2,3-Dihydrobenzo[e][1,3]oxazin-4-one
Abstract
1. Introduction
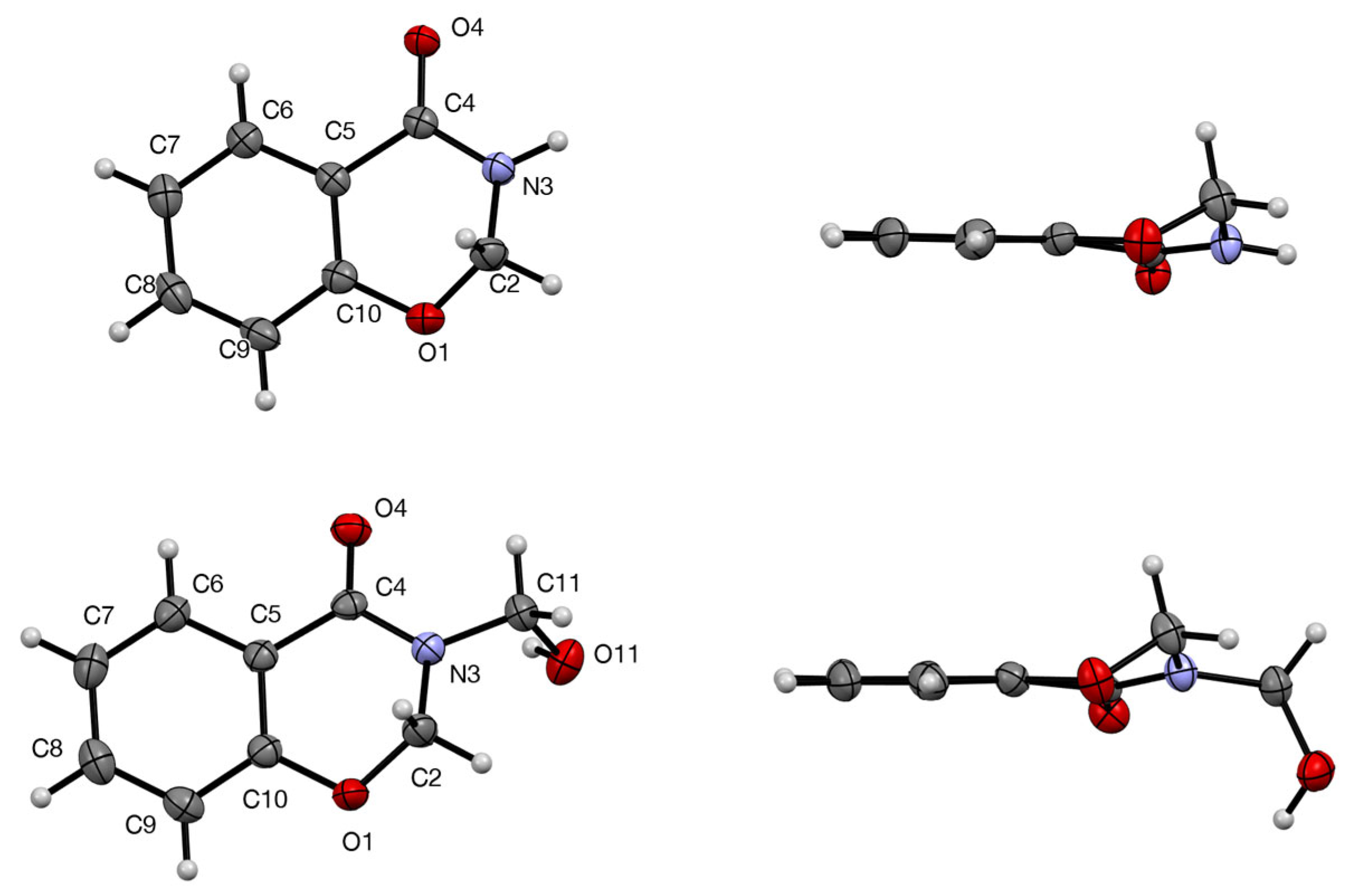
2. Results
3. Experimental
3.1. General Experimental Details
3.2. Synthesis of 2-Hydroxymethyl-2,3-dihydrobenzo[e][1,3]oxazin-4-one 2
3.3. Synthesis of 2,3-Dihydrobenzo[e][1,3]oxazin-4-one 3
3.4. X-ray Structure Determination of 3 and 2
3.4.1. 2,3-Dihydrobenzo[e][1,3]oxazin-4-one 3
3.4.2. 2-Hydroxymethyl-2,3-dihydrobenzo[e][1,3]oxazin-4-one 2
Supplementary Materials
Author Contributions
Funding
Data Availability Statement
Conflicts of Interest
References
- Fülöp, F.; Pihlaja, K.; Huber, I.; Bernáth, G.; Ribár, B.; Argay, G.; Kálmán, A. Synthesis, reactions and stereochemistry of 3-hydroxymethyl-2,3-dihydro-4H-1,3-benzoxazin-4-one and some of its perhydrogenated derivatives. Tetrahedron 1992, 48, 4963–4970. [Google Scholar] [CrossRef]
- Spilker, A. Ueber neue stickstoffhaltige Abkömmlinge der Salicylsäure. Ber. Dtsch. Chem. Ges. 1889, 22, 2767–2789. [Google Scholar] [CrossRef]
- Sun, Y.; Zhao, Q.; Wang, H.; Yang, T.; Wen, J.; Zhang, X. Asymmetric hydrogenation of cationic intermediates for the synthesis of chiral N,O-acetals. Chem. Eur. J. 2020, 26, 11470–11477. [Google Scholar] [CrossRef] [PubMed]
- Shipov, A.G.; Kramarova, R.P.; Pogozhikh, S.A.; Negrebetsky, V.V.; Smirnova, L.S.; Artamkina, O.E.; Bylikin, S.Y.; Ovchinnikov, Y.E.; Baukov, Y.I. Synthesis and molecular and crystal structures of mono- and bis-chelate hypercoordinate silicon compounds containing the C,O-chelating 2,2-dimethyl-4-oxo-2,3-dihydro-1,3-oxazin-3-ylmethyl ligand. Russ. Chem. Bull. 2007, 56, 461–474. [Google Scholar] [CrossRef]
- Chen, C.-T.; Hung, S.-F.; Tsai, B.-Y.; Chen, T.-C.; Lein, C.-I.; Tseng, P.-X.; Chang, Y.-C.; Chuang, C.-W.; Agarwal, R.; Hsu, C.-W.; et al. Asymmetric cross couplings of trifluoromethyl radical to vinylarenes with N-hydroxyoxazinediones and subsequent aerobic oxidative homocoupling of 2-naphthols catalysed by chiral vanadyl complexes. Adv. Synth. Catal. 2024, 366, 248–261. [Google Scholar] [CrossRef]
- Wattanathana, W.; Nonthaglin, S.; Veranitisagul, C.; Koonsaeng, N.; Laobuthee, A. Crystal structure and novel solid-state fluorescence behavior of the model benzoxazine monomer: 3,4-dihydro-3,6-dimethyl-1,3,2H-benzoxazine. J. Mol. Struct. 2014, 1074, 118–125. [Google Scholar] [CrossRef]
