Synthesis of 3,5-di-(4-pyridyl)-1H-1,2,4-triazole
Introduction
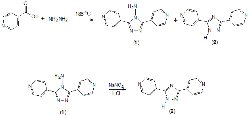
Synthesis
Supplementary materials
Supplementary File 1Supplementary File 2Supplementary File 3References
- Dong, Y.-B.; Wang, H.-Y.; Ma, J.-P.; Huang, R.-Q.; Smith, M. D. Cryst. Growth Des. 2005, 5, 789–800.
- Bentiss, F.; Lagrenée, M.; Traisnel, M.; Mernari, B.; Elattari, H. J. Heterocyclic Chem. 1999, 36, 149–152.
- Zhang, J.-P.; Lin, Y.-Y.; Huang, X.-C.; Chen, X.-M. J. Am. Chem. Soc. 2005, 127, 5495–5506. [PubMed]
- Herbst, R. M.; Garrison, J. A. J. Org. Chem. 1953, 18, 872–877.
- Mosch-Zanetti, N. C.; Ferbinteanu, M.; Magull, J. Eur. J. Inorg. Chem. 2002, 950–956.
© 2008 by MDPI (http://www.mdpi.org/). Reproduction is permitted for noncommercial purposes.
Share and Cite
Liu, L.-L.; Yang, G. Synthesis of 3,5-di-(4-pyridyl)-1H-1,2,4-triazole. Molbank 2008, 2008, M563. https://doi.org/10.3390/M563
Liu L-L, Yang G. Synthesis of 3,5-di-(4-pyridyl)-1H-1,2,4-triazole. Molbank. 2008; 2008(1):M563. https://doi.org/10.3390/M563
Chicago/Turabian StyleLiu, Li-Li, and Guang Yang. 2008. "Synthesis of 3,5-di-(4-pyridyl)-1H-1,2,4-triazole" Molbank 2008, no. 1: M563. https://doi.org/10.3390/M563
APA StyleLiu, L.-L., & Yang, G. (2008). Synthesis of 3,5-di-(4-pyridyl)-1H-1,2,4-triazole. Molbank, 2008(1), M563. https://doi.org/10.3390/M563
