Abstract
The synthesis and spectroscopic characterization of the glutaric acid-amide derivative, 2,4-Cl2C6H3N(H)C(=O)(CH2)3C(=O)OH (1), are described. The X-ray crystal structure determination of (1) shows the backbone of the molecule to be kinked about the methylene-C–N(amide) bond as seen in the C(p)–N–C(m)–C(m) torsion angle of −157.0(2)°; m = methylene and p = phenyl. An additional twist in the molecule is noted between the amide and phenyl groups as reflected in the C(m)–N–C(p)–C(p) torsion angle of 138.2(2)°. The most prominent feature of the molecular packing is the formation of supramolecular tapes assembled through carboxylic acid-O–H…O(carbonyl) and amide-N–H…O(amide) hydrogen bonding.
1. Introduction
Hybrid glutaric acid-amides molecules of the general formula ArN(H)C(=O)(CH2)3C(=O)OH have attracted recent interest in terms of biological activity, that is, as anti-cancer and anti-leishmanial agents [1], their organotin derivatives, for anti-cancer potential [2], and X-ray crystallographic structural studies [3,4,5,6,7]. The Ar = 2,4-dichlorophenyl derivative (1), Figure 1, has been reported previously but without spectroscopic and crystallographic characterization [8]. The original synthesis was in the context of evaluating plant hormone regulators [8]. In continuation of earlier work in this area [1,2,3,4,5,6,7], the present study provides spectroscopic and crystallographic characterization of (1).
Figure 1.
Chemical diagram for 4-[(2,4-dichlorophenyl)carbamoyl]butanoic acid (1).
2. Results and Discussion
Compound (1) was prepared in 85% yield as colorless crystals from the 1:1 reaction of 2,4-dichloro aniline and glutaric anhydride in toluene. Spectroscopic characterization was performed by IR, 1H and 13C{1H} NMR, UV, and MS spectroscopy; spectra are available in the Supplementary Materials as Figures S1–S7. In the IR spectrum, characteristic absorptions assigned to ν(COOstretching), ν(amide C=O), and ν(COObending) were observed at 1695, 1653, and 1415 cm−1, respectively. The NMR assignments were based on the previous literature [1,2,3,4,5,6,7], COSY and HMBC spectra, and simulation [9]. The 1H NMR (DMSO-d6.) featured broad resonances at δ 11.23 and 9.57 ppm which were ascribed to COOH and NH, respectively. The most notable features in the 13C{1H} NMR (DMSO-d6) spectrum were downfield resonances at δ 174.6 and 171.7 ppm which were assigned to carboxylic acid and amide functionalities, respectively. Three well-defined absorptions are noted in the UV (acetonitrile) spectrum, at 259.0, 209.0, and 191.0 nm. These are ascribed to n-π*(C=O), π − π*(C=O), and π − π*(C=C) transitions, respectively, and are red-shifted compared to those reported for the 4-chloro analogue [7]. In the mass spectrum, the [M]+ ion peak was noted at 275.03 m/e and the base peak, [C6H4NCl2]+, at 161.02 m/e.
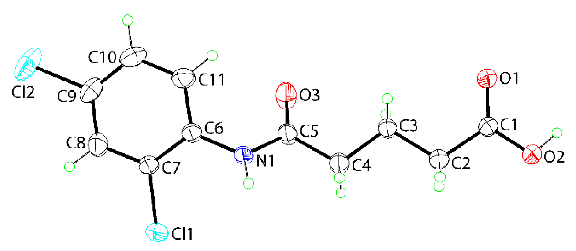
Figure 2 shows the molecular structure of (1). The rather disparate values of the C1–O1 and C1–O2 bond lengths of 1.219(3) and 1.300(3) Å, respectively, confirm the presence of a carboxylic acid group; further support for this assignment is seen in the supramolecular association (see below). An all-trans configuration in the carbon side chain is precluded owing to a twist about the C4–C5 bond as seen in the sequence of C1–C2–C3–C4 [−175.8(2)°], C2–C3–C4–C5 [−177.9(2)°], C3–C4–C5–N1 [−157.0(2)°], and C4–C5–N1–C6 [177.8(2)°] torsion angles. A further significant twist in the molecule is noted about the N1–C6 bond and is reflected in the C5–N1–C6–C7 [138.2(2)°] torsion angle; the O1–C1–C2–C3 torsion angle is 5.9(4)°, being indicative of a coplanar relationship in this part of the molecule.
