Abstract
The α-methylated chalcone 3 with an electron-donor substituted A-aryl ring and an unsubstituted B-phenyl ring was synthesized by base-catalyzed aldehyde/acetophenone condensation. Compound 3 can be photo-switched from E→Z by irradiation with long-wavelength light λ > 350 nm, whereas irradiation with shorter wavelengths leads to photo-stationary states (PSS) with lower amounts of the Z-isomer. The limiting wavelength for fully equilibrated E⮀Z (PSS = 1) can be achieved around 240 nm. The stability of both E- and Z-isomers at the wavelength-dependent PSS under UV-irradiation between 250 and 350 nm is remarkably high as observed from UV and NMR spectroscopy. Compound 3 is fatigue resistant even after more than 10 days continuous irradiation and is also oxygenation-stable under singlet oxygen sensitization conditions. In remarkable contrast to many other α-methylated chalcones, no change in the E/Z-ratio was detected when PSS samples were treated with Broensted acids. The negative photochromic E→Z switch of 3 is accompanied by a conformational switch from the E-form in its preferred s-trans conformation to the Z-form in a distorted s-cis conformation (Es-c→Zs-t).
1. Introduction
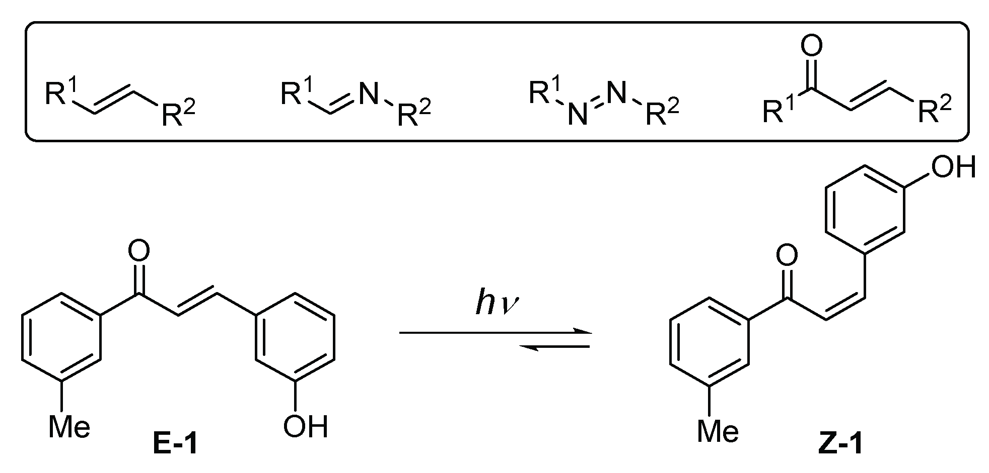
Photochromic molecules have a long tradition in history of chemistry [1]. Initially only an optical curiosity, photochromism developed into a highly productive and technically applicable phenomenon [2]. Compounds that behave photochromically are currently used in very different fields of applications ranging from photo-pharmacology [3,4,5], signaling, and sensing to information storage materials [6,7,8,9]. The general concept is the light-induced unimolecular switch of a molecule to a thermodynamically less stable configurational or constitutional isomer that is coupled with a back reaction that can be also light-induced or purely thermal [7]. Variations that are more complex in applications involve bimolecular processes, such as the addition or release of singlet oxygen [8]. Possible mechanisms for the return process to the initial states beside photochemical (P-type) and thermal (T-type) are Lewis- or Broensted-acid catalysis or changes in solvent properties, ion strength, or other physical parameters [9,10]. The structurally most versatile processes are cis/trans (E/Z) photo-switches that can involve CC-, CN-, or NN-double bonds as central switching units (alkenes, imines, azo compounds) [11,12]. A typical example for a P-type E⮀Z-switch with biological relevance is shown in Scheme 1 [13]: E-chalcone 1 shows antitumor-activities that are largely increased in the Z-configuration. A strong increase in pharmacological properties was also described for the electronic ground states of α-methylated chalcones in comparison with the non-methylated analogs [14]. We became therefore interested in photo-switch properties of these α-methylated chalcones [15] and their stability against singlet oxygen, a reactive oxygen species that often increases system fatigue in the photo-switching processes [16].
