Next Article in Journal
2,2′-((5,5′,6,6′-Tetramethoxy-[1,1′-biphenyl]-3,3′-diyl)bis(methanylylidene))dimalononitrile
Previous Article in Journal
6-(7,8-Dimethyl-2,4-dioxo-3,4-dihydrobenzo[g]pteridin-10(2H)-yl)hexyl 5-((3aS,4S,6aR)-2-oxohexahydro-1H-thieno[3,4-d]imidazol-4-yl)pentanoate
 
 
Font Type:
Arial Georgia Verdana
Font Size:
Aa Aa Aa
Line Spacing:
Column Width:
Background:
Short Note

(3a,8b)-5-Acetyl-3a-fluoro-6,8-dihydroxy-7,8b-dimethyl-3,3a-dihydrofuro[3,2-b]benzofuran-2(8bH)-one

by
Aleksandr S. Filimonov
*,
Stepan P. Zernov
,
Olga A. Luzina
and
Nariman F. Salakhutdinov
Department of Medicinal Chemistry, N. N. Vorozhtsov Novosibirsk Institute of Organic Chemistry, Siberian Branch of the Russian Academy of Sciences, 9, Lavrentieva Ave., 630090 Novosibirsk, Russia
*
Author to whom correspondence should be addressed.
Molbank 2025, 2025(2), M1995; https://doi.org/10.3390/M1995
Submission received: 4 April 2025 / Revised: 21 April 2025 / Accepted: 22 April 2025 / Published: 24 April 2025
(This article belongs to the Section Organic Synthesis and Biosynthesis)

Abstract

Usnetic acid is a dibenzofuran-2-ylacetic acid that can be obtained by alkaline degradation of a secondary lichen metabolite—usnic acid. In the present paper, the product of the reaction of usnetic acid with a mild fluorinating agent, Selectfluor®, was obtained. The structure of the product was proved by a set of physical methods, including 1H, 13C, 19F NMR, HMBC, HSQC, HRMS and IR spectroscopy.

