6-(7,8-Dimethyl-2,4-dioxo-3,4-dihydrobenzo[g]pteridin-10(2H)-yl)hexyl 5-((3aS,4S,6aR)-2-oxohexahydro-1H-thieno[3,4-d]imidazol-4-yl)pentanoate
Abstract
1. Introduction
2. Results
3. Materials and Methods
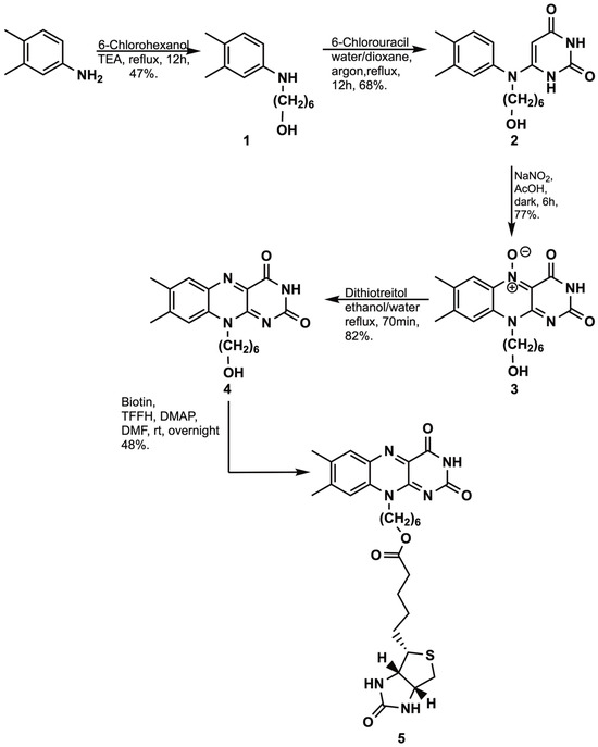
3.1. Chemistry
3.1.1. Synthesis of N-(6′-Hydroxyhexyl)-3,4-dimethylaniline (1)
3.1.2. Synthesis of 6-[N-(6′-Hydroxyhexyl)-3,4-xylidino]uracil (2)
3.1.3. Synthesis of Isoalloxazine 5-Oxide (3)
3.1.4. Synthesis of N-(6′-Hydroxyhexyl)isoalloxazine (4)
3.1.5. Synthesis of 6-(7,8-Dimethyl-2,4-dioxo-3,4-dihydrobenzo[g]pteridin-10(2H)-yl)hexyl 5-((3aS,4S,6aR)-2-oxohexahydro-1H-thieno[3,4-d]imidazol-4-yl)pentanoate (5)
4. Conclusions
Supplementary Materials
Author Contributions
Funding
Data Availability Statement
Acknowledgments
Conflicts of Interest
Abbreviations
| Rf | Riboflavin |
| MS | Mass Spectrometry |
| RBP | Riboflavin-Binding Protein |
| DMSO | Dimethyl Sulfoxide |
| TFFH | Tetramethylfluoroformamidinium Hexafluorophosphate |
| DMF | Dimethyl Formamide |
| DMAP | 4-Dimethylaminopyridine |
References
- Hrubša, M.; Siatka, T.; Nejmanová, I.; Vopršalová, M.; Krčmová, L.M.; Matoušová, K.; Javorská, L.; Macáková, K.; Mercolini, L.; Remião, F.; et al. Biological Properties of Vitamins of the B-Complex, Part 1: Vitamins B1, B2, B3, and B5. Nutrients 2022, 14, 484. [Google Scholar] [CrossRef] [PubMed]
- Suwannasom, N.; Kao, I.; Pruß, A.; Georgieva, R.; Bäumler, H. Riboflavin: The Health Benefits of a Forgotten Natural Vitamin. Int. J. Mol. Sci. 2020, 21, 950. [Google Scholar] [CrossRef] [PubMed]
- Mosegaard, S.; Dipace, G.; Bross, P.; Carlsen, J.; Gregersen, N.; Olsen, R.K.J. Riboflavin Deficiency-Implications for General Human Health and Inborn Errors of Metabolism. Int. J. Mol. Sci. 2020, 21, 3847. [Google Scholar] [CrossRef] [PubMed]
- Henriques, B.J.; Gomes, C.M. Chapter 12—Riboflavin (vitamin B2) and mitochondrial energy. In Molecular Nutrition; Patel, V.B., Ed.; Academic Press: Cambridge, MA, USA, 2020; pp. 225–244. [Google Scholar]
- McAuley, E.; McNulty, H.; Hughes, C.; Strain, J.J.; Ward, M. Riboflavin status, MTHFR genotype and blood pressure: Current evidence and implications for personalized nutrition. Proc. Nutr. Soc. 2016, 75, 405–414. [Google Scholar] [CrossRef]
- Turck, D.; Bresson, J.-L.; Burlingame, B.; Dean, T.; Fairweather-Tait, S.; Henonen, M.; Hirsch, E.K.I.; Magelsdorf, I.; McArdle, H.J.; Naska, A.; et al. EFSA NDA Panel (EFSA Panel on Dietetic Products, Nutrition and Allergies 2017. Scientific Opinion on Dietary Reference Values for riboflavin. EFSA J. 2017, 15, 4919–4984. [Google Scholar] [CrossRef]
- Balasubramaniam, S.; Christodoulou, J.; Rahman, S. Disorders of riboflavin metabolism. J. Inherit. Metab. Dis. 2019, 42, 608–619. [Google Scholar] [CrossRef]
