Abstract
3′-methyl-2-oxo-1′,5′-diphenyl-1′,7′-dihydrospiro[indoline-3,4′-pyrazolo[3,4-b]pyridine]-6′-carboxylic acid was synthesized using diverse conditions. The best reaction condition consisted of using water as solvent under microwave irradiation, affording product in 76% yield.
1. Introduction
Spirooxindoles are important heterocycles due to their wide range of biological activities, such as antibacterial [1,2], antioxidant [3], antifungal [4], anticancer [5], among others. Isatin is one of the most useful starting materials for the synthesis of spiro-compounds exploiting the reactivity of C-3 carbon with different nucleophiles, which, depending on the reagent used, opens up the possibility of a cyclization process. Diverse authors reported some examples of spirooxindoles using water as a solvent: Khalafi-Nezhad and Mohammadi [6] synthesized the products I and II using a tricomponent reaction with a supported magnetic acid ionic liquid as a catalyst, Shi et al. [7] reported the product III synthesized using ceric ammonium nitrate (CAN) as a catalyst, Liu et al. [8] reported the synthesis of the product IV with dodecyl benzenesulfonic acid-functionalized silica-coated magnetic nanoparticles, and Ghahremanzadeh et al. [9] reported the synthesis of the product V with copper ferrite nanoparticles as the catalyst. In our group, we have broad expertise in the synthesis of spirooxindoles by multicomponent reactions: the product VI was obtained by cyclocondensation reaction and products VII to X by 1,3-dipolar cycloadditions [10,11,12] (Figure 1).
Figure 1.
Outstanding examples of spirooxindoles obtained by multicomponent reactions.
Due to the importance of the oxindole nucleus, the formation of Spirooxindole 4 is proposed through the one-pot reaction between 3-methyl-1-phenyl-1H-pyrazol-5-amine (1), isatin (2) and phenyl pyruvic acid (3).
2. Results and Discussion
In our study, several conditions were tested, including a diverse array of solvents, temperatures and heating sources, to find the best reaction conditions for the synthesis of 4 (Scheme 1 and Table 1). In all assays, sodium dodecyl sulfate (SDS) was used as a catalyst with a load of 0.1 g SDS/1 mmol of substrate [13]. All reactions were analyzed by thin-layer chromatography (TLC). Initially, the three-component reaction between 5-amino-3-methyl-1-phenylpyrazole (1), isatin (2) and phenyl pyruvic acid (3) was carried out using water at reflux, achieving the target compound 4 in 21% yield (Entry 1, Table 1). On the other hand, in Entry 2, the use of water as solvent and microwave irradiation (MWI) allowed us to obtain compound 4 with a notably increased yield (i.e., 76%), while switching water for ethanol at reflux or under MWI led to a lower yield of compound 4 (i.e., 47% and 29% for Entries 3 and 4, respectively). Thus, Entry 2 showed to be the best-yielding reaction condition for the synthesis of the target 3′-methyl-2-oxo-1′,5′-diphenyl-1′,7′-dihydrospiro[indoline-3,4′-pyrazolo[3,4-b]pyridine]-6′-carboxylic acid (4).
Scheme 1.
Synthetic approach for the synthesis of Spirooxindole 4.
Table 1.
Optimization of the reaction for the synthesis of 4.