Figure 2.
The molecular structure of (1) showing atom labeling and displacement ellipsoids at the 35% probability level.
As indicated in the introduction, there are several closely related ArN(H)C(=O)(CH2)3C(=O)OH structures in the crystallographic literature [3,4,5,6,7]. As seen in the overlay diagram of Figure 3, there is considerable conformational flexibility in these molecules. This flexibility relates to the relationship between the Ar ring and attached amide group, between the carboxylic acid group and the chain it is connected to, and in the conformation of the side chain. The latter is nicely illustrated for the two independent molecules comprising the asymmetric unit of the Ar = 2-MeOC6H4 compound, where the C3–C4–C5–N1 torsion angles of −117.9(3) and −161.8(2)°, respectively, indicate a distinctive kink in the former. It is noted that the substituents in the 2-position, when present, are consistently, approximately syn to the amide-N–H atom.
Figure 3.
Overlay diagram of molecules related to (1): (1), red image; Ar = 4-ClC6H4, green; 3-MeOC6H4, blue; 2-MeOC6H4, first independent molecule, purple; 2-MeOC6H4, second independent molecule, olive green; 3,5-Cl2C6H3, cyan; and 2-NO2, 4-OMeC6H3, pink. The molecules have been overlapped so the phenyl rings are coincidental and the amide functionalities are approximately aligned.
The aforementioned flexibility in the molecules is reflected in the ranges of torsion angle. Thus, the C5–N1–C6–C7 torsion angles relating the amide to Ar rings range from −16.4(5)° for the first independent molecule of the 2-methoxy derivative [4] to −133.95(18)° for the 3,5-dichloro molecule [5]. The range of O1–C1–C2–C3 torsion angles, relating to the relative orientation of the carboxylic acid residue and the chain it is connected to, is smaller, that is, 0.6(4)° for the first independent molecule of the 2-methoxy molecule [4] to 13.9(5)° for the 4-chloro derivative [7]. The deviations from coplanarity in the terminal C1–C2–C3–C4 and C4–C5–N1–C6 torsion angles are relatively minor, with maximum deviations manifested in the 171.1(2) and −173.66(14)° values, respectively for the first independent molecule of the 2-methoxy derivative [4] and the 3-methoxy derivative [6]. A prominent kink is noted about the C3–C4 bond in the 3,5-dichloro molecule [5], with C2–C3–C4–C5 = 78.5(2)°. Similarly, a major twist is noted about the C4–C5 bond for the first independent molecule of the 2-methoxy derivative [4], with C2–C3–C4–C5 = 117.9(3)°.
As often observed in the crystals of ArN(H)C(=O)(CH2)3C(=O)OH [3,4,5,6,7], the carboxylic acid residues form eight-membered {…OCOH}2 synthons to assemble a pair of molecules about a center of inversion; geometric parameters describing the identified intermolecular interactions are given in the caption to Figure 3. The resulting two molecule aggregates are connected into a supramolecular tape by amide-N–H…O(amide) hydrogen bonds as shown in Figure 4. The tapes pack in the crystal without directional interactions between according to the distance criteria assumed in PLATON [10].
Figure 4.
Molecular packing in the crystal of (1): (A) a view of the supramolecular tape featuring O–H...O and N–H...O hydrogen bonding shown as orange and blue dashed lines, respectively, and (B) a view of the unit-cell contents shown in projection down the a-axis. Selected intermolecular parameters: O2–H2o...O1i: [H2o...O1i = 1.84(3) Å, O2...O1i = 2.653(3) Å and angle at H2o = 170(4)° for symmetry operation (i) 1 − x, −y, −z], N1–H1n...O3ii [H1n...O3ii = 2.125(17) Å, N1...O3ii = 2.952(2) Å, and angle at H1n = 163(3)° for (ii) 1 + x, y, z].