Scheme 1.
The four relevant E/Z-photo-switch chromophores and a photochromic chalcone 1 with configurationally dependent biological activities: an example for photo-pharmacology.
The target molecule 3 that is described here in detail has a special feature: two electronically highly differentiated aryl groups that were initially expected to lead to red-shifted absorption and higher PSS because of better spectral separation of the two configurational isomers. We have recently determined PSS for different donor-substituted and donor, acceptor-substituted α-methylated chalcones [16] and found relatively high Z/E-PSS (60:40 to 76:25) for all compounds using 350 nm excitation. From these wavelength-dependent PSS switching back to the E-configuration could be realized by treatment with Broensted acids.
2. Results
2.1. Synthesis and Structure of the α-Methyl Chalcone 2
The synthesis of 3 is conducted by a classical aldol condensation route in moderate yields (Scheme 2). The reaction proceeds exceedingly slowly (average reaction time at room temperature several days) possibly due to the lower acidity of the α-CH component. The condensation following aldol addition is highly diastereoselective and the E-isomer is formed with 95% diastereoselectivity (>99% after one recrystallization).
Scheme 2.
Aldol condensation route to diastereoisomerically pure chalcone E-3.
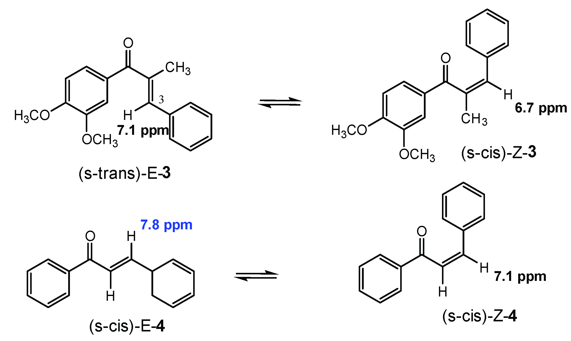
From the NMR analyses, the preferred conformation of E-3 could be estimated: the decisive 1H chemical shift of the ß-H of 7.1 ppm is indicatively shifted to lower fields in comparison with the ß-H in the parent E-chalcone (E-4, 7.8 ppm, Scheme 3). This interpretation is also supported by the crystal structure analysis of 3 (Figure 1). We have recently determined by DFT computations that the E-isomers of α-methyl chalcones are preferentially in s-trans configuration avoiding additional Aryl/Me steric strain. The Z-isomer of 3 is distorted from planarity due to the strong Ar/Ar-π-repulsion which is in excellent agreement with the 50 nm blue-shift observed during E→Z-photoisomerization (vide infra).
Scheme 3.
Configurational and conformational switching of the α-methyl chalcone 3 and the parent chalcone 4.
Figure 1.
Structure of the α-methyl E-chalcone 3 (s-trans configuration) in the crystal.
2.2. E/Z-Photoswitching, PSS, and PSS-Stability of the α-Methyl Chalcone 3
The photochromic behavior of 3 was studied in diluted acetonitrile solutions using different excitation wavelengths. As shown in Figure 2 for 350 nm excitation, the UV-absorption of 3 is rapidly changing after few seconds with hypochromic shifts at 290 and 270 nm (negative photochromism [17]) and an isosbestic point at 258 nm. No further changes in the absorption spectrum could be observed after 1 min and prolonged irradiation for several hours did not lead to further changes.
Figure 2.
Irradiation at 350 nm of a 10−5 M solution of the α-methyl chalcone 3 in acetonitrile solutions. The photostationary equilibrium (E/Z = 35:65) is reached is less than 1 min. Negative photochromism is apparent from the bleaching of the 300 nm absorption and hyperchromic shift at 230 nm.