- Kashino, S.; Nakashima, S.; Haisa, M. The crystal and molecular structures of 2H-1,3-benzoxazine 2,4(3H)-dione (CSA) and 2H-3,1-benzoxazine 2,4(1H)-dione. Acta Crystallogr. Sect. B 1978, 34, 2191–2195. [Google Scholar] [CrossRef]
- Srinivasulu, A.; Vani, D.; Kumar, G.S.; Shantharjun, B.; Chahal, K.; Sridhar, B.; Reddy, K.R. Copper-catalyzed N-alkyl formamide activation: Tandem oxidative coupling approach for the construction of C–N and C–O bonds to synthesize 3-alkyl-1,3-benzoxazine-2,4-dione and 4-methylene-3-alkyl-1,3-benzoxazine-2-one derivatives. Adv. Synth. Catal. 2022, 364, 1415–1421. [Google Scholar] [CrossRef]
- Schramm, S.; Navizet, I.; Naumov, P.; Nath, N.K.; Berraud-Pache, R.; Oesau, P.; Weiss, D.; Beckert, R. The light emitter of the 2-coumaranone chemiluminescence: Theoretical and experimental elucidation of a possible model for bioluminescent systems. Eur. J. Org. Chem. 2016, 2016, 678–681. [Google Scholar] [CrossRef]
- CrysAlisPro. Rigaku Oxford Diffraction; v1.171.43.109a; Rigaku Corporation: Tokyo, Japan, 2023. [Google Scholar]
- Sheldrick, G.M. SHELXT—Integrated space-group and crystal structure determination. Acta Crystallogr. Sect. A Found. Adv. 2015, 71, 3–8. [Google Scholar] [CrossRef] [PubMed]
- Sheldrick, G.M. Crystal structure refinement with SHELXL. Acta Crystallogr. Sect. C Struct. Chem. 2015, 71, 3–8. [Google Scholar] [CrossRef] [PubMed]
- Dolomanov, O.V.; Bourhis, L.J.; Gildea, R.J.; Howard, J.A.K.; Puschmann, H. OLEX2: A complete structure solution, refinement and analysis program. J. Appl. Crystallogr. 2009, 42, 339–341. [Google Scholar] [CrossRef]





| Position | 3 | 2 | ||
|---|---|---|---|---|
| δC | δH | δC | δH | |
| 2 | 73.8 | 5.25 | 78.0 | 5.34 |
| 4 | 164.1 | – | 163.2 | – |
| 4a | 118.6 | – | 118.2 | – |
| 5 | 128.2 | 7.94 | 128.4 | 7.95 |
| 6 | 122.6 | 7.13 | 122.6 | 7.12 |
| 7 | 134.6 | 7.48 | 134.7 | 7.46 |
| 8 | 116.7 | 7.01 | 116.5 | 6.97 |
| 8a | 158.3 | – | 158.2 | – |
| 9 | – | – | 69.2 | 5.06 |
| NH/OH | 7.58 | 3.72 |
| Compound | 3JH5–H6 | 4JH5–H7 | 5JH5–H8 | 3JH6–H7 | 4JH6–H8 | 3JH7–H8 | 3JH9–OH |
|---|---|---|---|---|---|---|---|
