You are currently viewing a new version of our website. To view the old version click .
Molbank
  • Short Note
  • Open Access

2 July 2021

N-{2-[(3-Oxo-1,3-dihydro-2-benzofuran-1-yl)acetyl]phenyl}acetamide

,
,
and
Investigation Group in Heterocyclic Chemistry, Chemistry Department, Universidad Nacional de Colombia-Sede Bogotá, Carrera 30, Calle 45-03, Bogotá 111321, Colombia
*
Author to whom correspondence should be addressed.
This article belongs to the Collection Molecules from Side Reactions

Abstract

With the aim of obtaining different derivatives belonging to the isoindolo[2,1-a]quinoline family, we have synthesized a novel N-{2-[(3-oxo-1,3-dihydro-2-benzofuran-1-yl)acetyl]phenyl}acetamide derivative by a Claisen–Smichdt-type condensation reaction in 75% yield.

1. Introduction

2-Benzofuran-1(3H)-ones or isobenzofuranones (also known as phthalides) are considered privileged scaffolds, owing to their wide range of biological properties. More precisely, some phthalide derivatives have been evaluated as antioxidant 1 [], anti-HIV-1 2 [], antileishmanial 3 [] and antifungal 4 [] while other phthalides are known for their herbicidal properties 5 [] (Figure 1).
Figure 1. Some examples of phthalide derivatives with outstanding biological activities.
Additionally, phthalide derivatives are important intermediates in the synthesis of other relevant heterocyclic systems, as is the case for 2,3-dihydro-1H-isoindol-1-one derivatives, which are another type of unique molecules [,,,] (Scheme 1).
Scheme 1. Synthesis of 2,3-dihydro-1H-isoindol-1-one derivatives 8 from pthalides 6.
Herein, we carried out the synthesis of a phtalide derivatives based on a Claisen–Smichdt reaction. We surmise that the novel synthetic route proposed could be exploited for the generation of new compounds that belong to the isoindolo[2,1-a]quinoline scaffold 9 (Figure 2).
Figure 2. General structure of the target isoindolo[2,1-a]quinoline derivatives.