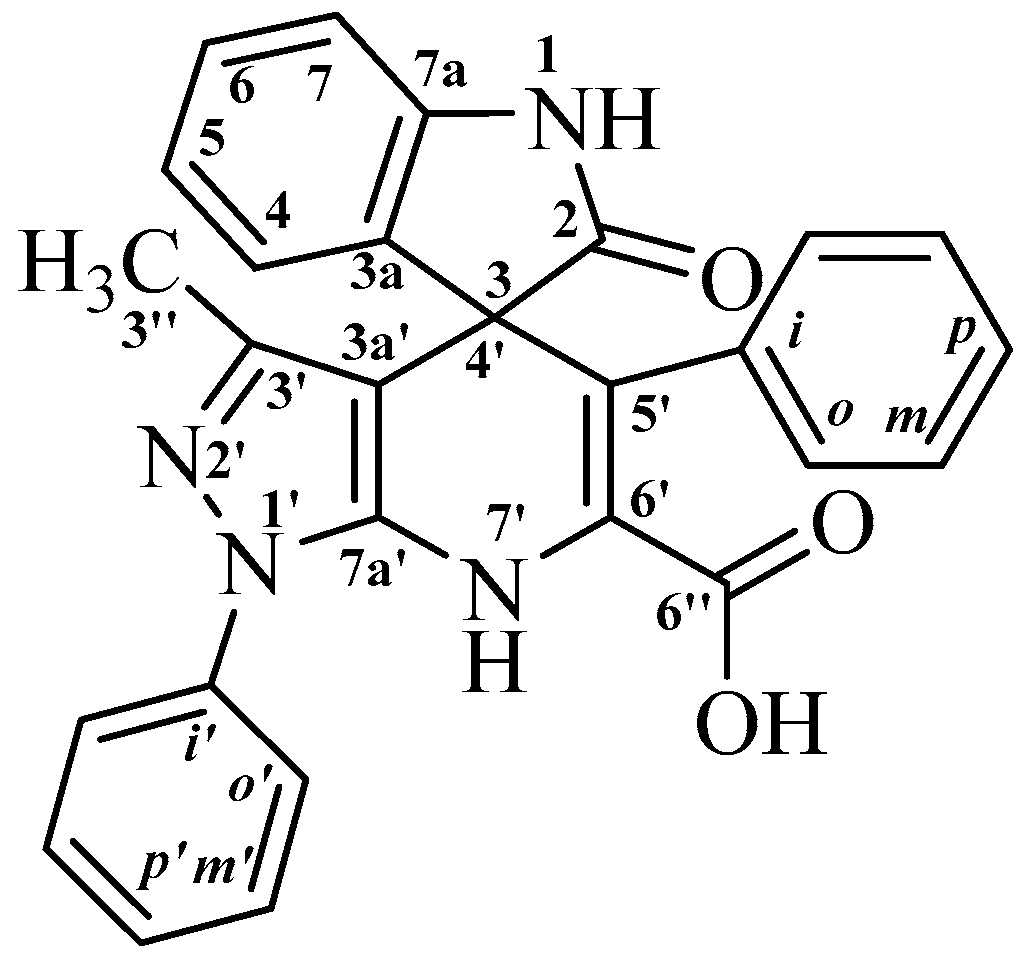
Spirooxindole 4 was characterized by spectroscopic methods such as nuclear magnetic resonance (NMR, Supplementary Materials S2–S4), infrared spectroscopy (FT-IR, Supplementary Materials S5), and mass spectrometry (MS, Supplementary Materials S4). In the 1H-NMR spectrum, all the corresponding signals for the proposed product 4 were observed (Figure 2 shows the complete numbering of the atoms for compound 4). At the higher field, the signal of the 3′-CH3 group at 1.47 ppm as a singlet was observed. Moreover, all 14 aromatic protons appear in a range between 6 and 8 ppm. NH-1 signal was observed as a singlet at 10.28 ppm, and NH-7′ signal was observed at 8.48 ppm, indicating that the cyclization process was successful.
Figure 2.
Atom numbering of Spirooxindole 4.
Using the 13C NMR spectrum, DEPT-135, HSQC, and HMBC experiments, it was possible to determine several representative carbon atoms in the structure of product 4. In 13C NMR, the signal of 3′-CH3 group was observed at 11.8 ppm and the C-3 (spiro carbon) signal was observed at 55.4 ppm. The C-6″ (CO2H group) signal was observed at 165.6 ppm, and the C-2 signal (C=O group) was observed at 178.8 ppm. HSQC and HMBC experiments helped to identify the signals of the carbons C-3″, C-3a, C-3a′, C-3′, C-5, C-5′ C-7, C-7a, C-6″, C-2. In Table 2, the correlation C-H observed in the HMBC experiment for NH-1 and NH-7 is summarized, highlighting the correlation at 3J for NH-1 to C-3 and C-3a. Another important correlation was the NH-1 with C-2 and C-7a at 2J, while the NH-7′ signal correlates with C-3a′, C-6″ and C-5′ at 3J. In the FT-IR spectrum, the stretching bands for N-H at 3406 cm−1, C-H at 3059 cm−1, and C=O groups at 1691 cm−1 were observed. In the MS spectrum, the molecular ion peak was observed at 448 m/z with 4% intensity and a characteristic peak associated with the elimination of carbon monoxide at 420 m/z with 7% intensity.
Table 2.
C-H correlation with NH-1 and NH-7′ protons observed in the HMBC experiment.
