2,2′-[2,4-Bis(4-chlorophenyl)cyclobutane-1,3-diyl]bis(8-bromo-6-chloro-3-nitroimidazo[1,2-a]pyridine)
Abstract
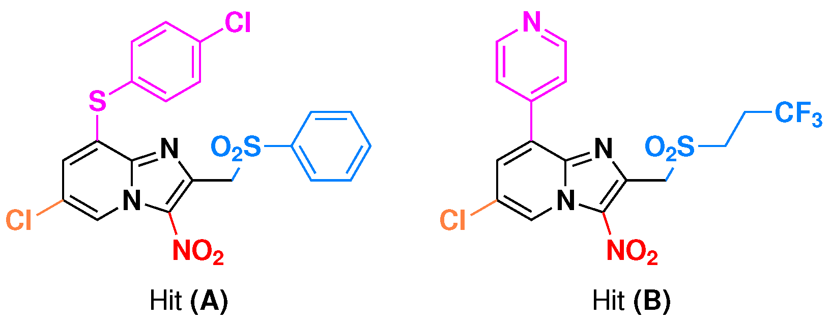
1. Introduction
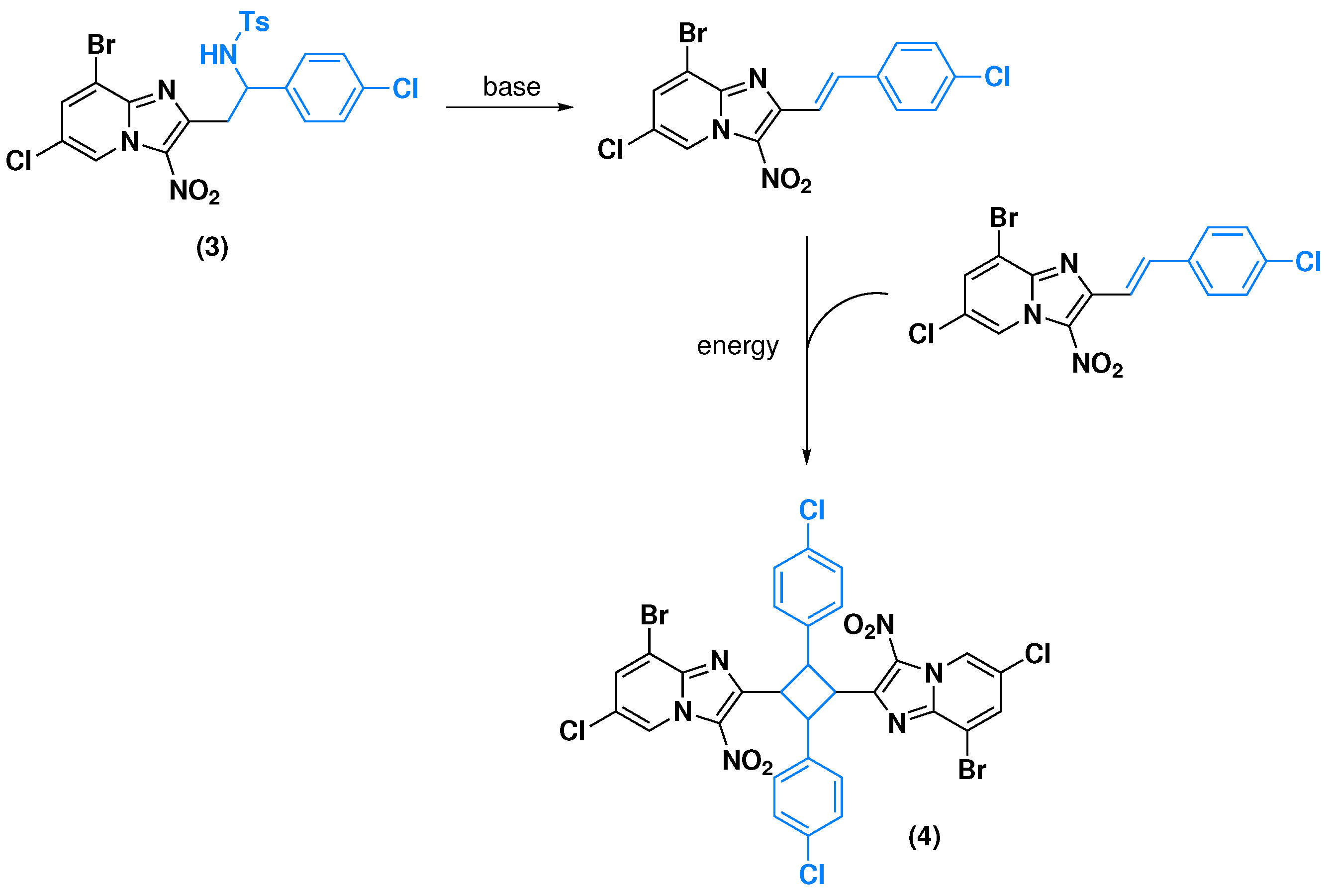
2. Results
3. Discussion
4. Materials and Methods
4.1. General Information
4.2. Preparation of N-(2-(8-bromo-6-chloro-3-nitroimidazo[1,2-a]pyridin-2-yl)-1-(4-chlorophenyl)ethyl)-4-methylbenzenesulfonamide (3)
4.3. Preparation of 2,2′-[2,4-bis(4-chlorophenyl)cyclobutane-1,3-diyl]bis(8-bromo-6-chloro-3-nitroimidazo[1,2-a]pyridine) (4)
4.4. Single-Crystal X-Ray Diffraction Determination
Supplementary Materials
Author Contributions
Funding
Data Availability Statement
Acknowledgments
Conflicts of Interest
References
- World Health Organization (WHO). Neglected Tropical Diseases (NTDs). Available online: https://www.who.int/health-topics/neglected-tropical-diseases (accessed on 16 October 2024).
- World Health Organization (WHO). Leishmaniasis. Available online: https://www.who.int/news-room/fact-sheets/detail/leishmaniasis (accessed on 16 October 2024).
- Drugs for Neglected Diseases Initiative (DNDi). Cutaneous Leishmaniasis. 2020. Available online: https://dndi.org/diseases/cutaneous-leishmaniasis/ (accessed on 16 October 2024).
- Drugs for Neglected Diseases Initiative (DNDi). Visceral Leishmaniasis. 2019. Available online: https://dndi.org/diseases/visceral-leishmaniasis/ (accessed on 16 October 2024).
- Fersing, C.; Basmaciyan, L.; Boudot, C.; Pedron, J.; Hutter, S.; Cohen, A.; Castera-Ducros, C.; Primas, N.; Laget, M.; Casanova, M.; et al. Nongenotoxic 3-Nitroimidazo[1,2-a]pyridines Are NTR1 Substrates That Display Potent in Vitro Antileishmanial Activity. ACS Med. Chem. Lett. 2019, 10, 34–39. [Google Scholar] [CrossRef] [PubMed]