From the UV-absorption analyses at different excitation wavelengths and quantum yield determinations at 344 nm, the data shown in Table 1 resulted. The PSS that were determined by NMR spectroscopy (see Figure 3) approach unity at shorter wavelength. The low PSS makes compound 3 not a useful representative of the α-methylated chalcones which usually can be switched to PSS > 29:71, e.g., compound 5 [16] and, more important, back-switched to the initial E/Z-mixture be treatment with Broensted acids (Scheme 4, [16]). The quantum yields for forward and backward switching for compound 3 were determined by the QYD-system as developed by Riedle and coworkers [18]. The Z→E switch process is more efficient than the E→Z switch at 344 nm and the PSS originates from the differences in ελ for the E- and Z-isomers, respectively, following the relation PPS = [ελ (E) × ΦλE→Z/ελ (Z) × ΦλZ→E].
Table 1.
Excitation wavelength, PSS, forward–backward photoisomerization quantum yields Φ.
Figure 3.
Long-time irradiation of the α-methyl chalcone 3 with 350 nm light in acetonitrile solutions, c = 10−4 M. The PSS (E/Z = 35:65) is reached after approx. 6 h. No degradation (<2%) is detectable even after > 11 days of continuous irradiation.
Scheme 4.
Comparison between photochromic switching and PSS at 350 nm and the Broensted acid back reactions of the α-methyl chalcone 3 and its methoxy analog 5 [16].
3. Materials and Methods
1H-NMR spectra were recorded on a Bruker Avance 300 or on a Bruker Avance 500 spectrometer (Bruker, Ettlingen, Germany) instruments operating at 500 MHz. Chemical shifts are reported as δ in ppm and the coupling constants J in Hz units. In all spectra, the solvent peaks were used as the internal standard. Solvents used were CDCl3 (δ = 7.24 ppm) and MeOH-d4 (δ = 3.35, 4.78 ppm). Splitting patterns are designated as follows: s, singlet; d, doublet; t, triplet; q, quartet; m, multiplet; br, broad; the 13C-NMR spectra were recorded either on a Bruker Avance 300 spectrometer instrument operating at 75 MHz, or on a Bruker Avance 500 spectrometer instrument operating at 125 MHz. High-resolution mass spectra (HR-MS) were recorded on a Finnigan MAT 900 spectrometer (Scientific Instrument Services, Ringoes, NJ, USA) and measured for the molecular ion peak (M+). IR spectra were obtained on a Si crystal Fourier-Transform spectrometer by Thermo Scientific (Nicolet 380 FT-IR). Absorption spectra were recorded on a Perkin-Elmer Lambda 35. The samples were placed into quartz cells of 1 cm path length. All samples were measured in a concentration of 10−5 M in acetonitrile.