3. Materials and Methods
3.1. General Information
The reagents and solvents used were obtained from commercial sources. The progress of the reaction was monitored by TLC with 0.2 μm precoated plates of silica gel 60GF254 (Merck, Kenilworth, NJ, USA). Melting point was measured using a Stuart SMP3 melting point apparatus (Cole-Parmer, Staffordshire, UK). The IR spectrum was run in a Shimadzu IRAffinity−1 (Shimadzu, Kyoto, Japan) with ATR probe. The 1H and 13C-NMR spectra were recorded in a BRUKER DPX 400 spectrophotometer (Bruker, Bruker BioSpin GmbH, Rheinstetten, Germany) operating at 400 and 100 MHz, respectively, using DMSO-d6 as the solvent. Chemical shifts (δ) are given in ppm and coupling constants (J) are given in Hz. The following abbreviations are used for multiplicities: s = singlet, d = doublet, t = triplet, and m = multiplet. The mass spectrum was measured on a SHIMADZU GCMS-QP2010 spectrometer (Shimadzu, Kyoto, Japan) operating at 40 eV. Microanalysis was performed on an Agilent CHNS elemental analyzer (Thermo Fischer Scientific Inc., Madison, WI, USA). Microwave experiments were carried out in a CEM Discover SystemTM 300 W (CEM corporation, Matthews, NC, USA) focused microwave reactor.
3.2. Synthesis of (±)-3′-Methyl-2-oxo-1′,5′-diphenyl-1′,7′-dihydrospiro[indoline-3,4′-pyrazolo[3,4-b]pyridine]-6′-carboxylic Acid
An equimolecular mixture of 3-methyl-1-phenyl-1H-pyrazol-5-amine (1) (0.6 mmol) isatin (2) (0.6 mmol) and phenyl pyruvic acid (3) (0.6 mmol) was added in 4 mL of distilled water to a microwave tube with a magnet, and the tube was sealed with the corresponding cap. The catalyst sodium dodecyl sulfate (SDS) was added in a ratio of 0.1 g/mmol of the substrate. By using the dynamic method for microwave irradiation, the above mixture was subjected to 100 W of power for 5 min at 90 °C, and 120 psi as a safe pressure. After that, a brown solid was observed inside the tube. The solid was washed with distilled water to remove the excess SDS until no more bubbles were observed, then it was washed with cold ethanol. The purity of the product was confirmed by TLC checking.
Pale brown solid. Yield: 205 mg, 76%. M.p. >300 °C. FT-IR (ATR) (cm−1): 3406 (NH), 3059 (CH), 1691 (C=O) 1H NMR (400 MHz, DMSO-d6) δ (ppm) 1.47 (s, 3H, 3′-CH3), 6.64 (d, J = 7.7 Hz, 1H, H-7), 6.74 (d, J = 6.7 Hz, 2H), 6.96–7.09 (m, 4H), 7.12 (t, J = 7.6 Hz, 1H), 7.19 (d, J = 7.3 Hz, 1H, H-4), 7.37 (t, J = 7.3 Hz, 1H), 7.54 (t, J = 7.9 Hz, 2H), 7.60 (d, J = 7.7 Hz, 2H), 8.48 (s, 1H, NH-7′), 10.28 (s, 1H, NH-1). 13C NMR (100 MHz, DMSO-d6) δ (ppm) 11.8 (3′-CH3), 55.4 (C-3 (spiro)), 99.0 (C-3a’), 109.6 (C-7), 116.7 (C-5′), 122.5 (CH), 122.6 (C-5), 126.0 (C-4), 126.9 (CH), 127.2 (CH), 127.4 (CH), 129.0 (CH), 130.0 (CH), 130.4 (CH), 130.6 (C), 135.3 (C-3a), 137.1 (C), 139.1 (C), 139.3 (C), 141.4 (C-7a), 145.3 (C-3′), 165.6 (C-6″, CO2H), 178.8 (C-2, C=O). MS (EI) m/z: 448 (M+•, 4%), 420 (M+•-CO, 7%), 313 (8%), 236 (8%). Anal. calcd. for C27H20N4O3 (448.15): C, 72.31; H, 4.50; N, 12.49. Found: C, 72.46; H, 4.33; N, 12.63.
Supplementary Materials
The following are available online. All spectroscopic material is available: NMR (S2-S4), MS (S4), and FT-IR (S5).
Author Contributions
The authors P.E.R., B.I., J.Q., and R.A. designed the study and carried out the research. Moreover, they analyzed the data and wrote the paper together. All authors have read and agreed to the published version of the manuscript.
Funding
This research received no external funding. The APC was sponsored by MDPI.
Institutional Review Board Statement
Not applicable.
Informed Consent Statement
Not applicable.
Data Availability Statement
The data presented in this study are available in this article.
Acknowledgments
The authors wish to thank the Universidad del Valle and MinCiencias for financial support.
Conflicts of Interest
The authors declare no conflict of interest.
