Abstract
A simple protocol for the preparation of O-acylated enol form (R/S)-ethyl-2-acetoxy-4-phenyl-4H-chromene-3-carboxylate 5 was presented. The compound was characterized by 1H-, 13C-and DEPT135 NMR spectra, including {1H,1H} COSY, {1H,13C} HSQC, {1H,13C} HMBC, and 2D-NOESY spectra. The preferred regioselectivity for O-acylation of 3,4-dihydrocoumarin 5 in the presence of substituent in the 4th position in the chroman ring and accounting for the steric hindrance of the ester group in the 3rd place was confirmed.
1. Introduction
Enol forms of 3-substituted 2-oxo-2H-benzopyrans (coumarins, 3-diethylphosphoncoumarin, 3-benzoylcoumarin, coumarin-3-carboxylate) were reported in several papers [1,2,3]. The announced reaction conditions highlighted one side of the mechanism for conjugated addition to coumarin systems and the followed trapping with electrophiles, presented in Scheme 1, with preferential formation of C- or O-acylated/phosphorylated product. Various methods for the synthesis of enol phosphates are reported [4,5]. However, the synthetic route through enolates has become a proven and effective procedure for the preparation and further functionalization of coumarin-type heterocyclic systems.
Scheme 1.
Conditions for coumarin enol-forms trapping with various electrophiles.
Polyfunctionalized compounds could often initiate ambident nucleophiles as intermediates in their carbanion or enolate forms. A basic concept for reactivity prediction of such nucleophiles is given by the “Theory of Hard and Soft Acids and Bases” (HSAB). Based on various experimental and theoretical parameters, the reaction centers are considered soft and hard. In our previous studies, the steric factor of the coumarin system, the used electrophile, the presence of a catalyst (4-dimethylaminopyridine (DMAP)), the applied solvent, and temperature were accounted as important factors for the outcome of the reaction and for the stability of the product [6,7]. Thus, reflecting on the isolation and characterization of the trapped enol form. Another direction of the research was related to the possibilities for binding a nucleophile in the 4th position, as well as a one-pot conjugate addition followed by localization of the electrophile in the 3rd position [8,9,10].
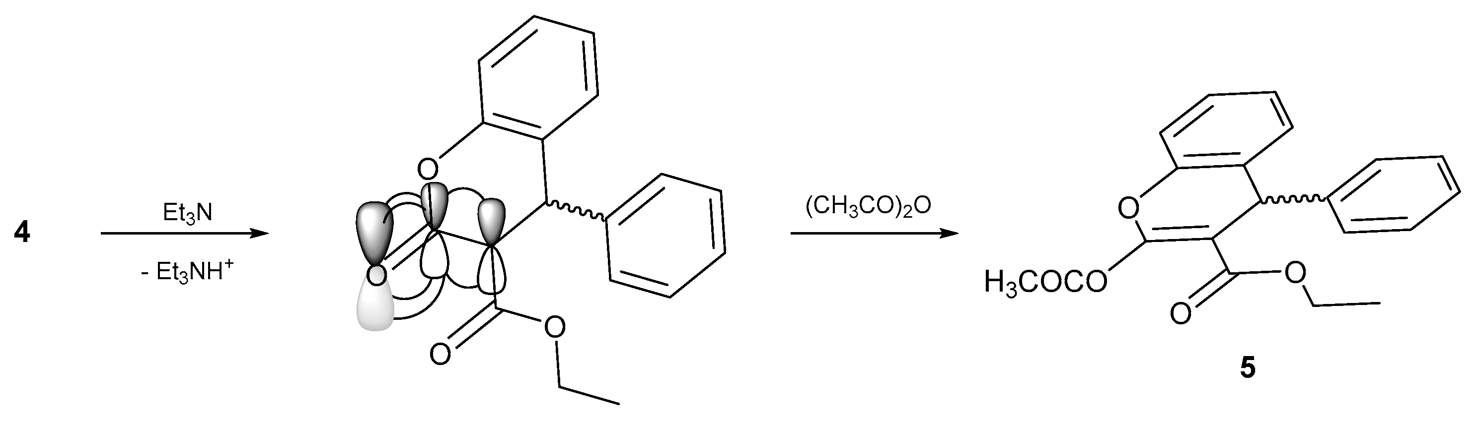
2. Results
In previous studies, the preparation of stable acylated enols from substituted 3,4-dihydrocoumarins was unsuccessful [2,3]. An enantiomeric mixture of (4R,3R)- and (4S,3S)-ethyl 2-oxo-4-phenylchromane-3-carboxylate 4 was prepared using the procedure described by Holmberg (1961) [6]. A simple and one-pot protocol for the synthesis of the acylated enol was performed starting from chromane 4 with an excess of acetic anhydride (0.042 mol) in the presence of triethylamine at room temperature for 48 h, Scheme 2. The product (R/S)-ethyl-2-acetoxy-4-phenyl-4H-chromene-3-carboxylate 5 was isolated as a racemic mixture of isomers in a yield of 41% after column chromatography purification. The acylated enol structure of 3,4-dihydrocoumarin has not been reported in the literature until now. However, phosphorylated enols with similar structures were recently published by us as a continuous investigation of the chemical behaviors of 3-substituted coumarins [1,2].