- Paoli-Lombardo, R.; Primas, N.; Bourgeade-Delmas, S.; Hutter, S.; Sournia-Saquet, A.; Boudot, C.; Brenot, E.; Castera-Ducros, C.; Corvaisier, S.; Since, M.; et al. Improving Aqueous Solubility and In Vitro Pharmacokinetic Properties of the 3-Nitroimidazo[1,2-a]pyridine Antileishmanial Pharmacophore. Pharmaceuticals 2022, 15, 998. [Google Scholar] [CrossRef] [PubMed]
- Vanelle, P.; Montana, M.; Crozet, M.D.; Castera-Ducros, C.; Terme, T.; Vanelle, P. Rapid Synthesis of New Azaheterocyclic Hydroxymalonate Derivatives Using TDAE Approach. Heterocycles 2008, 75, 925. [Google Scholar] [CrossRef]
- Xu, W.; Dolbier, W.R. Nucleophilic Trifluoromethylation of Imines Using the CF 3 I/TDAE Reagent. J. Org. Chem. 2005, 70, 4741–4745. [Google Scholar] [CrossRef] [PubMed]
- Fersing, C.; Boudot, C.; Paoli-Lombardo, R.; Primas, N.; Pinault, E.; Hutter, S.; Castera-Ducros, C.; Kabri, Y.; Pedron, J.; Bourgeade-Delmas, S.; et al. Antikinetoplastid SAR study in 3-nitroimidazopyridine series: Identification of a novel non-genotoxic and potent anti-T. b. brucei hit-compound with improved pharmacokinetic properties. Eur. J. Med. Chem. 2020, 206, 112668. [Google Scholar] [CrossRef] [PubMed]
- Paoli-Lombardo, R.; Primas, N.; Castera-Ducros, C.; Jacquet, I.; Rathelot, P.; Vanelle, P. N-[1-(2-Chlorophenyl)-2-{1-methyl-5-nitro-4-[(phenylsulfonyl)methyl]-1H-imidazol-2-yl}ethyl]-4-methylbenzenesulfonamide. Molbank 2023, 2023, M1633. [Google Scholar] [CrossRef]
- Sharghi, H.; Hosseini-Sarvari, M.; Ebrahimpourmoghaddam, S. A novel method for the synthesis of N-sulfonyl aldimines using AlCl3 under solvent-free conditions (SFC). Arkivoc 2007, 2007, 255–264. [Google Scholar] [CrossRef]
- CCDC PUFQEQ-2391174: Experimental Crystal Structure Determination. Available online: https://www.ccdc.cam.ac.uk/structures/search?id=doi:10.5517/ccdc.csd.cc2l86nr&sid=DataCite (accessed on 16 October 2024).
