Attempted Synthesis of the Pseudomonas aeruginosa Metabolite 2-Benzyl-4(1H)-quinolone and Formation of 3-Methylamino-2-(2-nitrobenzoyl)-4H-naphthalen-1-one as an Unexpected Product
Abstract
1. Introduction
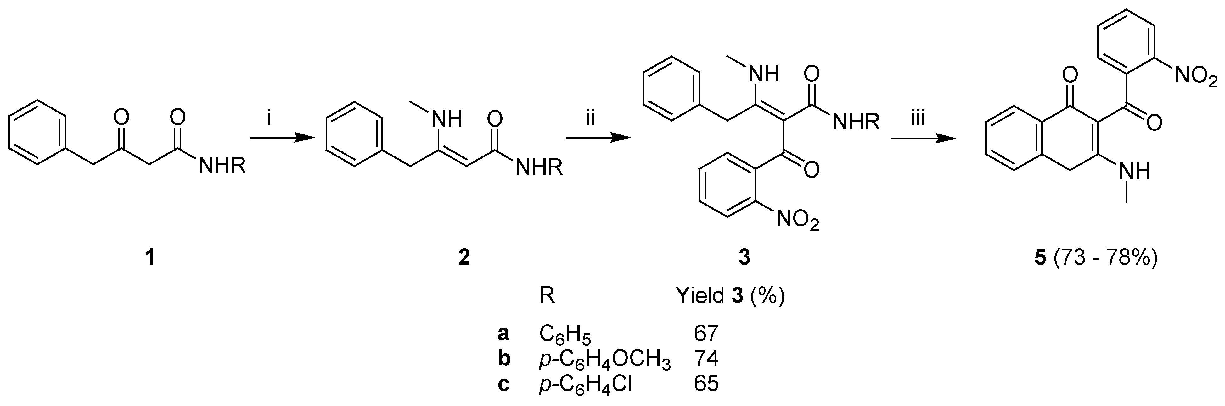
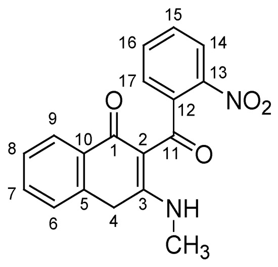
2. Results
3. Materials and Methods
Supplementary Materials
Author Contributions
Funding
Data Availability Statement
Conflicts of Interest
References
- Saalim, M.; Villegas-Moreno, J.; Clark, B.R. Bacterial alkyl-4-quinolones: Discovery, structural diversity and biological properties. Molecules 2020, 25, 5689. [Google Scholar] [CrossRef] [PubMed]
- Szamosvári, D.; Böttcher, T. 4-Quinolone N-Oxides as Bacterial Weapons. Synlett 2018, 29, 542–547. [Google Scholar] [CrossRef]
- Huse, H.; Whiteley, M. 4-Quinolones: Smart Phones of the Microbial World. Chem. Rev. 2011, 111, 152–159. [Google Scholar] [CrossRef] [PubMed]
- Schütz, C.; Empting, M. Targeting the Pseudomonas quinolone signal quorum sensing system for the discovery of novel anti-infective pathoblockers. Beilstein J. Org. Chem. 2018, 14, 2627–2645. [Google Scholar] [CrossRef] [PubMed]
- Muimhneacháin, E.Ó.; Reen, F.J.; O’Gara, F.; McGlacken, G.P. Analogues of Pseudomonas aeruginosa signaling molecules to tackle infections. Org. Biomol. Chem. 2018, 16, 169–179. [Google Scholar] [CrossRef] [PubMed]
- Hays, E.E.; Wells, I.C.; Katzman, P.A.; Cain, C.K.; Jacobs, F.A.; Thayer, S.A.; Doisy, E.A.; Gaby, W.L.; Roberts, E.C.; Muir, R.D.; et al. Antibiotic substances produced by Pseudomonas aeruginosa. J. Biol. Chem. 1945, 159, 725–750. [Google Scholar] [CrossRef]
- Wells, I.C. Antibiotic substances produced by Pseudomonas aeruginosa. Syntheses of Pyo 1b, Pyo 1c, and Pyo III. J. Biol. Chem. 1952, 196, 331–340. [Google Scholar] [CrossRef] [PubMed]
- Nguyen, T.H.N.; Szamosvári, D.; Böttcher, T. Synthesis of bacterial 2-alkyl-4(1H)-quinolone derivatives. Arkivoc 2021, part ix, 218–239. [Google Scholar] [CrossRef]
- Li, J.; Sun, W.; Saalim, M.; Wei, G.; Zaleta-Pinet, D.A.; Clark, B.R. Isolation of 2-Alkyl-4-quinolones with Unusual Side Chains from a Chinese Pseudomonas aeruginosa Isolate. J. Nat. Prod. 2020, 83, 2294–2298. [Google Scholar] [CrossRef] [PubMed]
- Li, J.; Clark, B.R. Synthesis of Natural and Unnatural Quinolones Inhibiting the Growth and Motility of Bacteria. J. Nat. Prod. 2020, 83, 3181–3190. [Google Scholar] [CrossRef] [PubMed]