1. Introduction

Usnic acid 1 is a major secondary metabolite of lichens of the genera Usnea, Cladonia, Evernia and others. It has a wide range of biological activities, including antibacterial, antiviral, anticancer, anti-inflammatory and analgesic [1,2]. It is known that the synthesis of derivatives of usnic acid leads to compounds with more pronounced activity against serious diseases such as tuberculosis, influenza and malaria [2].
Usnetic acid 2 is a derivative of usnic acid 1 (Scheme 1). The structure of usnetic acid includes a dibenzofuran-2-ylacetic acid backbone, which contains a phloroglucinol moiety. In general, the methods of usnetic acid 2 synthesis consist of the sequential degradation of the usnic acid backbone, the key step of which is the treatment of usnic acid 1 or its degradation products with concentrated solutions of potassium hydroxide (20–75%) [3,4,5,6,7].
Despite the variety of functional groups, the chemistry of usnetic acid 2 is poorly explored and is limited to the works of the early 20th century, in which the reactions of decarboxylation, alkaline degradation, methylation and acylation were studied [3,5]. At the same time, these transformations were used exclusively to prove and confirm the structure of usnic acid 1 and its degradation products, including usnetic acid 2.
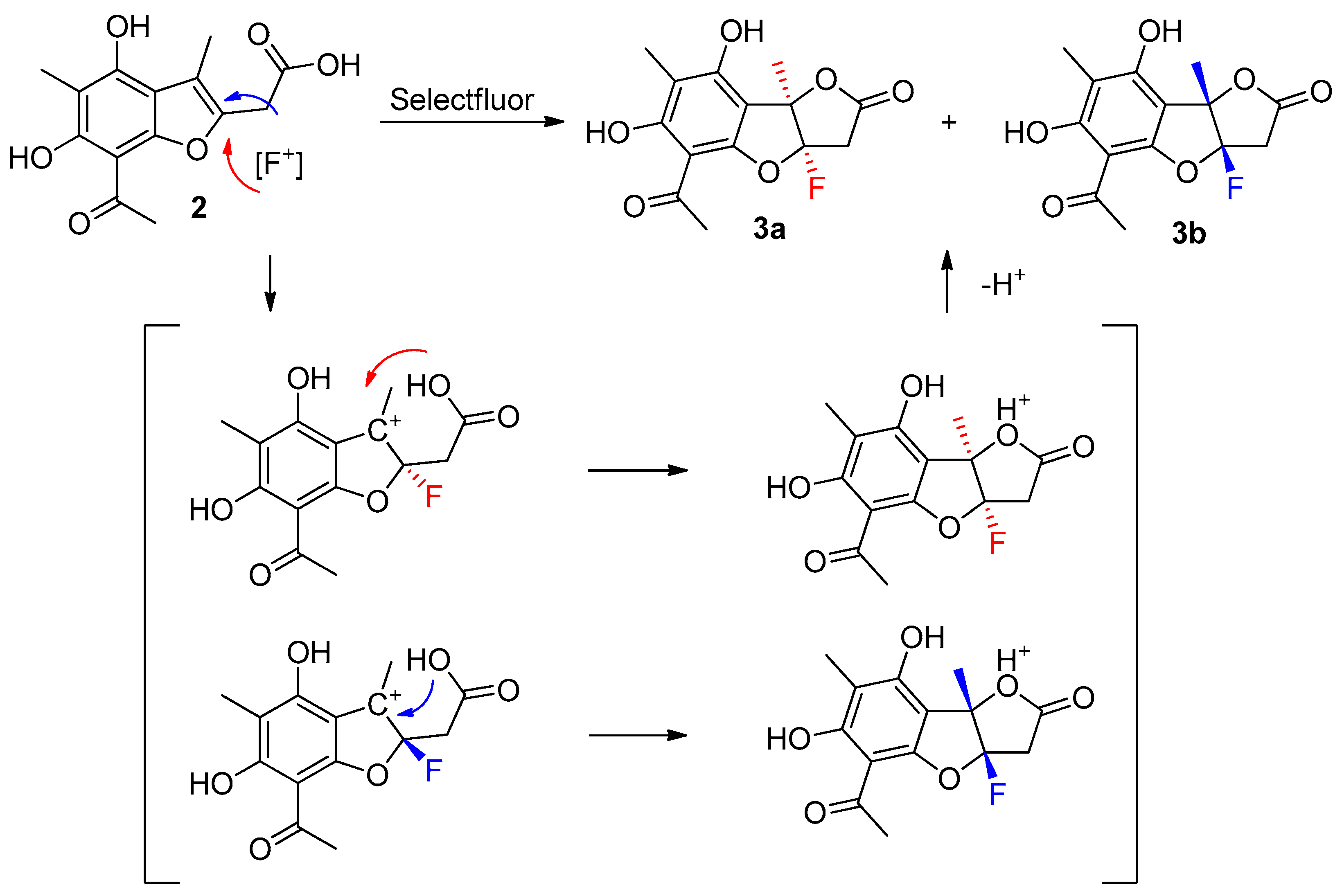
Selectfluor® is a fluorinating reagent (Scheme 2). Fluorination with its use can take place via both radical and electrophilic mechanisms. Selectfluor® is known to react with compounds containing double bonds, including benzofurans [8,9]. In this case, the reaction proceeds with the participation of the double bond of the furan cycle. As a result, a fluorine “cation” and a nucleophile in the reaction mixture, such as methanol, are added to this bond.
In the present work, a new usnetic acid derivative has been obtained by the reaction of usnetic acid 2 with Selectfluor®.