Scheme 2.
Reaction conditions for preparation of (R/S)-ethyl-2-acetoxy-4-phenyl-4H-chromene-3-carboxylate 5.
The structure of the product of O-acylation ((R/S)-ethyl-2-acetoxy-4-phenyl-4H-chromene-3-carboxylate) 5 was fully confirmed by standard spectroscopic methods IR, 1H, 13C NMR, and HRMS spectra. More assignments were performed by using 2D NMR spectra — COSY, {1H,13C} HSQC, {1H,13C} HMBC, and NOESY. The data can be seen in the Supplementary Materials.
The 1H and 13C NMR spectra fully correlate with the structure of compound 5, Figure 1. In the 1H NMR, the protons from O-acetyl, ethylcarboxylate, CH-4Ph, and the two aromatic groups were well assigned. The resonances for the methyl group in OCOCH3 and the CH-4 protons were singlets with chemical shifts of 2.329 and 4.995 ppm, respectively. The signals for the ethoxy part of the COOCH2CH3 group appeared with the corresponding multiplicity. However, two protons from OCHAHBCH3 were nonequivalent with 36 Hz chemical shift difference and coupling constants of 2JHH = 10.7 and 3JHH = 7.1 Hz calculated from the observed doublet of quartets. The 13C NMR had shown the expected 20 resonance signals. The quaternary carbon atoms in the spectra were observed with frequencies of 195 ppm for OCOCH3, 164.9 ppm for COOEt, 162.6 ppm for C-2, 149.5 ppm for C-8a, 137.9 ppm for C-1’, 124.5 ppm for C-4a, and 71.6 ppm for C-3.
Figure 1.
Atoms labeling in compound 5.
Homonuclear decoupling (COSY) displayed the correlations of coupling protons from the ethoxy group and the phenyl moiety. Heteronuclear correlation techniques, such as HSQC and HMBC, clearly show the cross-peaks for the interaction between one H-C bond with two or multiple H-C bonds. The enol structure was very well assigned to the correlations of the H-4 proton and C-3, C-4a, C-1’, C-8a, COOCH2, C-2, and even OCOCH3 carbon nuclei. The highest frequency for the OCOCH3 carbon was assigned to the correlations with H-4 and methyl protons OCOCH3 in the HMBC spectrum.
Analysis of the NOESY spectrum showed the cross-relaxations of H-4 and the protons from OCOCH3, as well as the H-5 atom. It could be assumed that the disposition of the O=C-CH3 group is up from one side of the chromen-3-carboxylate ring, which is very close to the H-4 and H-5 atoms. The other observed correlations were for protons from the ethoxy group.