- Mollova-Sapundzhieva, Y.; Angelov, P.; Georgiev, D.; Yanev, P. Synthetic approach to 2-alkyl-4-quinolones and 2-alkyl-4-quinolone-3-carboxamides based on common β-keto amide precursors. Beilstein J. Org. Chem. 2023, 19, 1804–1810. [Google Scholar] [CrossRef] [PubMed]
- Venkov, A.P.; Angelov, P.A. Synthesis of Unsymmetrical β-Enamino Ketones. Synthesis 2003, 14, 2221–2225. [Google Scholar] [CrossRef]
- Angelov, P. Enamine-Based Domino Strategy for C-Acylation/Deacetylation of Acetoacetamides: A Practical Synthesis of β-Keto Amides. Synlett 2010, 8, 1273–1275. [Google Scholar] [CrossRef]






Disclaimer/Publisher’s Note: The statements, opinions and data contained in all publications are solely those of the individual author(s) and contributor(s) and not of MDPI and/or the editor(s). MDPI and/or the editor(s) disclaim responsibility for any injury to people or property resulting from any ideas, methods, instructions or products referred to in the content. |
© 2024 by the authors. Licensee MDPI, Basel, Switzerland. This article is an open access article distributed under the terms and conditions of the Creative Commons Attribution (CC BY) license (https://creativecommons.org/licenses/by/4.0/).
Share and Cite
Angelov, P.; Mollova-Sapundzhieva, Y.; Nedialkov, P. Attempted Synthesis of the Pseudomonas aeruginosa Metabolite 2-Benzyl-4(1H)-quinolone and Formation of 3-Methylamino-2-(2-nitrobenzoyl)-4H-naphthalen-1-one as an Unexpected Product. Molbank 2024, 2024, M1877. https://doi.org/10.3390/M1877
Angelov P, Mollova-Sapundzhieva Y, Nedialkov P. Attempted Synthesis of the Pseudomonas aeruginosa Metabolite 2-Benzyl-4(1H)-quinolone and Formation of 3-Methylamino-2-(2-nitrobenzoyl)-4H-naphthalen-1-one as an Unexpected Product. Molbank. 2024; 2024(3):M1877. https://doi.org/10.3390/M1877
Chicago/Turabian StyleAngelov, Plamen, Yordanka Mollova-Sapundzhieva, and Paraskev Nedialkov. 2024. "Attempted Synthesis of the Pseudomonas aeruginosa Metabolite 2-Benzyl-4(1H)-quinolone and Formation of 3-Methylamino-2-(2-nitrobenzoyl)-4H-naphthalen-1-one as an Unexpected Product" Molbank 2024, no. 3: M1877. https://doi.org/10.3390/M1877
APA StyleAngelov, P., Mollova-Sapundzhieva, Y., & Nedialkov, P. (2024). Attempted Synthesis of the Pseudomonas aeruginosa Metabolite 2-Benzyl-4(1H)-quinolone and Formation of 3-Methylamino-2-(2-nitrobenzoyl)-4H-naphthalen-1-one as an Unexpected Product. Molbank, 2024(3), M1877. https://doi.org/10.3390/M1877