The availability of seven closely related crystals offers the opportunities of ascertaining any trends. First and foremost, three of the molecules crystallize in the triclinic space group P¯1, namely (1), Ar = 2-MeOC6H4 [4], and 3-MeOC6H4 [6] and the three remaining molecules, namely Ar = 4-ClC6H4 [7], 3,5-Cl2C6H3 [5], and 2-NO2, 4-MeOC6H3 [3] crystallize in the monoclinic space group P21/c. Despite this, no isostructural relationships exist between any of the crystals. However, five of the crystals feature supramolecular tapes akin to that shown in Figure 3 for (1). This common supramolecular feature is reflected in similar unit cell edges along which the amide chains are propagated, that is, corresponding to the pitch of the supramolecular polymer; these range from 4.7931(2) for Ar = 4-ClC6H4 [7] to 5.0167(2) for Ar = 3-MeOC6H4 [6]. The Ar = 2-MeOC6H4 [4] compound adopts a distinct mode of supramolecular association whereby the two independent molecules associate via an eight-membered {…OCOH}2 synthon and amide-N–H…O(amide) hydrogen bonds giving rise to a twisted chain. The amide oxygen atom not participating in a conventional hydrogen bond forms C–H…O interactions and the amide-N-H does not form a close intermolecular contact [4].
In summary, a new ArN(H)C(=O)(CH2)3C(=O)OH derivative with Ar = 2,4-dichlorophenyl has been synthesized. X-ray crystallography shows a twist about the C(amide)–C(methylene) bond as well as between the Ar ring and amide group, and between the carboxylic acid residue and chain. In the crystal, supramolecular tapes mediated by carboxylic acid-O–H…O(carbonyl) and amide-N–H…O(amide) hydrogen bonding are prominent.
3. Materials and Methods
3.1. General Information
All standard chemicals and solvents were sourced from Macklin (Shanghai, China) and Sigma (Saint Louis, MO, USA) and used without further purification. The melting point was determined on a BioCote melting point apparatus (Staffordshire, UK). Elemental analyses were performed on a PerkinElmer CHNS 2400 instrument (Waltham, MA, USA). The FTIR spectrum was measured on a Thermo Nicolet-6700 spectrophotometer (Vienna, Austria) from 4000–450 cm−1. The 1H and 13C{1H} NMR spectra were recorded in DMSO-d6 solution on a Bruker Avance 500-MHz NMR (Billerica, MA, USA) spectrometer. The optical absorption spectrum was obtained from an acetonitrile solution (1.268 × 10−5 M) in the range 185–350 nm on a Shimadzu UV-3600 plus UV/VIS/NIR (Shimadzu Corporation, Kyoto Prefecture, Japan) spectrophotometer. The GC-MS spectrum was obtained using a Thermo Scientific TRACE™ 1310 Gas Chromatograph and Thermo Scientific ISQ™ Series Quadrupole GC-MS (Waltham, MA, USA) with conditions: carrier gas: helium; column gas flow: 1.2 mL/s; constant flow; injection mode: splitless injection; column: Agilent HP 5MS, (30 m × 0.25 mm × 25 µm); inlet temp.: 270 °C; oven temperature program: 40 °C (1 min) at 10 °C/min to 300 °C (7 min); transfer line temp.: 300 °C; solvent delay: 2.5 min; ionization energy: 70 eV; ion source temp.: 230 °C; mass range: 35–550 amu, scan rate: 3 scan/s; software: Xcalibur.
3.2. Synthesis and Characterization of (1)
2,4-Dichloro aniline (0.81 g, 5 mmol) and glutaric anhydride (0.57 g, 5 mmol) were dissolved separately in about 10–15 mL analytical grade toluene. The two solutions were combined slowly followed by stirring at room temperature until the appearance of a precipitate. This solution was filtered, and the filtrate was washed with a minimum amount of toluene (for the removal of any unreacted reactants) followed by water (for the removal of any glutaric acid formed during the reaction). The product was air-dried and recrystallized in the solvent mixture acetone/ethanol (1:1 v/v) to yield colorless crystals after one week. Yield: 85%. m.p.: 155–156 °C. Lit. 153–154 °C [8]. C11H11Cl2NO3: C, 47.85; H, 4.02; N, 5.07%. Found: C, 47.32; H, 3.82; N, 4.16%. FTIR: 3283 (m) ν(N–H), 2887 (w) ν(O–H), 1695 (s) ν(COOstretching), 1653 (s) ν(amide C=O), 1578 (m) ν(C=C), 1415 (m) ν(COObending). 1H NMR (500 MHz, DMSO-d6): δ 11.23 (s, 1H, OH), 9.57 (s, 1H, NH), 7.72 (d, 1H, H8, 3JHH = 8.5 Hz), 7.65 (d, 1H, H11, 3JHH = 2.5 Hz), 7.41 (dd, 1H, H10, 4JHH = 2.5 Hz), 2.44 (t, 2H, H4, 3JHH = 7.5 Hz), 2.31 (t, 2H, H2, 3JHH = 7.5 Hz), 1.84 (quint, 2H, H3, 3JHH = 7.5 Hz). 13C{1H} NMR (125 MHz, DMSO-d6): δ 174.6 (C1), 171.7 (C5), 134.7 (C6), 129.8 (C9), 129.3 (C8), 128.1 (C7), 127.9 (C11), 125.4 (C10), 35.2 (C2), 33.4 (C4), 20.9 (C3). UV (acetonitrile; nm, L.cm−1.M−1): λabs = 259.0 (ε = 38214; n − π*(C=O)), 209.0 (47204; π − π*(C=O)), 191.0 (197861; π − π*(C=C)). MS: [M]+: 275.03 m/e; base peak ([C6H4NCl2]+): 161.02 m/e.