3. Discussion
The data on the preparation of substituted 3,4-dihydrocoumarins have characterized them as not very stable compounds [11,12]. They usually could perform a retro-Michael reaction by eliminating a nucleophilic molecule or hydrogen atom followed by aromatization, thus stabilizing the structure [3,13]. In most cases, the reason is a preferred stereoselective addition to the C3=C4 bond with a pseudo-axial position for the bulky substituent, which increases the energy of 3,4-dihydrocoumarin and causes a step of elimination and further stabilization. Compound ethyl 2-oxo-4-phenylchromane-3-carboxylate 4 is very stable due to the pseudo-equatorial and pseudo-axial disposition of the bulky substituents at the 3- and 4-positions, Scheme 2, in the enantiomeric couple formed during its preparation. Moreover, the planar structure of the phenyl group lowers the steric factor. A synthetic protocol, including deprotonation with triethylamine and subsequent reaction with anhydride as an electrophilic reagent, was performed for compound 4 as a representative of the 3,4-disubstituted coumarins. The product of O-acylation or enol-trapping was isolated, which could indicate the preferred regioselectivity in the presence of substituent in the 4th position in the chroman ring and accounting for the steric hindrance of the ester group in the 3rd place. Our previous investigations on the deprotonation of systems like 2-oxochroman-3-ylphosphonate and its subsequent acylation proceeded with isolating the C-acylated product in a lower yield (38%) [3].
The orbital model of the formed carbanion after deprotonation, as shown in Scheme 3, could provide more arguments for the stabilization of the intermediate. Delocalization of the negative charge could be provided through the lactone C=O group with the p-atomic orbital formation on the C-3 atom, which flattened the structure of the intermediate and promoted electron transfer. The ester group at the 3-position is not reliable for stabilization, as we have shown in previous investigations [1,2]. In the studied coumarin system, delocalization is mainly preferred through the lactone ring with the formation of acylated enol 5.
Scheme 3.
Plausible mechanism of (R/S)-ethyl-2-acetoxy-4-phenyl-4H-chromene-3-carboxylate 5 formation.
4. Materials and Methods
The IR spectra were recorded with a Specord IR 75 spectrophotometer; 1H and 13C NMR spectra were recorded on a Bruker Avance III 500 spectrometer (at 500 MHz for 1H, 125.7 MHz for 13C). Chemical shifts are given in ppm from tetramethylsilane as an internal standard with CDCl3 as a solvent. Liquid chromatography–mass spectrometry analysis (LC-HRAM) was carried out on Q Exactive Plus® hybrid quadrupole-Orbitrap® mass spectrometer (ThermoScientific Co., Waltham, MA, USA) equipped with a HESI® (heated electrospray ionization) module, TurboFlow® Ultra High Performance Liquid Chromatography (UHPLC) system (ThermoScientific Co., Waltham, MA, USA), and HTC PAL® autosampler (CTC Analytics, Zwingen, Switzerland). The chromatographic separations of the analyzed compounds were achieved on an Accucore™ C18 (50 × 2.1 mm, 1.7 µm) analytical column (Thermo Fisher Scientific™, Hessen, Germany) using a gradient elution at 300 µL/min flow rate. The eluent systems used were A: 0.1% formic acid in water and B: 0.1% formic acid in CH3CN. Full-scan mass spectra over the m/z range 80–1200 were acquired in positive ion mode at resolution settings of 70,000. The mass spectrometer operating parameters used were spray voltage: 3.8 kV; capillary temperature: 320 °C; probe heater temperature: 350 °C; sheath gas flow rate: 30 units; auxiliary gas flow: 6 units; sweep gas: 0 units (units refer to arbitrary values set by the Q Exactive Tune software); and an S-Lens RF level of 50.00. Nitrogen was used for sample nebulization and collision gas in the HCD cell. Data acquisition and processing were carried out with the XCalibur® ver 2.4 software package (ThermoScientific Co, Waltham, MA, USA). Reactions were monitored by TLC on silica gel 60 F254. Column chromatography was carried out on silica gel (Merck 0.063-0.200 mm). The data can be seen in the Supplementary Materials.
All chemical reagents were purchased from Merck and Sigma Aldrich (St. Louis, MO, USA). The starting ethyl 2-oxo-4-phenylchromane-3-carboxylate 4 was prepared according to procedure [6].
