bacillariophyceae | |||
| Berkeleya adeliensis | X | 60 | |
| Chaetoceros spp. | X | 40 | |
| Cocconeis sp. | X | 21 | |
| Cylindrotheca closterium | X | 200 | |
| Dactyliosolen sp. | X | 40 | |
| Entomoneis kjellmanii | X | 115 | |
| Eucampia antarctica | X | 110 | |
| Fragilariopsis curta | X | 40 | |
| Fragilariopsis cylindrus | X | 35 | |
| Fragilariopsis obliquecostata | X | 100 | |
| Fragilariopsis sublinearis | X | 85 | |
| Fragilaropsis rhombica | X | 40 | |
| Melosira sp. | X | 30 | |
| Navicula jejunoides | X | 110 | |
| Navicula perminuta | X | 15 | |
| Navicula spp. | X | 85 | |
| Nitzschia lecointei | X | 100 | |
| Nitzschia spp. | X | 130 | |
| Nitzschia stellata | X | 120 | |
| Nitzschia taeniiformis | X | 140 | |
| Odontella weissflogii | X | 110 | |
| Pleurosigma sp. | X | 210 | |
| Pseudonitzschia turgiduloides | X | 115 | |
| Pseudogomphonema kamtschaticum | X | 65 | |
| Pseudonitzschia lineola | X | 200 | |
| Pseudonitzschia subcurvata | X | 100 | |
| Rhizosolenia spp. | X | 350 | |
| Thalassiosira spp. | X | 30 | |
| Trigonium sp. | X | 220 | |
| Prasinophyceae | |||
| Pyramimonas spp. | X | ||
| Prymnesiophyceae | |||
| Phaeocystis sp. | X | ||
| Other flagellates | |||
| Phytoflagellates < 10 µm | X |
Publisher’s Note: MDPI stays neutral with regard to jurisdictional claims in published maps and institutional affiliations. |
© 2022 by the authors. Licensee MDPI, Basel, Switzerland. This article is an open access article distributed under the terms and conditions of the Creative Commons Attribution (CC BY) license (https://creativecommons.org/licenses/by/4.0/).
Share and Cite
Granata, A.; Weldrick, C.K.; Bergamasco, A.; Saggiomo, M.; Grillo, M.; Bergamasco, A.; Swadling, K.M.; Guglielmo, L. Diversity in Zooplankton and Sympagic Biota during a Period of Rapid Sea Ice Change in Terra Nova Bay, Ross Sea, Antarctica. Diversity 2022, 14, 425. https://doi.org/10.3390/d14060425
Granata A, Weldrick CK, Bergamasco A, Saggiomo M, Grillo M, Bergamasco A, Swadling KM, Guglielmo L. Diversity in Zooplankton and Sympagic Biota during a Period of Rapid Sea Ice Change in Terra Nova Bay, Ross Sea, Antarctica. Diversity. 2022; 14(6):425. https://doi.org/10.3390/d14060425
Chicago/Turabian StyleGranata, Antonia, Christine K. Weldrick, Andrea Bergamasco, Maria Saggiomo, Marco Grillo, Alessandro Bergamasco, Kerrie M. Swadling, and Letterio Guglielmo. 2022. "Diversity in Zooplankton and Sympagic Biota during a Period of Rapid Sea Ice Change in Terra Nova Bay, Ross Sea, Antarctica" Diversity 14, no. 6: 425. https://doi.org/10.3390/d14060425
APA StyleGranata, A., Weldrick, C. K., Bergamasco, A., Saggiomo, M., Grillo, M., Bergamasco, A., Swadling, K. M., & Guglielmo, L. (2022). Diversity in Zooplankton and Sympagic Biota during a Period of Rapid Sea Ice Change in Terra Nova Bay, Ross Sea, Antarctica. Diversity, 14(6), 425. https://doi.org/10.3390/d14060425