2. Results and Discussion

Usnetic acid 2 was obtained as described in [6] (Scheme 1). Briefly, (+)-usnic acid 1 was dissolved in an aqueous solution of 75% potassium hydroxide, and the mixture was then stirred at 90 °C for one hour. The compound obtained was purified by column chromatography. Usnetic acid 2 was then reacted with two equivalents of Selectfluor® in an acetonitrile–water mixture (6:1) (Scheme 3). The reaction was carried out for 24 h at room temperature. Product 3 was purified by column chromatography.
The structure of compound 3 was proposed on the basis of NMR (1H, 13C and 19F) spectroscopy and HRMS data (Figure 1 and sup. mat.). A single set of signals was observed in the 1H NMR spectrum, indicating the presence of a single compound. Change in the signal of the methylene group was observed: it appeared as an AB spin system in which one of the hydrogen atoms interacted with the fluorine atom JH-F = 11.5 Hz. This may be due to conformational difficulties that arose because of the inclusion of a methylene group in the new lactone cycle structure. A change in the chemical shifts of the methyl groups from 2.04, 2.24 and 2.65 ppm to 1.98, 1.89 and 2.58 ppm, respectively, is also observed. One of these, at 1.89 ppm, appears to be a doublet with JH-F = 3.2 Hz, which corresponds to the methyl group in the 3-position of benzofuran. The 19F NMR spectrum shows one signal at −117.2 ppm as a doublet of doublets (JF-H = 3.2 and 11.5 Hz). In 13C NMR, the absence of signals of furan carbon atoms (112 and 145 ppm) is observed, which shift to 91 and 123 ppm, respectively. The methylene carbon atom shifted from 32 ppm to 37 ppm. The methyl group of the furan cycle moved from 9 md to 18 md, with an 8 Hz doublet. The carbon atom of the methyl substituent of the furan cycle moved to 18 ppm from 9 ppm.
In the IR spectrum, the absence of signal 3600 compound 3, which refers to the O-H bond of the carboxyl group, is observed. A shift in the valence vibrations of the C=O carboxyl signal from 1700 to 1770 is also observed, which is characteristic of ester formation. The signal of the C-F bond cannot be determined due to the complexity of the spectrum.
We suppose that the fluorine atom and the methyl group are on the same side of the furanone cycle of derivative 3. The first stage of the transformation is probably the addition of fluorine to the double bond of the furanone cycle, which leads to the formation of the benzyl cation (Scheme 4). In this case, the attack of the oxygen atom of the carboxyl group can be realized only from the same side of the cycle on which it is located. Thus, the compound 3 obtained by us is a mixture of enantiomers 3a and 3b.
A similar situation was observed in [10]. During the palladium-catalyzed reaction of benzofuran-2-ylacetic acid or homolog compounds with phenylboronic acid, lactonization was observed (Scheme 5). The authors of this work also proposed a mechanism with the formation of a similar carbocation, which is then attacked by the oxygen atom of the carboxyl group to form a racemic mixture. The furan cycle substituent (hydrogen atom) and the new aryl substituent are on the same side of the furan cycle. In some examples, the structures of the obtained compounds were confirmed by X-ray structural analysis. Crystallography is a future perspective to confirm our proposed enantiomer structure of compound 3.

3. Materials and Methods

The analytical and spectral studies were conducted at the Chemical Service Center for the collective use of the Siberian Branch of the Russian Academy of Science.
The 1H, 13C and 19F-NMR spectra for solutions of the compound in DMSO-d6 were recorded on a Bruker AV-400 spectrometer (Bruker Corporation, Karlsruhe, Germany; operating frequencies 400.13 MHz for 1H, 100.61 MHz for 13C, 282.40 MHz for 19F). Hexafluorobenzene C6F6F −162.9 ppm) and residual DMSO-d5H 2.50, δC 39.52) served as internal standards. The mass spectra (ionizing electron energy 70 eV) were recorded on a Thermo Electron Corporation DFS (Thermo Electron, Karlsruhe, Germany) instrument. The IR spectra were measured on a Bruker Vector 22 IR (Bruker Corporation, Billerica, MA, USA) spectrophotometer. Melting points were determined on an Electrothermal IA 9100 (Electrothermal, Chelmsford, UK) apparatus (1 °C/min). Thin-layer chromatography was performed on TLC silica gel 60F254 (Merck KGaA, Darmstadt, Germany). (+)-Usnic acid was obtained from Zhejiang Yixin Pharmaceutical Co., Ltd., (Lanxi, China). All chemicals were used as described unless otherwise noted.