2. Results and Discussion

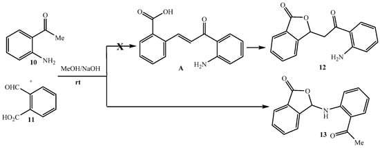
The synthesis of isoindolo[2,1-a]quinoline derivatives 9 (Figure 2) was based on a first condensation step to obtain product 12 as the key intermediate, mediated by the Claisen–Schmidt reaction as depicted in Scheme 2.
Scheme 2. Attempt of synthesis of compound 12.
However, we were not able to isolate intermediate 12. Instead, we obtained byproduct 13. Normally, compounds such as 12 are obtained in basic or neutral conditions, in a good yield [,,,,]. Therefore, chalcone A should be presumably an intermediate in the synthesis of compound 12.
In order to overcome the aforementioned drawback, we proposed a new synthetic route which began with the preparation of 2,3-dimethylindole (14) using a Fischer indole methodology. Then, the indole 14 was oxidized with a Witkop oxidation reaction to yield 2-(N-acetyl)acetophenone derivative 15 in an 80% yield. Finally, the Claisen–Schmidt-type reaction between 15 and aldehyde 11 (Scheme 3) generated compound 16 (N-acetyl derivative of intermediate 12) in a remarkable 75% yield.
Scheme 3. Synthetic sequence for the target N-acetyl derivative 16.
Compound 16 was characterized by a set of high resolution analytical techniques (IR, NMR, MS) and by its melting point. In the IR spectrum, at 3313 cm−1 an absorption band corresponding to N-H of the N-acetylated group was observed. At 1764 cm−1 a strong absorption band was assigned to the lactone carbonyl group. Another characteristic signal found at 1692 cm−1 was assigned to the ketone carbonyl group. Finally, the absorption bands attributed to the C-O and C-N bonds appeared around 1018 cm−1 and 1232 cm−1. The high-resolution mass spectrum of compound 16 featured an ion peak at m/z = 332.08905 that is in accordance with the [M + Na]+ molecular ion. The spectrum also revealed the presence of two peaks at m/z = 310.10700 and 348.06267, attributed to ions [M + H]+ and [M + K]+, respectively.
The 1H NMR spectrum (Supplementary Materials) of the pure compound showed a set of signals that was in accordance with the proposed structure. Thus, the firs signal encountered at 11.07 ppm was attributed to NH proton. In the low-field region, we detected three doublets resonating at 8.22, 7.96 and 7.86 ppm that were assigned to protons H-14, H-5 and H-17, respectively. Two broad signals centered at 7.78 and 7.61 ppm were attributed to protons H-7, H-8, H-15 and H-16, respectively. The more shielded aromatic proton H-6 resonates as a triplet centered at 7.19 ppm. Three sets of signals, which are related to an ABX system, appear centered at 6.10, 3.85 and 3.70 ppm, respectively. These signals were assigned to H-11 (HX) and H-10 (HA and HB). Finally, in the high-field region of the spectrum, we observed only the presence of a singlet, centered at 2.14 ppm, that corresponded to the methyl group of the N-acetyl portion (H-2).
Additionally, in the 13C NMR spectrum, we observed a total of 18 signals. These findings are further supported by the APT experiment, in which seven signals for quaternary carbons were observed (in agreement with the proposed structure): three belonging to the carbonyl groups at 200.4 (C-9), 169.9 (C-13) and 169.0 (C-1) ppm, while the others corresponded to aromatic carbons. In addition, in the high-field region we observed the presence of a signal resonating at 44.4 ppm that was primarily attributed to the CH2 (C-10) carbon (methylene and quaternary carbons appear in negative phase in the APT spectrum). All these findings are in agreement with the proposed structure for compound 16.
In conclusion, we developed a three-step synthetic strategy which comprises a Fischer indole synthesis, a Witkop indole oxidation and a Claisen–Schmidt condensation reaction to obtain phthalide 16. We envisage that this synthetic route can prove useful for the preparation of isoindolo[2,1-a]quinoline 9 derivatives.

3. Materials and Methods

3.1. General Information

Reagents and solvents used were obtained from commercial sources and were used without previous purification. The reaction progress was monitored by TLC with 0.2 mm precoated plates of silica gel 60 F254 (Merck). The melting point was measured using a Stuart SMP3 melting point apparatus (Cole-Parmer, Staffordshire, UK) and is uncorrected. The IR spectrum was recorded on a Shimadzu IR Affinity (Shimadzu, Kyoto, Japan) with ATR probe. The 1H and 13C-NMR spectra were recorded in a BRUKER DPX 400 spectrophotometer (Bruker, Bruker BioSpin GmbH, Rheinstetten, Germany) operating at 400 and 100 MHz, respectively, using DMSO-d6 as the solvent. Chemical shifts (δ) are given in ppm and coupling constants (J) are given in Hz. The following abbreviations are used for multiplicities: s = singlet, d = doublet, t = triplet, dd = doublet of doublets, and m = multiplet. The mass spectrum was acquired on a SHIMADZU Quadrupole Time-of-Flight Liquid Chromatograph Mass Spectrometer (Q-TOF LCMS-9030 using the Nexera Mikros).