Synthesis of (E)-1-(3,4-dimethoxyphenyl)-2-methyl-3-phenylprop-2-en-1-one (3). 1.50 g (7.72 mmol, 1.0 eq.) of dimethoxypropiophenone (2) and 0.83 mL (8.11 mmol, 1.05 eq.) of benzaldehyde were dissolved in a mixture of 20 mL of ethanol and 10 mL of water, treated 2.78 mL of a 10% aqueous NaOH-Lösung and stirred for 5 d at room temperature. Extraction with methylene chloride, washing with 1N aqueous HCl, drying and solvent evaporation followed by column chromatography (cHex:EtOAc, 10:1) delivered the chalcone 3 in 33% yield as slightly yellow needles, m.p. 81–82 °C. C18H18O3 (282.34 g/mol) (300 MHz, CDCl3): δ (ppm) = 7.47–7.41 (m, 6H, H-5, H-6, H-8, H-9, H-11, H-15), 7.38–7.33 (m, 1H, H-7), 7.14 (d, J = 1.2 Hz, 1H, H-3), 6.91 (d, J = 8.1 Hz, 1H, H-14), 3.97 (d, J = 5.7 Hz, 6H, H-17, H-18), 2.29 (d, J = 1.4 Hz, 3H, H-16). (75 MHz, CDCl3): δ (ppm) = 198.3 (s, C-1), 152.6 (s, C-13), 148.9 (s, C-12), 139.9 (s, C-3), 136.9 (s, C-2), 135.9 (s, C-4), 130.7 (s, C-10), 129.7 (d, C-6, C-8), 128.5 (d, C-5, C-9), 128.4 (d, C-7), 124.4 (d, C-15), 112.1 (d, C-11), 109.8 (d, C-14), 56.1 (q, C-18), 56.0 (q, C-17), 15.0 (q, C-16). ṽ (cm−1) = 3073 (w), 2965 (w), 2934 (w), 2902 (w), 2837 (w), 1631 (m), 1594 (m), 1581 (m), 1510 (m), 1447 (w), 1412 (w), 1356 (w), 1302 (w), 1263 (s), 1226 (m), 1179 (w), 1132 (m), 1022 (s), 947 (w), 879 (m), 849 (m), 766 (s), 745 (m), 722 (m), 699 (m), 657 (w), 598 (w), 527 (w). Calculated mass [M − H]+ = 283.1328710 [M − Na]+ = 305.1148156 determined mass (amu): [M − H]+ = 283.13329 [M − Na]+ = 305.11542.
Supplementary Materials
The following data are available online, Figures S1–S6: Chalcone 3: X-ray ellipsoid picture, ball and stick picture, 1H-NMR, 13C-NMR, and IR spectra, MS analysis, Table S1: data for X-ray structure analysis [19].
Author Contributions
Conceptualization, A.G.G.; X-ray analysis and data curation, J.M.N.; writing—original draft preparation, B.Ö. and A.G.G.; research, B.Ö.; supervision, A.G.G. All authors have read and agreed to the published version of the manuscript.
Funding
This research received no external funding.
Institutional Review Board Statement
Not applicable.
Informed Consent Statement
Not applicable.
Data Availability Statement
Data are contained within the article or Supplementary Materials.
Conflicts of Interest
The authors declare no conflict of interest.
References
- Bouas-Laurent, H.; Castellan, A.; Desvergne, J.P. From Anthracene Photo-Dimerization to Jaw Photochromic Materials and Photocrowns. Pure Appl. Chem. 1980, 52, 2633–2648. [Google Scholar]
- Bouas-Laurent, H.; Dürr, H. Organic Photochromism (IUPAC Technical Report). Pure Appl. Chem. 2001, 73, 639–665. [Google Scholar]
- Feringa, B.L.; van Delden, R.A.; Koumura, N.; Geertsema, E.M. Chiroptical Molecular Switches. Chem. Rev. 2000, 100, 1789–1816. [Google Scholar] [PubMed]
- Hull, K.; Morstein, J.; Trauner, D. In Vivo Photopharmacology. Chem. Rev. 2018, 118, 10710–10747. [Google Scholar] [CrossRef] [PubMed]
- Lerch, M.M.; Hansen, M.J.; van Dam, G.M.; Szymanski, W.; Feringa, B.L. Emerging Targets in Photopharmacology. Angew. Chem. Int. Ed. 2016, 55, 10978–10999. [Google Scholar] [CrossRef] [PubMed]
- Irie, M. Diarylethenes for Memories and Switches. Chem. Rev. 2000, 100, 1685–1716. [Google Scholar] [CrossRef] [PubMed]
- Bleger, D.; Hecht, S. Visible-Light-Activated Molecular Switches. Angew. Chem. Int. Ed. 2015, 54, 11338–11349. [Google Scholar] [CrossRef] [PubMed]
