Synthesis of Novel Diterpenic Peptides via the Ugi Reaction and Their Anticancer Activities
Abstract
1. Introduction
2. Results and Discussion
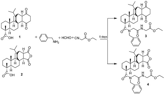
2.1. Chemistry
2.2. Biological Assay
3. Materials and Methods
3.1. General Procedure
3.1.1. Ethyl N-benzyl-N-(13-isopropyl-7,10a-dimethyl-1,4-dioxo-2,3,4,4a,5,6,6a,7,8,9,10,10a,10b,11,12,12a-hexadecahydro-1H-4b,12-ethenochrysene-7-carbonyl) glycylglycinate (3)
3.1.2. Ethyl N-benzyl-N-(12-isopropyl-6,9a-dimethyl-1,3-dioxo-3,3a,4,5,5a,6,7,8,9,9a,9b,10,11,11a-tetradecahydro-1H-3b,11-ethenophenanthro[1,2-c]furan-6-carbonyl)glycylglycinate (4)
3.2. Anticancer Assay
4. Conclusions
Supplementary Materials
Author Contributions
Funding
Data Availability Statement
Acknowledgments
Conflicts of Interest
References
- WHO. Available online: https://www.who.int/data/gho/data/indicators/indicator-details/GHO/cancer-age-standardized-death-rates-%2815-%29-per-100-000-population (accessed on 6 September 2018).
- Tretyakova, E.V.; Smirnova, I.E.; Salimova, E.V.; Odinokov, V.N. Synthesis and antiviral activity of maleopimaric and quinopimaric acids’ derivatives. Bioorg. Med. Chem. 2015, 23, 6543–6550. [Google Scholar] [CrossRef] [PubMed]
- Tretyakova, E.V.; Smirnova, I.E.; Kazakova, O.B.; Tolstikov, G.A.; Yavorskaya, N.P.; Golubeva, I.S.; Pugacheva, R.B.; Apryshko, G.N.; Poroikov, V.V. Synthesis and anticancer activity of quinopimaric and maleopimaric acids’ derivatives. Bioorg. Med. Chem. 2014, 22, 6481–6489. [Google Scholar] [CrossRef] [PubMed]
- González, M.A. Synthetic derivatives of aromatic abietane diterpenoids and their biological activities. Eur. J. Med. Chem. 2014, 87, 834–842. [Google Scholar] [CrossRef]
- Akaberi, M.; Mehri, S.; Iranshahi, M. Multiple pro-apoptotic targets of abietane diterpenoids from Salvia species. Fitoterapia 2015, 100, 118–132. [Google Scholar] [CrossRef]
- Faustino, C.; Neto, Í.; Fonte, P.; Macedo, A. Cytotoxicity and Chemotherapeutic Potential of Natural Rosin Abietane Diterpenoids and their Synthetic Derivatives. Cur. Pharm. Des. 2018, 24, 4362–4375. [Google Scholar] [CrossRef]
- Lage, H.; Duarte, N.; Coburger, C.; Hilgeroth, A.; Ferreira, M.J.U. Antitumor activity of terpenoids against classical and atypical multidrug resistant cancer cells. Phytomedicine 2010, 17, 441–448. [Google Scholar] [CrossRef]
- Tretyakova, E.V.; Salimova, E.V.; Parfenova, L.V.; Yunusbaeva, M.M.; Dzhemileva, L.U.; D’yakonov, V.V.; Dzhemilev, U.M. Synthesis of New Dihydroquinopimaric Acid Analogs with Nitrile Groups as Apoptosis-Inducing Anticancer Agents. Anticancer Agents Med. Chem. 2019, 19, 1172–1183. [Google Scholar] [CrossRef]
- Liu, X.; Chen, W.; Liu, Q.; Dai, J. Abietic acid suppresses non-small-cell lung cancer cell growth via blocking IKKβ/NF-κB signaling. OncoTargets Ther. 2019, 12, 4825–4837. [Google Scholar] [CrossRef]
- Haffez, H.; Osman, S.; Ebrahim, H.Y.; Hassan, Z.A. Growth Inhibition and Apoptotic Effect of Pine Extract and Abietic Acid on MCF-7 Breast Cancer Cells via Alteration of Multiple Gene Expressions Using In Vitro Approach. Molecules 2022, 27, 293. [Google Scholar] [CrossRef]
- Sierra, J.A.; Gilchrist, K.; Tabares-Guevara, J.H.; Betancur-Galvis, L.; Ramirez-Pineda, J.R.; González-Cardenete, M.A. Semisynthetic Abietic and Dehydroabietic Acid Derivatives and Triptoquinone Epimers Interfere with LPS-Triggered Activation of Dendritic Cells. Molecules 2022, 27, 6684. [Google Scholar] [CrossRef] [PubMed]
- Takahashi, N.; Kawada, T.; Goto, T.; Kim, C.S.; Taimatsu, A.; Egawa, K.; Yamamoto, T.; Jisaka, M.; Nishimura, K.; Yokota, K.; et al. Abietic acid activates peroxisome proliferator-activated receptor-γ (PPARγ) in RAW264.7 macrophages and 3T3-L1 adipocytes to regulate gene expression involved in inflammation and lipid metabolism. FEBS Lett. 2003, 550, 190–194. [Google Scholar] [CrossRef] [PubMed]
- Tretyakova, E.; Smirnova, I.; Kazakova, O.; Nguyen, H.T.T.; Shevchenko, A.; Sokolova, E.; Babkov, D.; Spasov, A. New Molecules of Diterpene Origin with Inhibitory Properties toward α-Glucosidase. Int. J. Mol. Sci. 2022, 23, 13535. [Google Scholar] [CrossRef]