3.1. Usnetic Acid Preparation

The synthesis of usnetic acid 2 was performed by reaction of usnic acid 1 with aqueous solution of potassium hydroxide 75%, as described in [4].
2-(7-acetyl-4,6-dihydroxy-3,5-dimethylbenzofuran-2-yl)acetic acid (1).
Light-brown powder. Yield 36%. 1H NMR (DMSO-d6, δ): 2.04 (3H, s, CH3-5), 2.24 (3H, s, CH3-3), 2.65 (3H, s, CH3-acetyl), 3.73 (2H, s, CH2), 10.03 (1H, bs, OH-4), 13.77 (1H, s, OH-6). 13C NMR (DMSO-d6, δ): 8.07 (CH3-5), 9.53 (CH3-3), 30.47 (CH3-acetyl), 31.88 (CH2), 100.76 (C-7), 104.94 (C-5), 111.38 (C-3a), 112.14 (C-3), 144.48 (C-2), 152.67 (C-7a), 156.96 (C-4), 161.65 (C-6), 170.60 (COOH), 200.06 (C=O-acetyl). HRMS: m/z 278.0784 [M]+ (calcd. for (C14H14O6)+: 278.0785). IR (cm−1): 3558, 3367, 3232, 2960, 2931, 2726, 2595, 1706, 1619, 1494, 1400, 1375, 1344, 278, 1218, 1143, 1122, 1097, 1076, 1012, 887, 815, 752, 599, 484.

3.2. Usnetic Acid Fluorination

Usnetic acid 1 (200 mg, 0.72 mmol) was dissolved in 14 mL CH3CN:H2O mixture (6:10). To the resulting solution, Selectfluor® (520 mg, 1.55 mmol) was added. The mixture was stirred at room temperature for 24 h. After that, 100 mL of distilled water was added, and the resulting mixture was extracted with EtOAc (15 mL, 3 times), dried with sodium sulfate, and then evaporated. The solid was chromatographed over silica gel (60–200 mesh) using CHCl3 eluent.
(3aR,8bS)-5-acetyl-3a-fluoro-6,8-dihydroxy-7,8b-dimethyl-3,3a-dihydrofuro[3,2-b]benzofuran-2(8bH)-one and (3aS,8bR)-5-acetyl-3a-fluoro-6,8-dihydroxy-7,8b-dimethyl-3,3a-dihydrofuro[3,2-b]benzofuran-2(8bH)-one (3)
Light gray powder. Yield 80%. M.p. 239 °C with decomposition. 1H NMR (DMSO-d6, δ): 1.90 (3H, d, JH-F = 3.2 Hz, CH3-8b), 1.98 (3H, s, CH3-7), 2.58 (3H, s, CH3-acetyl), 3.55 (1H, d, JH-H = 18.5 Hz, CH2), 3.88 (1H, dd, JH-H = 18.5 Hz, JH-F = 11.5 Hz, CH2), 10.59 (1H, bs, OH-8), 13.68 (1H, s, OH-6). 13C NMR (DMSO-d6, δ): 7.86 (CH3-7), 17.55 (d, JC-F = 7.6 Hz, CH3-8b), 31.05 (CH3-acetyl), 36.59 (d, JC-F = 29.8 Hz, CH2), 90.71 (d, JC-F = 7.6 Hz, C-8b), 100.44 (C-5), 103.75 (C-8a), 105.91 (C-7), 123.00 (d, JC-F = 246.7 Hz, C-3a), 158.93 (d, JC-F = 1.7 Hz, C-4), 159.70 (C-8), 164.26 (C-6), 169.91 (d, JC-F = 14.5 Hz, -COOR), 201.31 (C=O-acetyl). HRMS: m/z 296.0689 [M]+ (calcd. for (C14H13O6F1)+: 296.0691). IR (cm−1): 3600-3000, 3006, 2948, 1783, 1764, 1625, 1498, 1429, 1400, 1371, 1344, 1299, 1263, 1249, 1197, 1160, 1147, 1126, 1106, 1043, 79, 958, 943, 914, 889, 873, 856, 829, 782, 732, 711, 688, 634, 615, 584, 489.

