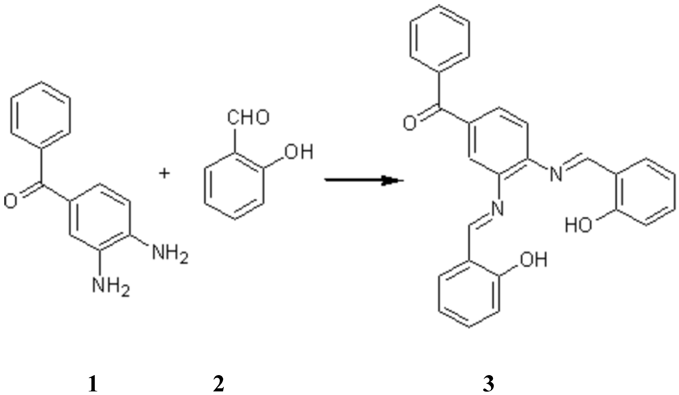
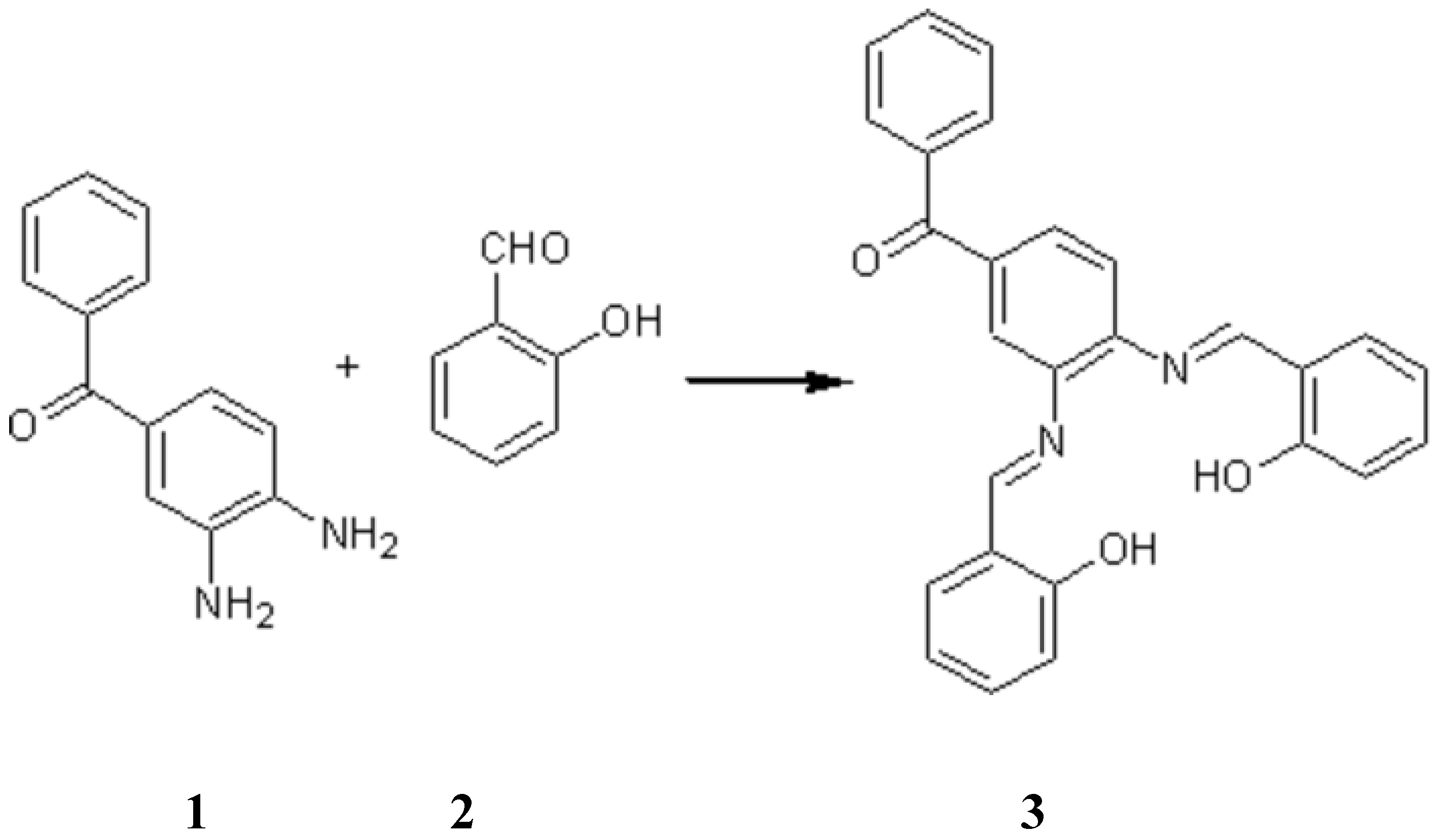
Synthesis of a novel Schiff base {3,4-Bis[(2-Hydroxy-benzylidene) amino] phenyl} phenyl methanone

Supplementary materials
Supplementary File 1Supplementary File 2Supplementary File 3Acknowledgment
- Sample availability: Available from MDPI
© 2004 MDPI. All rights reserved.
Share and Cite
Jarrahpour, A.A.; Zarei, M. Synthesis of a novel Schiff base {3,4-Bis[(2-Hydroxy-benzylidene) amino] phenyl} phenyl methanone. Molbank 2004, 2004, M353. https://doi.org/10.3390/M353
Jarrahpour AA, Zarei M. Synthesis of a novel Schiff base {3,4-Bis[(2-Hydroxy-benzylidene) amino] phenyl} phenyl methanone. Molbank. 2004; 2004(1):M353. https://doi.org/10.3390/M353
Chicago/Turabian StyleJarrahpour, A. A., and M. Zarei. 2004. "Synthesis of a novel Schiff base {3,4-Bis[(2-Hydroxy-benzylidene) amino] phenyl} phenyl methanone" Molbank 2004, no. 1: M353. https://doi.org/10.3390/M353
APA StyleJarrahpour, A. A., & Zarei, M. (2004). Synthesis of a novel Schiff base {3,4-Bis[(2-Hydroxy-benzylidene) amino] phenyl} phenyl methanone. Molbank, 2004(1), M353. https://doi.org/10.3390/M353