General Procedure for the Preparative of (R/S)-Ethyl-2-acetoxy-4-phenyl-4H-chromene-3-carboxylate 5
A mixture of 4 (0.444 g, 0.0015 mol), acetic anhydride (4 mL, 0.042 mol), and triethylamine (0.22 mL, 0.0016 mol) in dry pyridine (2 mL) was continuously mixed for 48 h at room temperature. The mixture was monitored by TLC until the ratio between the starting coumarin and the product was not changed (48 h). The reaction mixture was poured on 20 mL 2N ice-cold HCl and extracted with dichloromethane (3 × 20 mL), washed with water (1 × 20 mL), and dried over Na2SO4. After rotary evaporation of the solvent, the crude product was purified by column chromatography using an n-hexane/EtOAc mixture with increasing polarity as an eluent; 0.210 g, 41%, white crystals, m.p. 134–137 °C. The data can be seen in the Supplementary Materials.
- Ethyl-2-acetoxy-4-phenyl-4H-chromene-3-carboxylate 5
IR (CHCl3): ν = 1795, 1745, 1620, 1600, 1495, 1470 cm−1.
1H NMR (500 MHz, CDCl3) δ = 7.239–7.285 (m, 5H, aromatic), 7.177 (dd, 3JHH = 7.6 Hz, 3JHH = 1.1 Hz, 1H, H-5), 7.116–7.147 (m, 2H, aromatic), 7.091 (dd, 3JHH = 7.6 Hz, 3JHH = 1.1 Hz, 1H, H-8), 4.997 (s, 1H, H-4), 4.029 (dq, 2JHH = 10.7 Hz, 3JHH = 7.1 Hz, 1H, COOCHAHBCH3), 3.935 (dq, 3JHH = 10.7 Hz, 3JHH = 7.1 Hz, 1H, COOCHAHBCH3), 2.329 (s, 3H, OCOCH3), 0.985 (t, 3JHH = 7.1 Hz, 3H, COOCH2CH3);
13C NMR (125.7 MHz, CDCl3) δ = 195.07 (s, OCOCH3), 164.93 (s, COOC2H5), 162.62 (s, C-2), 149.53 (s, C-8a), 137.87 (s, C-1’), 129.07 (s, CH-7), 128.93 (s, CH-5), 128.84 (s, two CH), 128.51 (s, two CH), 128.00 (s, CH-3’), 125.68 (s, CH-6), 124.51 (s, C-4a), 116.94 (s, CH-8), 71.62 (s, C-3), 62.52 (s, COOCH2CH3), 47.62 (s, CH-4), 27.27 (s, OCOCH3), 13.43 (s, COOCH2CH3);
HRMS (FTMS-p ESI) m/z calculated for C20H18O5 [M+CH3OH+H]+ 371.1495 found 371.1485 (ppm: 1.0).
(4R,3R)- and (4S,3S)-ethyl 2-oxo-4-phenylchromane-3-carboxylate 4 0.262 g, 59%, white crystals, m.p. 100–103 °C [6].
5. Conclusions
A simple protocol for the preparation of O-acylated enol form (R/S)-ethyl-2-acetoxy-4-phenyl-4H-chromene-3-carboxylate 5 was presented. The preferred regioselectivity for O-acylation of 3,4-dihydrocoumarin 5 in the presence of substituent in the 4th position in the chroman ring and accounting for the steric hindrance of the ester group in the 3rd place was confirmed.
Supplementary Materials
Spectral data are provided as Supporting information.
Author Contributions
Conceptualization, N.I.P.-Y.; methodology, N.I.P.-Y.; formal analysis, N.I.P.-Y. and A.I.K.; investigation, N.I.P.-Y.; resources, R.D.N.; data curation, N.I.P.-Y.; writing—original draft preparation, N.I.P.-Y. and A.I.K.; writing—review and editing, N.I.P.-Y. and R.D.N.; visualization, N.I.P.-Y.; project administration, R.D.N. All authors have read and agreed to the published version of the manuscript.
Funding
This research was funded by the National Science Fund project—KP-06-N-39/15 from 17 December 2019.
Data Availability Statement
The data presented in this study are available on request from the corresponding author due to legal reasons.