References
- Sriram, D.; Bal, T.R.; Yogeeswari, P. Synthesis, Antiviral and Antibacterial Activities of Isatin Mannich Bases. Med. Chem. Res. 2005, 14, 211–228. [Google Scholar] [CrossRef]
- Murali, K.; Avinash, R.; Kirthiga, R.; Franzblau, S.G. Synthesis, antibacterial, and antitubercular studies of some novel isatin derivatives. Med. Chem. Res. 2012, 21, 4335–4340. [Google Scholar] [CrossRef]
- Karalı, N.; Güzel, Ö.; Özsoy, N.; Özbey, S.; Salman, A. Synthesis of new spiroindolinones incorporating a benzothiazole moiety as antioxidant agents. Eur. J. Med. Chem. 2010, 45, 1068–1077. [Google Scholar] [CrossRef] [PubMed]
- Thangamani, A. Regiospecific synthesis and biological evaluation of spirooxindolopyrrolizidines via [3+2] cycloaddition of azomethine ylide. Eur. J. Med. Chem. 2010, 45, 6120–6126. [Google Scholar] [CrossRef] [PubMed]
- Rana, S.; Blowers, E.C.; Tebbe, C.; Contreras, J.I.; Radhakrishnan, P.; Kizhake, S.; Zhou, T.; Rajule, R.N.; Arnst, J.L.; Munkarah, A.R.; et al. Isatin Derived Spirocyclic Analogues with α-Methylene-γ-butyrolactone as Anticancer Agents: A Structure–Activity Relationship Study. J. Med. Chem. 2016, 59, 5121–5127. [Google Scholar] [CrossRef] [PubMed]
- Khalafi-Nezhad, A.; Mohammadi, S. Magnetic, Acidic, Ionic Liquid-Catalyzed One-Pot Synthesis of Spirooxindoles. ACS Comb. Sci. 2013, 15, 512–518. [Google Scholar] [CrossRef] [PubMed]
- Chen, H.; Shi, D. Efficient One-Pot Synthesis of Novel Spirooxindole Derivatives via Three-Component Reaction in Aqueous Medium. J. Comb. Chem. 2010, 12, 571–576. [Google Scholar] [CrossRef] [PubMed]
- Deng, J.; Mo, L.-P.; Zhao, F.-Y.; Zhang, Z.-H.; Liu, S.-X. One-Pot, Three-Component Synthesis of a Library of Spirooxindole-Pyrimidines Catalyzed by Magnetic Nanoparticle Supported Dodecyl Benzenesulfonic Acid in Aqueous Media. ACS Comb. Sci. 2012, 14, 335–341. [Google Scholar] [CrossRef] [PubMed]
- Bazgir, A.; Hosseini, G.; Ghahremanzadeh, R. Copper Ferrite Nanoparticles: An Efficient and Reusable Nanocatalyst for a Green One-Pot, Three-component Synthesis of Spirooxindoles in Water. ACS Comb. Sci. 2013, 15, 530–534. [Google Scholar] [CrossRef] [PubMed]
- Quiroga, J.; Portillo, S.; Pérez, A.; Gálvez, J.; Abonia, R.; Insuasty, B. An efficient synthesis of pyrazolo[3,4-b]pyridine-4-spiroindolinones by a three-component reaction of 5-aminopyrazoles, isatin, and cyclic β-diketones. Tetrahedron Lett. 2011, 52, 2664–2666. [Google Scholar] [CrossRef]
- Quiroga, J.; Romo, P.; Cobo, J.; Glidewell, C. Synthesis of spiro[indoline-3,3′-pyrrolizines] by 1,3-dipolar reactions between isatins, L-proline and electron-deficient alkenes. Acta Crystallogr. Sect. C Struct. Chem. 2017, 73, 1109–1115. [Google Scholar] [CrossRef] [PubMed]
- Romo, P.; Quiroga, J.; Cobo, J.; Glidewell, C. Regio- and stereospecific assembly of dispiro[indoline-3,3′-pyrrolizine-1′,5′′-thiazolidines] from simple precursors using a one-pot procedure: Synthesis, spectroscopic and structural characterization, and a proposed mechanism of formation. Acta Crystallogr. Sect. C Struct. Chem. 2020, 76, 779–785. [Google Scholar] [CrossRef] [PubMed]
- Wang, H.-Y.; Shi, D.-Q. Three-component one-pot synthesis of pyrazolo[3,4-b]quinolin-5(6H)-one derivatives in aqueous media. J. Heterocycl. Chem. 2011, 49, 212–216. [Google Scholar] [CrossRef]
Publisher’s Note: MDPI stays neutral with regard to jurisdictional claims in published maps and institutional affiliations. |
© 2021 by the authors. Licensee MDPI, Basel, Switzerland. This article is an open access article distributed under the terms and conditions of the Creative Commons Attribution (CC BY) license (https://creativecommons.org/licenses/by/4.0/).