- Aubry, J.M.; Pierlot, C.; Rigaudy, J.; Schmidt, R. Reversible binding of oxygen to aromatic compounds. Acc. Chem. Res. 2003, 36, 668–675. [Google Scholar] [CrossRef] [PubMed]
- Sakata, Y.; Fukushima, S.; Akine, S.; Setsune, J. Solvent-dependent dual-mode photochromism between T-and P-types in a dipyrrinone derivative. Chem. Commun. 2016, 52, 1278–1281. [Google Scholar] [CrossRef] [PubMed]
- Kobatake, S.; Terakawa, Y. Acid-induced photochromic system switching of diarylethene derivatives between P- and T-types. Chem. Commun. 2007, 43, 1698–1700. [Google Scholar] [CrossRef] [PubMed]
- Hadjoudis, E.; Mavridis, I.M. Photochromism and thermochromism of Schiff bases in the solid state: Structural aspects. Chem. Soc. Rev. 2004, 33, 579–588. [Google Scholar] [CrossRef] [PubMed]
- Yun, C.; You, J.; Kim, J.; Huh, J.; Kim, E. Photochromic fluorescence switching from diarylethenes and its applications. J. Photochem. Photobiol. C 2009, 10, 111–129. [Google Scholar] [CrossRef]
- Iwata, S.; Nishino, T.; Inoue, H.; Nagata, N.; Satomi, Y.; Nishino, W.; Shibata, S. Antitumorigenic Activities of Chalcones (II). Photo-isomerization of Chalcones and the Correlation with Their Biological Activities. Biol. Pharm. Bull. 1997, 20, 1266–1270. [Google Scholar] [CrossRef] [PubMed]
- Ducki, S.; Forrest, R.; Ducki, S.; Forrest, R.; Hadfield, J.A.; Kendall, A.; Lawrence, N.J.; McGown, A.T.; Rennison, D. Potent Antimitotic and Cell Growth Inibitory Properties of Substituted Chalcones. Bioorg. Med. Chem. Lett. 1998, 8, 1051–1056. [Google Scholar] [CrossRef]
- Öngel, B. Novel Photoswitches Based on Phthalimide-Based Azobenzenes and Chalcones: Synthesis and Photophysical Study of Reversible E/Z Isomerization. Ph.D. Thesis, University of Cologne, Cologne, Germany, 2020. [Google Scholar]
- Griesbeck, A.G.; Öngel, B.; Brüllingen, E.; Renner, M. New Photochromic α-Methylchalcones are Highly Photostable, Even under Singlet Oxygen Conditions: Breaking the α-Methyl Michael-System Reactivity by Reversible Peroxybiradical Formation. Molecules 2021, 26, 642. [Google Scholar] [CrossRef] [PubMed]
- Tanaka, M.; Nakamura, M.; Abdussalam Salhin, M.A.; Ikeda, T.; Kamada, K.; Ando, H.; Shibutani, Y.; Kimura, K. Synthesis and Photochromism of Spirobenzopyran Derivatives Bearing an Oxymethylcrown Ether Moiety: Metal Ion-Induced Switching between Positive and Negative Photochromisms. J. Org. Chem. 2001, 66, 1533–1537. [Google Scholar] [CrossRef] [PubMed]
- Megerle, U.; Lechner, R.; König, B.; Riedle, E. Laboratory apparatus for the accurate, facile and rapid determination of visible light photoreaction quantum yields. Photochem. Photobiol. Sci. 2010, 9, 1400–1406. [Google Scholar] [CrossRef] [PubMed]
- Data from Crystal Structure Analysis are Deposited at the Cambridge Crystallographic Data Centre (CCDC) with the Deposition Number CCDC 2081479. Available online: https://www.ccdc.cam.ac.uk/ (accessed on 2 June 2021).
Publisher’s Note: MDPI stays neutral with regard to jurisdictional claims in published maps and institutional affiliations. |
© 2021 by the authors. Licensee MDPI, Basel, Switzerland. This article is an open access article distributed under the terms and conditions of the Creative Commons Attribution (CC BY) license (https://creativecommons.org/licenses/by/4.0/).






