Oxygen-Containing 10-, 15-, and 20-Membered Macrocyclic Cobalt Complexes from Co2(CO)6-Bispropargylic Alcohol
Abstract
:
Experimental Section
General
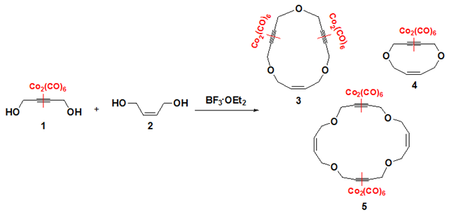
Synthesis of cobalt-complexed oxygen-containing macrocyclics 3-5:
8,13-Bis-(hexacarbonyldicobalt)-µ2-{η2-1,6,11-trioxa-cyclopentadec-3-ene-8,13-diyne} (3):
3-Hexacarbonyldicobalt-µ2-{η2-3,4-didehydro-2,5,7,10-tetrahydro-1,6-dioxecino} (4):
8,18-Bis-(hexacarbonyldicobalt)-µ2-{η2-1,6,11,16-tetraoxa-cycloicosa-3,13-diene-8,18-diyne} (5):
Supplementary materials
Supplementary File 1Supplementary File 2Supplementary File 3Acknowledgments
References and Notes
- For reviews on the chemistry uses of cobalt-complexed propargylic cations and related issues, see: Nicholas, K.M. Acc. Chem. Res. 1987, 20, 207–221.; (b)Caffyn, A. J. M.; Nicholas, K. M. Comprehensive Organometallic Chemistry II; Hegedus, L. S., Ed.; Pergamon: Oxford, 1995; Vol. 12, Chapter 7.1, pp. 685–702. [Google Scholar]; Welker, M. E. Current Organic Chemistry 2001, 5, 785–807.; Green, J. R. Current Organic Chemistry 2001, 5, 809–826.; Müller, T. J. J. Eur. J. Org. Chem. 2001, 2021–2033.; Teobald, B. J. Tetrahedron 2002, 58, 4133–4170.; Fryatt, R.; Christie, S. D. R. J. Chem. Soc., Perkin Trans. 1 2002, 447–4.
- For other uses of 1 as masked dielectrophiles in cyclization reactions, see: Gruselle, M.; Malézieux, B.; Vaissermann, J.; Amouri, H. Organometallics 1998, 17, 2337–2343.; Lu, Y.; Green, J. R. Synlett 2001, 243–247.; Soleilhavoup, M.; Saccavini, C.; Lepetit, C.; Lavigne, G.; Maurette, L.; Donnadieu, B.; Chauvin, R. Organometallics 2002, 21, 871–883.
- For a complete study on the synthesis of oxygen-containing macrocycles from the analog 1,3-diyne diol [{Co2(CO)6(µ-η2-HOCH2C2-)}2], see: Hope-Weeks, L. J.; Mays, M. J.; Solan, G. A. J. Inorg. Chem. 2007, 3101–3114.
- For the synthesis of sulfur-containing macrocycles from 1, see: Gelling, A.; Jeffery, J. C.; Povey, D. C.; Went, M. J. J. Chem. Soc., Chem. Commun. 1991, 349–351.; Dernirhan, F.; Irişli, S.; Salek, S. N.; Şentük, O. S.; Went, M. J.; Jeferry, J. C. J. Organomet. Chem. 1993, 453, C30–C31.; Dernirhan, F.; Gelling, A.; Irişli, S.; Jeferry, J. C.; Salek, S. N.; Şentük, O. S.; Went, M. J. J. Chem. Soc. Dalton Trans. 1993, 2765–2773.; Bennett, S. C.; Jeffery, J. C.; Went, M. J. J. Chem. Soc. Dalton Trans. 1994, 3171–3176.; Davies, J. E.; Hope-Weeks, L. J.; Mays, M. S.; Raithby, P. R. Chem. Commun. 2000, 1411–1412.
© 2008 by MDPI (http://www.mdpi.org/). Reproduction is permitted for noncommercial purposes.
Share and Cite
Díaz, D.D.; Ceñal, J.P.; Martín, V.S. Oxygen-Containing 10-, 15-, and 20-Membered Macrocyclic Cobalt Complexes from Co2(CO)6-Bispropargylic Alcohol. Molbank 2008, 2008, M562. https://doi.org/10.3390/M562
Díaz DD, Ceñal JP, Martín VS. Oxygen-Containing 10-, 15-, and 20-Membered Macrocyclic Cobalt Complexes from Co2(CO)6-Bispropargylic Alcohol. Molbank. 2008; 2008(1):M562. https://doi.org/10.3390/M562
Chicago/Turabian StyleDíaz, David Díaz, Juan Pedro Ceñal, and Víctor S. Martín. 2008. "Oxygen-Containing 10-, 15-, and 20-Membered Macrocyclic Cobalt Complexes from Co2(CO)6-Bispropargylic Alcohol" Molbank 2008, no. 1: M562. https://doi.org/10.3390/M562
APA StyleDíaz, D. D., Ceñal, J. P., & Martín, V. S. (2008). Oxygen-Containing 10-, 15-, and 20-Membered Macrocyclic Cobalt Complexes from Co2(CO)6-Bispropargylic Alcohol. Molbank, 2008(1), M562. https://doi.org/10.3390/M562