4. Conclusions

In this work, it was shown that the reaction of usnetic acid with Selectfluor®, besides the addition of a fluorine “cation”, leads to the formation of a new tricycle compound containing a lactonic cycle. This approach may allow us to carry out reactions with other electrophiles to obtain similar lactones. The obtained derivative 3, due to its similarity to usnic acid, can be considered as a substance with potentially high bioactivity, which is the subject of further study.

Supplementary Materials

The following supporting information are available online. Figures S1–S5: NMR spectra of compound 1. Figure S6: IR spectrum of compound 1. Figure S7: Mass spectrum of compound 1. Figures S8–S13: NMR spectra of compound 3. Figure S14: IR spectrum of compound 3. Figure S15: Mass spectrum of compound 3.

Author Contributions

Conceptualization, data curation, synthetic investigation, and writing—original draft and review and editing, A.S.F., O.A.L. and S.P.Z.; supervision, N.F.S. All authors have read and agreed to the published version of the manuscript.

Funding

This work was funded by a grant from the Ministry of Science and Higher Education of the Russian Federation (agreement no. 075-00365-25-00).

Data Availability Statement

The data are contained within the article or Supplementary Materials.

Acknowledgments

The authors would like to acknowledge the Multi-Access Chemical Research Center SB RAS for their assistance with the spectral and analytical measurements.

Conflicts of Interest

The authors declare no conflicts of interest.