- Jaroensuk, J.; Chuaboon, L.; Kesornpun, C.; Chaiyen, P. Enzymes in riboflavin biosynthesis: Potential antibiotic drug targets. Arch. Biochem. Biophys. 2023, 748, 109762. [Google Scholar] [CrossRef]
- Liang, Y.; Wang, X.; Chen, Y.; Zeng, X.; Liu, J.; Zhao, Z.; Yang, H.; Zhang, Q.; Li, J.; Guo, Z.; et al. Development and Evaluation of [68Ga]Ga-Labeled Riboflavin Derivative for RFVT3-Targeted PET Imaging of Melanoma in Mice. Mol. Pharm. 2024, 21, 4960–4969. [Google Scholar] [CrossRef]
- Nisco, A.; Tolomeo, M.; Scalise, M.; Zanier, K.; Barile, M. Exploring the impact of flavin homeostasis on cancer cell metabolism. Biochim. Biophys. Acta Rev. Cancer 2024, 1879, 189149. [Google Scholar] [CrossRef]
- Tutino, V.; Defrancesco, M.L.; Tolomeo, M.; De Nunzio, V.; Lorusso, D.; Paleni, D.; Caruso, M.G.; Notarnicola, M.; Barile, M. The Expression of Riboflavin Transporters in Human Colorectal Cancer. Anticancer Res. 2018, 38, 2659–2667. [Google Scholar] [CrossRef]
- Parkington, D.A.; Koulman, A.; Jones, K.S. Protocol for measuring erythrocyte glutathione reductase activity coefficient to assess riboflavin status. STAR Protoc. 2023, 4, 102726. [Google Scholar] [CrossRef] [PubMed]
- Bosch, A.M.; van Dijk, M.; Goorden, S.M.I. Riboflavin (B2) and FAD/FMN Metabolites. In Laboratory Guide to the Methods in Biochemical Genetics; Blau, N., Vaz, F.M., Eds.; Springer: Berlin/Heidelberg, Germany, 2024. [Google Scholar]
- Zhou, T.; Li, H.; Shang, M.; Sun, D.; Liu, C.; Che, G. Recent analytical methodologies and analytical trends for riboflavin (vitamin B2) analysis in food, biological and pharmaceutical samples. Trends Anal. Chem. 2021, 143, 116412. [Google Scholar] [CrossRef]
- Kaede Sasaki, K.; Hideo Hatate, H.; Ryusuke Tanaka, R. Determination of 13 Vitamin B and the related compounds using HPLC with UV detection and application to food supplements. Chromatographia 2020, 83, 839–851. [Google Scholar] [CrossRef]
- Akca, S.A.; Sargun, H.S.; Mizrak, O.F.; Yaman, M. Determination and assessment of the bioaccessibility of vitamins B1, B2, and B3 in commercially available baby foods. Microchem. J. 2019, 150, 104192. [Google Scholar] [CrossRef]
- Cellar, N.A.; McClure, S.C.; Salvati, L.M.; Reddy, T.M. A new sample preparation and separation combination for precise, accurate, rapid, and simultaneous determination of vitamins B1, B2, B3, B5, B6, B7, and B9 in infant formula and related nutritionals by LC-MS/MS. Anal. Chim. Acta 2016, 9334, 180–185. [Google Scholar] [CrossRef]
- McClure, S. Simultaneous Determination of Total Vitamins B1, B2, B3, and B6 in Infant Formula and Related Nutritionals by Enzymatic Digestion and LC-MS/MS-A Multi-Laboratory Testing Study Final Action: AOAC Method 2015.14. J. AOAC Int. 2020, 103, 1060–1072. [Google Scholar] [CrossRef]