Acknowledgments
The authors acknowledged the research equipment of the Distributed Research Infrastructure INFRAMAT D01-306/20.12.2021, part of the Bulgarian National Roadmap for Research Infrastructures, supported by the Bulgarian Ministry of Education and Science.
Conflicts of Interest
The authors declare no conflicts of interest.
References
- Petkova-Yankova, N.I.; Nikolova, R.D. Enol phosphates from 3-diethylphosphonocoumarin: Synthesis and transformations under phase-transfer conditions. Synth. Commun. 2023, 53, 1134–1142. [Google Scholar] [CrossRef]
- Petkova-Yankova, N.I.; Nikolova, R.D. Tandem Michael-Type Reactions with 3-Substituted Coumarins: Phosphorylation Protocol. ChemistrySelect 2020, 5, 7098–7103. [Google Scholar] [CrossRef]
- Petkova, N.I.; Nikolova, R.D.; Bojilova, A.G.; Rodios, N.A.; Raptopoulou, C.P. Hydrogenation/Regioselective C-Acylation Reaction of Diethyl Coumarin-3-phosphonate With NaBH4/Acid Anhydrides: A New One-Pot Tandem Reaction. Synth. Commun. 2006, 36, 509–524. [Google Scholar] [CrossRef]
- Lichtenthaler, F.W. The Chemistry and Properties of Enol Phosphates. Chem. Rev. 1961, 61, 607–649. [Google Scholar] [CrossRef]
- Savignac, P.; Bogdan, I. Modern Phosphonate Chemistry; CRC Press LLC: Boca Raton, FL, USA, 2003. [Google Scholar]
- Holmberg, G. A The Action of Phenylmagnesium Bromide on Ethyl 3-Coumarincarboxylate. Acta Chem. Scand. 1961, 15, 1255–1258. [Google Scholar] [CrossRef][Green Version]
- Pearson, R.G. Hard and soft acids and bases. J. Am. Chem. Soc. 1963, 85, 3533–3539. [Google Scholar] [CrossRef]
- Bojilova, A.; Ivanov, C. Two new routes to esters of 2-oxochroman-4-acetic acid. Synthesis 1976, 4, 267–268. [Google Scholar] [CrossRef]
- Ivanov, C.; Bojilova, A. On the reaction of 3-phenylcoumarin with organomagnesium compounds. Synthesis 1974, 10, 708–709. [Google Scholar] [CrossRef]
- Koleva, A.I.; Petkova, N.I.; Nikolova, R.D. Ultrasound-assisted Conjugate Addition of Organometallic Reagents to 3-Diethylphosphono-coumarin. Synlett 2016, 27, 2676–2680. [Google Scholar] [CrossRef]
- Gustafsson, B.; Wennstrom, U.; Holmberg, G.A. Thermal Instability of Substituted Ethyl 3,4-Dihydro-3-coumarincarboxylates during Gas Chromatographic Analysis. Acta Acad. Abo 1975, 29B, 273–274. [Google Scholar] [CrossRef][Green Version]
- Petkova-Yankova, N.I.; Nikolova, R.D. Collection of Articles from the National Scientific Conference “15 Years Pharmacy in Medical University–Plovdiv”; Medical University: Bulgaria, Plovdiv, 2018; p. 234. ISBN 978-619-237-014-5. [Google Scholar]
- Ilieva, E.D.; Petkova, N.I.; Nikolova, R.D. Ring Opening Reactions of 3-Phosphonocoumarin Under Michael Reaction Conditions. Phosphorus Sulfur Silicon Relat. Elem. 2012, 187, 39–50. [Google Scholar] [CrossRef]
Disclaimer/Publisher’s Note: The statements, opinions and data contained in all publications are solely those of the individual author(s) and contributor(s) and not of MDPI and/or the editor(s). MDPI and/or the editor(s) disclaim responsibility for any injury to people or property resulting from any ideas, methods, instructions or products referred to in the content. |
© 2024 by the authors. Licensee MDPI, Basel, Switzerland. This article is an open access article distributed under the terms and conditions of the Creative Commons Attribution (CC BY) license (https://creativecommons.org/licenses/by/4.0/).