- Schmidt, G.M.J. Photodimerization in the solid state. Pure Appl. Chem. 1971, 27, 647–678. [Google Scholar] [CrossRef]
- Horner, M.; Hünig, S. Pyridylsubstituierte Cyclobutane durch Photodimerisierung von Azastilbenen. Liebigs Ann. Chem. 1982, 1982, 1183–1210. [Google Scholar] [CrossRef]
- Yamada, S.; Uematsu, N.; Yamashita, K. Role of Cation-π Interactions in the Photodimerization of trans-4-Styrylpyridines. J. Am. Chem. Soc. 2007, 129, 12100–12101. [Google Scholar] [CrossRef]
- Ito, Y.; Kajita, T.; Kunimoto, K.; Matsuura, T. Accelerated photodimerization of stilbenes in methanol and water. J. Org. Chem. 1989, 54, 587–591. [Google Scholar] [CrossRef]
- Ulrich, H.; Rao, D.V.; Stuber, F.A.; Sayigh, A.A.R. Photodimerization of substituted stilbenes. J. Org. Chem. 1970, 35, 1121–1125. [Google Scholar] [CrossRef]
- Bortolus, P.; Cauzzo, G. Thermal isomerization of stilbene and styrylpyridines in the liquid state. Trans. Faraday Soc. 1970, 66, 1161. [Google Scholar] [CrossRef]
- Nguyen, T.B.; Al-Mourabit, A. Remarkably high homoselectivity in [2 + 2] photodimerization of trans-cinnamic acids in multicomponent systems. Photochem. Photobiol. Sci. 2016, 15, 1115–1119. [Google Scholar] [CrossRef]







Disclaimer/Publisher’s Note: The statements, opinions and data contained in all publications are solely those of the individual author(s) and contributor(s) and not of MDPI and/or the editor(s). MDPI and/or the editor(s) disclaim responsibility for any injury to people or property resulting from any ideas, methods, instructions or products referred to in the content. |
© 2024 by the authors. Licensee MDPI, Basel, Switzerland. This article is an open access article distributed under the terms and conditions of the Creative Commons Attribution (CC BY) license (https://creativecommons.org/licenses/by/4.0/).
Share and Cite
Jacquet, I.; Paoli-Lombardo, R.; Castera-Ducros, C.; Vanelle, P.; Primas, N. 2,2′-[2,4-Bis(4-chlorophenyl)cyclobutane-1,3-diyl]bis(8-bromo-6-chloro-3-nitroimidazo[1,2-a]pyridine). Molbank 2024, 2024, M1916. https://doi.org/10.3390/M1916
Jacquet I, Paoli-Lombardo R, Castera-Ducros C, Vanelle P, Primas N. 2,2′-[2,4-Bis(4-chlorophenyl)cyclobutane-1,3-diyl]bis(8-bromo-6-chloro-3-nitroimidazo[1,2-a]pyridine). Molbank. 2024; 2024(4):M1916. https://doi.org/10.3390/M1916
Chicago/Turabian StyleJacquet, Inès, Romain Paoli-Lombardo, Caroline Castera-Ducros, Patrice Vanelle, and Nicolas Primas. 2024. "2,2′-[2,4-Bis(4-chlorophenyl)cyclobutane-1,3-diyl]bis(8-bromo-6-chloro-3-nitroimidazo[1,2-a]pyridine)" Molbank 2024, no. 4: M1916. https://doi.org/10.3390/M1916
APA StyleJacquet, I., Paoli-Lombardo, R., Castera-Ducros, C., Vanelle, P., & Primas, N. (2024). 2,2′-[2,4-Bis(4-chlorophenyl)cyclobutane-1,3-diyl]bis(8-bromo-6-chloro-3-nitroimidazo[1,2-a]pyridine). Molbank, 2024(4), M1916. https://doi.org/10.3390/M1916