| 3 | 8.0 | ~0 | ~0 | 7.6 | ~0 | 8.0 | — |
| 2 | 8.0 | 1.6 | 0.4 | 7.2 | 1.2 | 8.4 | 7.6 |
| Compound | 3 | 2 |
|---|---|---|
| O(1)–C(2) | 1.4272(14) | 1.4187(13) |
| C(2)–N(3) | 1.4412(14) | 1.4542(14) |
| N(3)–C(4) | 1.3423(13) | 1.3531(13) |
| C(4)–O(4) | 1.2380(12) | 1.2379(13) |
| C(4)–C(5) | 1.4837(14) | 1.4801(15) |
| C(5)–C(10) | 1.3995(15) | 1.3961(14) |
| C(10)–O(1) | 1.3725(13) | 1.3725(12 |
| C(10)–O(1)–C(2) | 111.43(8) | 111.68(8) |
| O(1)–C(2)–N(3) | 111.07(9) | 111.27(9) |
| C(2)–N(3)–C(4) | 119.34(9) | 119.15(9) |
| N(3)–C(4)–C(5) | 114.05(9) | 114.42(9) |
| C(4)–C(5)–C(10) | 119.11(9) | 119.31(9) |
| C(5)–C(10)–O(1) | 120.77(9) | 119.88(10) |
| Flap angle * | 48.85(11) | 49.32(10) |
| D—H···A | D—H | H···A | D···A | D—H···A | |
|---|---|---|---|---|---|
| 3 | N(3)–H(3)···O(4) | 0.925(13) | 1.936(13) | 2.8609(12) | 178.0(13) |
| 2 | O(11)–H(11)···O(4) | 0.921(14) | 1.812(15) | 2.7309(12) | 175.4(17) |
Disclaimer/Publisher’s Note: The statements, opinions and data contained in all publications are solely those of the individual author(s) and contributor(s) and not of MDPI and/or the editor(s). MDPI and/or the editor(s) disclaim responsibility for any injury to people or property resulting from any ideas, methods, instructions or products referred to in the content. |
© 2024 by the authors. Licensee MDPI, Basel, Switzerland. This article is an open access article distributed under the terms and conditions of the Creative Commons Attribution (CC BY) license (https://creativecommons.org/licenses/by/4.0/).
Share and Cite
Aitken, R.A.; Cordes, D.B.; Kinahan, M.R.; McKay, A.P. 2,3-Dihydrobenzo[e][1,3]oxazin-4-one. Molbank 2024, 2024, M1878. https://doi.org/10.3390/M1878
Aitken RA, Cordes DB, Kinahan MR, McKay AP. 2,3-Dihydrobenzo[e][1,3]oxazin-4-one. Molbank. 2024; 2024(3):M1878. https://doi.org/10.3390/M1878
Chicago/Turabian StyleAitken, R. Alan, David B. Cordes, Mhairi R. Kinahan, and Aidan P. McKay. 2024. "2,3-Dihydrobenzo[e][1,3]oxazin-4-one" Molbank 2024, no. 3: M1878. https://doi.org/10.3390/M1878
APA StyleAitken, R. A., Cordes, D. B., Kinahan, M. R., & McKay, A. P. (2024). 2,3-Dihydrobenzo[e][1,3]oxazin-4-one. Molbank, 2024(3), M1878. https://doi.org/10.3390/M1878