- Hu, Y.; Wu, H.L.; Yin, X.L.; Gu, H.W.; Xiao, R.; Xie, L.X.; Liu, Z.; Fang, H.; Wang, L.; Yu, R.Q. Rapid and interference-free analysis of nine B-group vitamins in energy drinks using trilinear component modeling of liquid chromatography-mass spectrometry data. Talanta 2018, 180, 108–119. [Google Scholar] [CrossRef]
- Xiao, X.; Hu, S.; Lai, X.; Peng, J.; Lai, W. Developmental trend of immunoassays for monitoring hazards in food samples: A review. Trends Food Sci. Technol. 2021, 111, 68–88. [Google Scholar] [CrossRef]
- Yang, H.; Xu, W.; Liang, X.; Yang, Y.; Zhou, Y. Carbon nanotubes in electrochemical, colorimetric, and fluorometric immunosensors and immunoassays: A review. Microchim. Acta 2020, 187, 206. [Google Scholar] [CrossRef]
- Frier, C.; Dècout, J.L. Nucleotides and Flavin Method for Preparing New Flavin Derivatives: Synthesis of Flavin-Thymine -Oligonucleotide Adducts. J. Org. Chem 1997, 62, 3520–3528. [Google Scholar] [CrossRef]
- Pittelkow, M.; Kamounah, F.S.; Boas, U.; Pederson, B.; Christensen, J.B. TFFH as an Excellent Reagent for Acylation of Alcohols, Thiols and Dithiocarbamates. Synthesis 2004, 15, 2485–2492. [Google Scholar] [CrossRef]

Disclaimer/Publisher’s Note: The statements, opinions and data contained in all publications are solely those of the individual author(s) and contributor(s) and not of MDPI and/or the editor(s). MDPI and/or the editor(s) disclaim responsibility for any injury to people or property resulting from any ideas, methods, instructions or products referred to in the content. |
© 2025 by the authors. Licensee MDPI, Basel, Switzerland. This article is an open access article distributed under the terms and conditions of the Creative Commons Attribution (CC BY) license (https://creativecommons.org/licenses/by/4.0/).
Share and Cite
Marincean, S.; Nichols, D.; Schulz, R.; Branscum, T.; Benore, M. 6-(7,8-Dimethyl-2,4-dioxo-3,4-dihydrobenzo[g]pteridin-10(2H)-yl)hexyl 5-((3aS,4S,6aR)-2-oxohexahydro-1H-thieno[3,4-d]imidazol-4-yl)pentanoate. Molbank 2025, 2025, M1994. https://doi.org/10.3390/M1994
Marincean S, Nichols D, Schulz R, Branscum T, Benore M. 6-(7,8-Dimethyl-2,4-dioxo-3,4-dihydrobenzo[g]pteridin-10(2H)-yl)hexyl 5-((3aS,4S,6aR)-2-oxohexahydro-1H-thieno[3,4-d]imidazol-4-yl)pentanoate. Molbank. 2025; 2025(2):M1994. https://doi.org/10.3390/M1994
Chicago/Turabian StyleMarincean, Simona, Diana Nichols, Rachael Schulz, Travis Branscum, and Marilee Benore. 2025. "6-(7,8-Dimethyl-2,4-dioxo-3,4-dihydrobenzo[g]pteridin-10(2H)-yl)hexyl 5-((3aS,4S,6aR)-2-oxohexahydro-1H-thieno[3,4-d]imidazol-4-yl)pentanoate" Molbank 2025, no. 2: M1994. https://doi.org/10.3390/M1994
APA StyleMarincean, S., Nichols, D., Schulz, R., Branscum, T., & Benore, M. (2025). 6-(7,8-Dimethyl-2,4-dioxo-3,4-dihydrobenzo[g]pteridin-10(2H)-yl)hexyl 5-((3aS,4S,6aR)-2-oxohexahydro-1H-thieno[3,4-d]imidazol-4-yl)pentanoate. Molbank, 2025(2), M1994. https://doi.org/10.3390/M1994