3.2. Synthesis of N-{2-[(3-Oxo-1,3-dihydro-2-benzofuran-1-yl)acetyl]phenyl}acetamide 16

A mixture of 2-formylbenzoic acid (2 mmol) and NaOH (4 mmol) was dissolved in 10 mL of MeOH. The mixture was stirred for 5 min at room temperature, then compound 15 (2 mmol) was added. The reaction was stirred at 20 °C for 12 h (TLC control). At the end, the reaction mixture was neutralized with AcOH and poured into 40 mL of water. The obtained solid was collected and washed with cold acetone yielding compound 16 as a beige solid.
Yield: 464 mg, 75%. Rf = 0.28 (Hexane:Ethyl acetate (6:4)). M.p. 171–173 °C. FT-IR (KBr disk) (cm−1): 3313 (NH), 2921 (aliphatic CH), 1764, 1692, 1648 (C=O). 1H NMR (400 MHz, DMSO-d6) δ (ppm) 2.14 (s, 3H, CH3), 3.70 (dd, J = 7.7 Hz, 1H), 3.85 (dd, J = 6.7 Hz, 1H), 6.10 (dd, 1H), 7.19 (t, J = 7.6 Hz, 1H), 7.58–7.64 (m, J = 7.3 Hz, 1H, H-4), 7.74–7.82 (m, J = 7.3 Hz, 1H), 7.86 (d, J = 7.9 Hz, 2H), 7.96 (d, J = 7.7 Hz, 2H), 8.22 (d, J = 8.0 Hz, 1H), 11.07 (s, 1H, NH). 13C NMR (100 MHz, DMSO-d6) δ (ppm) 24.7 (C-2), 44.4 (C-10), 77.2 (C-11), 121.2 (CH), 123.0 (CH), 123.2 (CH), 124.8 (C-17a), 125.0 (C-5), 125.5 (C-3), 129.4 (CH), 130.8 (CH), 134.3 (CH), 134.4 (CH), 138.8 (C-13a), 149.8 (C-4), 169.0 (C-1), 169.9 (C-13), 200.4 (C-9). HR-MS (ESI+): m/z calculated for [M + H]+: 310.10738, found: 310.10700; calculated for [M + Na]+: 332.08988, found: 332.08905 and calculated for: [M + K]+: 348.06382, found: m/z: 348.06267.

Supplementary Materials

The following materials: Figure S1. 1H-NMR spectrum for compound 16, Figure S2. 13C-NMR spectrum for compound 16, Figure S3. APT spectrum for compound 16, Figure S4. High Resolution Mass Spectrum for compound 16 and Figure S5. FT-IR spectrum for compound 16.

Author Contributions

The authors R.R., O.L., F.Q. and J.C. designed and accomplished the research. They also analyzed the data and wrote the paper together. Finally, all authors have read and agreed to the published version of the manuscript.

Funding

This research received no external funding.

Institutional Review Board Statement

Not applicable.

Data Availability Statement

The data presented in this study are available in this article.

Acknowledgments

The authors wish to thank the Universidad Nacional de Colombia-Sede Bogotá and Dirección de Investigación y Extensión, Sede Bogotá for financial support. Authors thank Rodrigo Abonia, Paula J. Celis-Salazar and Andres Felipe Sierra for reviewing the present manuscript.

Conflicts of Interest

The authors declare no conflict of interest.