- Younus, H.A.; Al-Rashida, M.; Hameed, A.; Uroos, M.; Salar, U.; Rana, S.; Khan, K.M. Multicomponent reactions (MCR) in medicinal chemistry: A patent review (2010–2020). Expert Opin. Ther. Pat. 2021, 31, 267–289. [Google Scholar] [CrossRef]
- Doemling, A. Recent developments in isocyanide based multicomponent reactions in applied chemistry. Chem. Rev. 2006, 106, 17–89. [Google Scholar] [CrossRef]
- Dömling, A.; Wang, W.; Wang, K. Chemistry and Biology of Multicomponent Reactions. Chem. Rev. 2012, 112, 3083–3135. [Google Scholar] [CrossRef] [PubMed]
- Tretyakova, E.V.; Ma, X.; Kazakova, O.B.; Shtro, A.A.; Petukhova, G.D.; Smirnova, A.A.; Xu, H.; Xiao, S. Abietic, maleopimaric and quinopimaric dipeptide Ugi-4CR derivatives and their potency against influenza A and SARS-CoV-2. Nat. Prod. Res. 2022, 37, 1954–1960. [Google Scholar] [CrossRef]
- Sultani, H.N.; Morgan, I.; Hussain, H.; Roos, A.H.; Haeri, H.H.; Kaluđerović, G.N.; Hinderberger, D.; Westermann, B. Access to New Cytotoxic Triterpene and Steroidal Acid-TEMPO Conjugates by Ugi Multicomponent-Reactions. Int. J. Mol. Sci. 2021, 22, 7125. [Google Scholar] [CrossRef] [PubMed]
- Lesma, G.; Luraghi, A.; Silvani, A.; Mattiuzzo, E.; Bortolozzi, R.; Viola, G.; Silvani, A. Multicomponent Approach to Bioactive Peptide–Ecdysteroid Conjugates: Creating Diversity at C6 by Means of the Ugi Reaction. Synthesis 2016, 48, 3907–3916. [Google Scholar] [CrossRef][Green Version]
- Wiemann, J.; Heller, L.; Csuk, R. An access to a library of novel triterpene derivatives with a promising pharmacological potential by Ugi and Passerini multicomponent reactions. Eur. J. Med. Chem. 2018, 150, 176–194. [Google Scholar] [CrossRef] [PubMed]
- Wiemann, J.; Fischer, L.; Kessler, J.; Csuk, R. Ugi multicomponent-reaction: Syntheses of cytotoxic dehydroabietylamine derivatives. Bioorg. Chem. 2018, 81, 567–576. [Google Scholar] [CrossRef]
- Herz, W.; Nair, M.G. Resin acids. XIX. Structure and Stereochemistry of Adducts of Levopimaric Acid with Cyclopentenone and 1 -Cyclopentene-3,5-dione. Favorskii Reaction of an Enedione Epoxide. J. Org. Chem. 1969, 34, 4016–4023. [Google Scholar] [CrossRef]
- Zalkov, L.U.; Ford, R.A.; Cutney, J.P. Oxidation of maleopimaric acid with alkaline permanganate. J. Org. Chem. 1962, 27, 3535–3539. [Google Scholar] [CrossRef]
- Shoemaker, R.H. The NCI60 human tumour cell line anticancer drug screen. Nat. Rev. Cancer 2006, 6, 813–823. [Google Scholar] [CrossRef] [PubMed]

Disclaimer/Publisher’s Note: The statements, opinions and data contained in all publications are solely those of the individual author(s) and contributor(s) and not of MDPI and/or the editor(s). MDPI and/or the editor(s) disclaim responsibility for any injury to people or property resulting from any ideas, methods, instructions or products referred to in the content. |
© 2023 by the authors. Licensee MDPI, Basel, Switzerland. This article is an open access article distributed under the terms and conditions of the Creative Commons Attribution (CC BY) license (https://creativecommons.org/licenses/by/4.0/).
Share and Cite
Smirnova, A.A.; Zakirova, L.M.; Smirnova, I.E.; Tretyakova, E.V. Synthesis of Novel Diterpenic Peptides via the Ugi Reaction and Their Anticancer Activities. Molbank 2023, 2023, M1707. https://doi.org/10.3390/M1707
Smirnova AA, Zakirova LM, Smirnova IE, Tretyakova EV. Synthesis of Novel Diterpenic Peptides via the Ugi Reaction and Their Anticancer Activities. Molbank. 2023; 2023(3):M1707. https://doi.org/10.3390/M1707
Chicago/Turabian StyleSmirnova, Anna A., Liana M. Zakirova, Irina E. Smirnova, and Elena V. Tretyakova. 2023. "Synthesis of Novel Diterpenic Peptides via the Ugi Reaction and Their Anticancer Activities" Molbank 2023, no. 3: M1707. https://doi.org/10.3390/M1707
APA StyleSmirnova, A. A., Zakirova, L. M., Smirnova, I. E., & Tretyakova, E. V. (2023). Synthesis of Novel Diterpenic Peptides via the Ugi Reaction and Their Anticancer Activities. Molbank, 2023(3), M1707. https://doi.org/10.3390/M1707