3.3. Crystallography
Intensity data for colorless crystal of (1) (0.04 × 0.07 × 0.18 mm) were measured at T = 294(2) K on an XtaLAB Synergy Dual AtlasS2 (Rigaku Polska SP. Z O O, Wrocław, Poland) diffractometer fitted with Cu Kα radiation (λ = 1.54184 Å) using ω-scans in the θmax range 3.7°–67.1°. Data reduction, including a gaussian absorption correction, was accomplished with CrysAlis Pro [11]. Of the 12,705 reflections measured, 2175 were unique (Rint = 0.082), and of these, 1888 data satisfied the I ≥ 2σ(I) criterion of observability. The structure was solved by direct methods [12] and refined (anisotropic displacement parameters and C-bound H atoms in the riding model approximation) on F2 [13]. The O–H and N–H atoms were located from a difference map and refined with O–H and N–H distance restraints of 0.82 ± 0.01 and 0.86 ± 0.01 Å, respectively. A weighting scheme of the form w = 1/[σ2(Fo2) + (0.110P)2 + 0.038P] was introduced, where P = (Fo2 + 2Fc2)/3). Based on the refinement of 160 parameters, the final values of R[I ≥ 2σ(I)] and wR (all data) were 0.055 and 0.165, respectively. The molecular structure diagram was generated with ORTEP for Windows [14] and the packing diagram using DIAMOND [15].
Crystal data for C11H11Cl2NO3 (1): M = 276.11, triclinic, P¯1, a = 4.7931(2) Å, b = 10.6920(6) Å, c = 12.0685(8) Å, α = 84.377(5)°, β = 82.736(5)°, γ = 83.802(4)°, V = 607.70(6) Å3, Z = 2, Dx = 1.509 g cm−3, F(000) = 284, and μ = 4.792 mm−1. CCDC deposition number: 2080586.
Supplementary Materials
The following are available online. Figure S1: FTIR spectrum of 4-[(2,4-dichlorophenyl)carbamoyl]butanoic acid (1), Figure S2: 1H NMR spectrum of 4-[(2,4-dichlorophenyl)carbamoyl]butanoic acid (1), Figure S3: 13C{1H} NMR spectrum of 4-[(2,4-dichlorophenyl)carbamoyl]butanoic acid (1), Figure S4: The COSY spectrum of 4-[(2,4-dichlorophenyl)carbamoyl]butanoic acid (1), Figure S5: The HMBC spectrum of 4-[(2,4-dichlorophenyl)carbamoyl]butanoic acid (1), Figure S6: UV spectrum of 4-[(2,4-dichlorophenyl)carbamoyl]butanoic acid (1), Figure S7: The GC-MS spectrum of 4-[(2,4-dichlorophenyl)carbamoyl]butanoic acid (1). Crystallographic data for (1) in crystallographic information file (CIF) format. CCDC 2080586 also contains the supplementary crystallographic data for this paper. These data can be obtained free of charge via http://www.ccdc.cam.ac.uk/conts/retrieving.html (accessed on 10 May 2021).
Author Contributions
Synthesis, formal analysis, writing—review, B.H.; conceptualization, writing—review and editing, M.S.; formal analysis, writing—review, Z.U.; formal analysis, writing—review, S.M.; formal analysis, writing—review, S.M.L.; crystallography, writing—review, K.M.L.; writing—review and editing, E.R.T.T. All authors have read and agreed to the published version of the manuscript.
Funding
The crystallographic aspects of this research was funded by Sunway University Sdn Bhd, grant number GRTIN-IRG-01-2021.