References

  1. Zou, S.; Wang, Z.; Wang, J.; Wei, G.; Wang, W.; Zang, Y.; Zeng, F.; Chen, K.; Liu, J.; Wang, J.; et al. Five new aza-epicoccone derivatives from Aspergillus flavipes. Fitoterapia 2018, 124, 127–131. [Google Scholar] [CrossRef] [PubMed]
  2. Qin, X.-D.; Dong, Z.-J.; Liu, J.-K.; Yang, L.-M.; Wang, R.-R.; Zheng, Y.-T.; Lu, Y.; Wu, Y.-S.; Zheng, Q.-T. Concentricolide, an anti-HIV agent from the ascomycete Daldinia concentrica. Helv. Chim. Acta 2006, 89, 127–133. [Google Scholar] [CrossRef]
  3. Rodrigues, M.P.; Tomaz, D.C.; de Souza, L.Â.; Onofre, T.S.; de Menezes, W.A.; Almeida, J.; Suarez, A.M.; de Almeida, M.R.; da Silva, A.M.; Costa, G.; et al. Synthesis of cinnamic acid derivatives and leishmanicidal activity against Leishmania braziliensis. Eur. J. Med. Chem. 2019, 183, 111688. [Google Scholar] [CrossRef] [PubMed]
  4. Fan, L.; Luo, B.; Luo, Z.; Zhang, L.; Fan, J.W.; Tang, L.; Li, Y. Synthesis and antifungal activities of 3-substituted phthalide derivatives. Z. Naturforsch. B 2019, 74, 811–818. [Google Scholar] [CrossRef]
  5. Teixeira, R.R.; Pereira, W.L.; Tomaz, D.C.; de Oliveira, F.M.; Giberti, S.; Forlani, G. Synthetic analogues of the natural com-pound cryphonectric acid interfere with photosynthetic machinery through two different mechanisms. J. Agric. Food Chem. 2013, 61, 5540–5549. [Google Scholar] [CrossRef] [PubMed]
  6. Zhang, S.; Shi, X.; Li, J.; Hou, Z.; Song, Z.; Su, X.; Peng, D.; Wang, F.; Yu, Y.; Zhao, G. Nickel-catalized amidoalkylation reaction of γ-hidroxy lactams: An access to 3-substituted isoindolinones. ACS Omega 2019, 4, 19420–19436. [Google Scholar] [CrossRef] [PubMed]
  7. Sashidhara, K.V.; Singh, L.R.; Palnati, G.R.; Avula, S.R.; Kant, R. A catalyst-free one pot protocol for the construction of sub-stituted isoindolinones under sustainable conditions. Synlett 2016, 27, 2384–2390. [Google Scholar] [CrossRef][Green Version]
  8. Lübbers, T.; Angehrn, P.; Gmünder, H.; Herzig, S. Design, synthesis, and structure-activity relationship studies of new phenolic DNA gyrase inhibitors. Bioorg. Med. Chem. Lett. 2007, 17, 4708–4714. [Google Scholar] [CrossRef] [PubMed]
  9. Bassin, J.P.; Anagani, B.; Benham, C.; Goyal, M.; Hashemian, M.; Gerhard, U. Synthesis and spectral characterization of ben-zo-[6,7][1,5]diazocino[2,1-a]isoindol-12-(14H)-one derivatives. Molecules 2016, 21, 967. [Google Scholar] [CrossRef] [PubMed]
  10. Abonia, R.; Cuervo, P.; Insuasty, B.; Quiroga, J.; Nogueras, M.; Cobo, J.; Meier, H.; Lotero, E. An Amberlyst-15® Mediated Synthesis of New Functionalized Dioxoloquinolinone Derivatives. TOOCJ 2008, 2, 26–34. [Google Scholar] [CrossRef]
  11. Lee, J.; Jung, H. An Efficient Synthesis of 2,3-Dihydro-2-phenyl-4-quinolones from 2’-Aminoacetophenones. J. Korean Chem. Soc. 2007, 51, 106–110. [Google Scholar] [CrossRef]
  12. Yaeghoobi, M.; Frimayanti, N.; Chee, C.F.; Ikram, K.K.; Najjar, B.O.; Zain, S.M.; Abdullah, Z.; Wahab, H.; Rahman, N.A. QSAR, in silico docking and in vitro evaluation of chalcone derivatives as potential inhibitors for H1N1 virus neuraminidase. Med. Chem. Res. 2016, 25, 2133–2142. [Google Scholar] [CrossRef]
  13. Pan, G.F.; Su, L.; Zhang, Y.L.; Guo, S.H.; Wang, Y.Q. Organocatalytic one-pot asymmetric synthesis of 2-aryl-2,3-dihydro-4-quinolones. RSC Adv. 2016, 6, 25375–25378. [Google Scholar] [CrossRef]
  14. Ullah, A.; Ansari, F.L.; ul-Haq, I.; Nazir, S.; Mirza, B. Combinatorial synthesis, lead identification, and antitumor study of a chalcone-based positional-scanning library. Chem. Biodivers. 2007, 4, 203–214. [Google Scholar] [CrossRef]
Publisher’s Note: MDPI stays neutral with regard to jurisdictional claims in published maps and institutional affiliations.

Article Metrics

Citations

Article Access Statistics

Multiple requests from the same IP address are counted as one view.