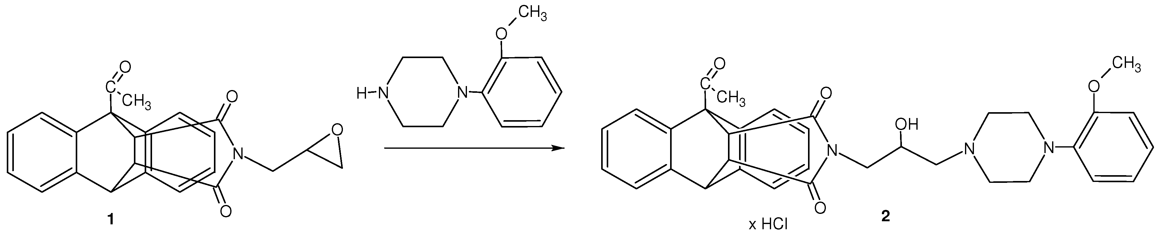
1-Acetyl-17-{2-hydroxy-3-[4-(2-methoxyphenyl)piperazin-1-yl]propyl}-17-azapentacyclo[6.6.5.02,7.09,14.015,19]nonadeca-2,4,6,9,11,13-hexaene-16,18-dione
Abstract
:Introduction
Experimental Section
Chemistry
Cells and Viruses
Cytotoxicity Assays
Supplementary materials
Supplementary File 1Supplementary File 2Supplementary File 3References
- Carpenter, C.C.; Fischl, M.A.; Hammer, S.M.; Hirsch, M.S.; Jacobsen, D.M.; Katzenstein, D.A.; Montaner, J.S.; Richman, D.D.; Saag, M.S.; Schooley, R.T.; Thompson, M.A.; Vella, S.; Yeni, P.G.; Volberding, P.A. Antiretroviral therapy for HIV infection in 1998: Updated recommendations of the International AIDS Society-USA Panel. J. Am. Med. Assoc. 1998, 280, 78–86. [Google Scholar] [CrossRef]
- Romero, D.L.; Morge, R.A.; Genin, M.J.; Biles, C.; Busso, M.; Resnick, L.; Althaus, I.W.; Reusser, F.; Thomas, R.C.; Tarpley, W.G. Bis(heteroaryl)piperazine (BHAP) reverse transcriptase inhibitors: Structure-activity relationships of novel substituted indole analogues and the identification of 1-[(5-methanesulfonamido-1H-indol-2-yl)-carbonyl]-4-[3- [(1-methylethyl)amino]-pyridinyl]piperazine monomethanesulfonate (U-90152S), a second-generation clinical candidate. J. Med. Chem. 1993, 36, 1505–1508. [Google Scholar] [PubMed]
- Gulick, R.M.; Su, Z.; Flexner, C.; Hughes, M.D.; Skolnik, P.R.; Wilkin, T.J.; Gross, R.; Krambrink, A.; Coakley, E.; Greaves, W.L.; Zolopa, A.; Reichman, R.; Godfrey, C.; Hirsch, M.; Kuritzkes, D.R. Phase 2 study of the safety and efficacy of vicriviroc, a CCR5 inhibitor, in HIV-1-Infected, treatment-experienced patients: AIDS clinical trials group 5211. J. Infect. Dis. 2007, 196, 304–312. [Google Scholar] [CrossRef] [PubMed]
- Pinna, G.A.; Loriga, G.; Murineddu, G.; Grella, G.; Mura, M.; Vargiu, L.; Murgioni, C.; La Colla, P. Synthesis and anti-HIV-1 activity of new delavirdine analogues carrying arylpyrrole moieties. Chem. Pharm. Bull. 2001, 49, 1406–1411. [Google Scholar] [CrossRef] [PubMed]
- Tagat, J.R.; McCombie, S.W.; Nazareno, D.; Labroli, M.A.; Xiao, Y.; Steensma, R.W.; Strizki, J.M.; Baroudy, B.M.; Cox, K.; Lachowicz, J.; Varty, G.; Watkins, R. Piperazine-based CCR5 antagonists as HIV-1 inhibitors. IV. Discovery of 1-[(4,6-dimethyl-5-pyrimidinyl)carbonyl]-4-[4-[2-methoxy-1(R)-4-(trifluoromethyl)phenyl]ethyl-3(S)-methyl-1-piperazinyl]-4-methylpiperidine (Sch-417690/Sch-D), a potent, highly selective, and orally bioavailable CCR5 antagonist. J. Med. Chem. 2004, 47, 2405–2408. [Google Scholar]
- Kossakowski, J.; Szczepek, W.; Pakosińska-Parys, M. Synthesis of new n-substituted cyclic imides with expected anxiolytic activity. XXI. Derivatives of 1-acetyldibenzo-[e.h]-bicyclo[2.2.2]-octane-2,3-dicarboximide. Acta Pol. Pharm. 2002, 59, 418–423. [Google Scholar] [PubMed]
- Pauwels, R.; Balzarini, J.; Baba, M.; Snoeck, R.; Schols, D.; Herdewijn, P.; Desmyster, J.; De Clercq, E. Rapid and automated tetrazolium-based colorimetric assay for the detection of anti-HIV compounds. J. Virol. Methods 1998, 20, 309–321. [Google Scholar] [CrossRef]

© 2010 by the authors; licensee MDPI, Basel, Switzerland. This article is an open access article distributed under the terms and conditions of the Creative Commons Attribution license (http://creativecommons.org/licenses/by/3.0/).
Share and Cite
Pakosińska-Parys, M.; Kossakowski, J.; Struga, M. 1-Acetyl-17-{2-hydroxy-3-[4-(2-methoxyphenyl)piperazin-1-yl]propyl}-17-azapentacyclo[6.6.5.02,7.09,14.015,19]nonadeca-2,4,6,9,11,13-hexaene-16,18-dione. Molbank 2010, 2010, M697. https://doi.org/10.3390/M697
Pakosińska-Parys M, Kossakowski J, Struga M. 1-Acetyl-17-{2-hydroxy-3-[4-(2-methoxyphenyl)piperazin-1-yl]propyl}-17-azapentacyclo[6.6.5.02,7.09,14.015,19]nonadeca-2,4,6,9,11,13-hexaene-16,18-dione. Molbank. 2010; 2010(3):M697. https://doi.org/10.3390/M697
Chicago/Turabian StylePakosińska-Parys, Magdalena, Jerzy Kossakowski, and Marta Struga. 2010. "1-Acetyl-17-{2-hydroxy-3-[4-(2-methoxyphenyl)piperazin-1-yl]propyl}-17-azapentacyclo[6.6.5.02,7.09,14.015,19]nonadeca-2,4,6,9,11,13-hexaene-16,18-dione" Molbank 2010, no. 3: M697. https://doi.org/10.3390/M697
APA StylePakosińska-Parys, M., Kossakowski, J., & Struga, M. (2010). 1-Acetyl-17-{2-hydroxy-3-[4-(2-methoxyphenyl)piperazin-1-yl]propyl}-17-azapentacyclo[6.6.5.02,7.09,14.015,19]nonadeca-2,4,6,9,11,13-hexaene-16,18-dione. Molbank, 2010(3), M697. https://doi.org/10.3390/M697