Institutional Review Board Statement
Not applicable.
Informed Consent Statement
Not applicable.
Data Availability Statement
Not applicable.
Conflicts of Interest
The authors declare no conflict of interest.
References
- Sirajuddin, M.; Ali, S.; Shahnawaz, A.; Perveen, F.; Andleeb, S.; Alie, S. Exploration of biological potency of carboxylic acid derivatives: Designing, synthesis, characterizations and molecular docking study. J. Mol. Struct. 2020, 1207, 127809. [Google Scholar] [CrossRef]
- Sirajuddin, M.; Ali, S.; McKee, V.; Matin, A. Synthesis, characterization and biological screenings of 5-coordinated organotin(IV) complexes based on carboxylate ligand. J. Mol. Struct. 2020, 1206, 127683. [Google Scholar] [CrossRef]
- Hanifa, B.; Sirajuddin, M.; Lo, K.M.; Tiekink, E.R.T. Crystal structure of 4-[(4-methoxy-2-nitrophenyl)carbamoyl]butanoic acid, C12H14N2O6. Z. Kristallogr. New Cryst. Struct. 2020, 235, 1435–1437. [Google Scholar] [CrossRef]
- Hanifa, B.; Sirajuddin, M.; Lo, K.M.; Tiekink, E.R.T. Crystal structure of 4-[(2-methoxyphenyl)carbamoyl]butanoic acid, C12H15NO4. Z. Kristallogr. New Cryst. Struct. 2020, 235, 1481–1483. [Google Scholar] [CrossRef]
- Sirajuddin, M.; Hanifa, B.; Ullah, S.; Lo, K.M.; Tiekink, E.R.T. Crystal structure of 4-[(3,5-dichlorophenyl)carbamoyl]butanoic acid, C11H11Cl2NO3. Z. Kristallogr. New Cryst. Struct. 2020, 235, 1495–1497. [Google Scholar] [CrossRef]
- Sirajuddin, M.; Hanifa, B.; Ullah, S.; Lo, K.M.; Tiekink, E.R.T. Crystal structure of 4-[(3-methoxyphenyl)carbamoyl]butanoic acid, C12H15NO4. Z. Kristallogr. New Cryst. Struct. 2020, 235, 1519–1521. [Google Scholar] [CrossRef]
- Hanifa, B.; Sirajuddin, M.; Bari, A.; Lee, S.M.; Lo, K.M.; Tiekink, E.R.T. 4-[(4-Chlorophenyl)carbamoyl]butanoic acid. Molbank 2021, 2021, M1209. [Google Scholar] [CrossRef]
- Skinner, C.G.; Sargent, D.R. Homeosterically related plant growth regulators. I. Synthesis. J. Agric. Food Chem. 1973, 21, 1057–1060. [Google Scholar] [CrossRef]
- ChemDoodle Version 9.1.0, Chemical and Biological Publishing Software; iChemLabs LLC.: Piscataway, VA, USA, 2007–2021. Available online: http://www.chemdoodle.com (accessed on 2 June 2021).
- Spek, A.L. checkCIF validation ALERTS: What they mean and how to respond. Acta Crystallogr. E 2020, 76, 1–11. [Google Scholar] [CrossRef] [PubMed]
- Rigaku Oxford Diffraction. CrysAlis PRO; Rigaku Corporation: Oxford, UK, 2017. [Google Scholar]
- Sheldrick, G.M. A short history of SHELX. Acta Crystallogr. A 2008, 64, 112–122. [Google Scholar] [CrossRef] [PubMed]
- Sheldrick, G.M. Crystal structure refinement with SHELXL. Acta Crystallogr. C 2015, 71, 3–8. [Google Scholar] [CrossRef] [PubMed]
- Farrugia, L.J. WinGX and ORTEP for Windows: An update. J. Appl. Crystallogr. 2012, 45, 849–854. [Google Scholar] [CrossRef]
- Brandenburg, K.; Putz, H. DIAMOND; Crystal Impact GbR: Bonn, Germany, 2006. [Google Scholar]
Publisher’s Note: MDPI stays neutral with regard to jurisdictional claims in published maps and institutional affiliations. |
© 2021 by the authors. Licensee MDPI, Basel, Switzerland. This article is an open access article distributed under the terms and conditions of the Creative Commons Attribution (CC BY) license (https://creativecommons.org/licenses/by/4.0/).