References

  1. Ingólfsdóttir, K. Usnic acid. Phytochemistry 2002, 61, 729–736. [Google Scholar] [CrossRef] [PubMed]
  2. Luzina, O.A.; Salakhutdinov, N.F. Usnic acid and its derivatives for pharmaceutical use: A patent review (2000–2017). Expert Opin. Ther. Pat. 2018, 28, 477–491. [Google Scholar] [CrossRef] [PubMed]
  3. Curd, F.K.; Robertson, A. Usnic acid. Part III. Usnetol, usnetic acid, and pyrousnic acid. J. Chem. Soc. 1933, 1173–1179. [Google Scholar] [CrossRef]
  4. Shibata, S.; Hiizumi, Y.; Takahashi, K. Decomposition of Usnic Acid. III On the Structure of Ethyl Acetusnetate. Yakugaku Zasshi 1952, 72, 825–829. [Google Scholar] [CrossRef]
  5. Yanagatina, M. The Constitution of Usnic Acid. II. Yakugaku Zasshi 1952, 72, 775–780. [Google Scholar] [CrossRef][Green Version]
  6. Kutney, J.P.; Leman, J.D.; Salisbury, P.J.; Sanchez, I.H.; Yee, T.; Bandoni, R.J. Studies in the usnic acid series. VII. The biodegradation of (+)-usnic acid by a Pseudomonas species. Isolation, structure determination, and synthesis of (+)-6-desacetylusnic acid. Can. J. Chem. 1977, 55, 2336–2352. [Google Scholar] [CrossRef]
  7. Kutney, J.P.; Leman, J.D.; Salisbury, P.J.; Yee, T.; Sanchez, I.H. Studies in the usnic acid series. IX. The biodegradation of (+)-usnic acid by Mucorglobosus. Can. J. Chem. 1984, 62, 320–325. [Google Scholar] [CrossRef]
  8. Nyffeler, P.T.; Duron, S.G.; Burkart, M.D.; Vincent, S.P.; Wong, C.H. Selectfluor: Mechanistic Insight and Applications. Angew. Chem. Int. Ed. 2004, 44, 192–212. [Google Scholar] [CrossRef] [PubMed]
  9. Wang, M.; Liu, X.; Zhou, L.; Zhu, J.; Sun, X. Fluorination of 2-substituted benzo[b]furans with Selectfluor™. Org. Biomol. Chem. 2015, 13, 3190–3193. [Google Scholar] [CrossRef] [PubMed]
  10. Ramella, V.; He, Z.; Daniliuc, C.G.; Studer, A. Palladium-Catalyzed Dearomatizing Difunctionalization of Indoles and Benzofurans. Eur. J. Org. Chem. 2016, 13, 2268–2273. [Google Scholar] [CrossRef]
Scheme 1. Usnetic acid synthesis [6].
Scheme 1. Usnetic acid synthesis [6].
Molbank 2025 m1995 sch001
Scheme 2. Selectfluor® reaction with benzofuran [9].
Scheme 2. Selectfluor® reaction with benzofuran [9].
Molbank 2025 m1995 sch002
Scheme 3. Fluorination of usnetic acid with Selectfluor®.
Scheme 3. Fluorination of usnetic acid with Selectfluor®.
Molbank 2025 m1995 sch003
Figure 1. HMBC and HSQC data for compounds 2 and 3.
Figure 1. HMBC and HSQC data for compounds 2 and 3.
Molbank 2025 m1995 g001
Scheme 4. Proposed mechanism of fluorination.
Scheme 4. Proposed mechanism of fluorination.
Molbank 2025 m1995 sch004
Scheme 5. The reaction of benzofuran-2-ylacetic acid with phenylboronic acid [10].
Scheme 5. The reaction of benzofuran-2-ylacetic acid with phenylboronic acid [10].
Molbank 2025 m1995 sch005
Disclaimer/Publisher’s Note: The statements, opinions and data contained in all publications are solely those of the individual author(s) and contributor(s) and not of MDPI and/or the editor(s). MDPI and/or the editor(s) disclaim responsibility for any injury to people or property resulting from any ideas, methods, instructions or products referred to in the content.

Share and Cite

MDPI and ACS Style

Filimonov, A.S.; Zernov, S.P.; Luzina, O.A.; Salakhutdinov, N.F. (3a,8b)-5-Acetyl-3a-fluoro-6,8-dihydroxy-7,8b-dimethyl-3,3a-dihydrofuro[3,2-b]benzofuran-2(8bH)-one. Molbank 2025, 2025, M1995. https://doi.org/10.3390/M1995

AMA Style

Filimonov AS, Zernov SP, Luzina OA, Salakhutdinov NF. (3a,8b)-5-Acetyl-3a-fluoro-6,8-dihydroxy-7,8b-dimethyl-3,3a-dihydrofuro[3,2-b]benzofuran-2(8bH)-one. Molbank. 2025; 2025(2):M1995. https://doi.org/10.3390/M1995

Chicago/Turabian Style

Filimonov, Aleksandr S., Stepan P. Zernov, Olga A. Luzina, and Nariman F. Salakhutdinov. 2025. "(3a,8b)-5-Acetyl-3a-fluoro-6,8-dihydroxy-7,8b-dimethyl-3,3a-dihydrofuro[3,2-b]benzofuran-2(8bH)-one" Molbank 2025, no. 2: M1995. https://doi.org/10.3390/M1995

APA Style

Filimonov, A. S., Zernov, S. P., Luzina, O. A., & Salakhutdinov, N. F. (2025). (3a,8b)-5-Acetyl-3a-fluoro-6,8-dihydroxy-7,8b-dimethyl-3,3a-dihydrofuro[3,2-b]benzofuran-2(8bH)-one. Molbank, 2025(2), M1995. https://doi.org/10.3390/M1995

Note that from the first issue of 2016, this journal uses article numbers instead of page numbers. See further details here.

Article Metrics

Back to TopTop