Neuronally Derived Extracellular Vesicles’ Oligomeric and p129-α-Synuclein Levels for Differentiation of Parkinson’s Disease from Essential Tremor
Abstract
1. Introduction
2. Results
2.1. Demographic and Clinical Features
2.2. Oligomeric and p129-α-Synuclein in NDEVs
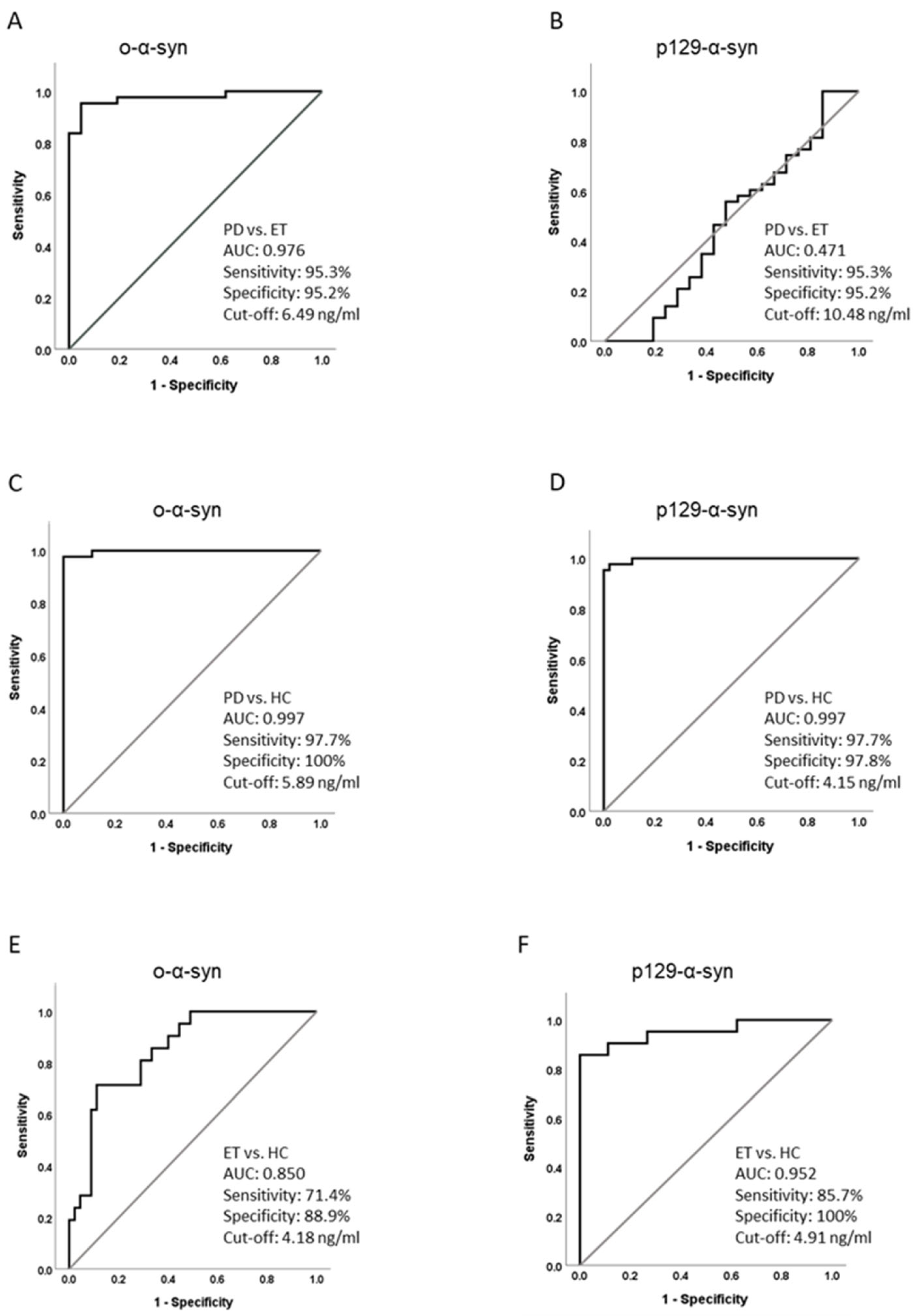
2.3. Classification Performances Between Groups
3. Discussion
4. Materials and Methods
4.1. Participants
4.2. EV Characterization, NDEV Isolation, and α-Synuclein Species Quantification
4.3. Statistical Analysis
5. Conclusions
Author Contributions
Funding
Institutional Review Board Statement
Informed Consent Statement
Data Availability Statement
Acknowledgments
Conflicts of Interest
Abbreviations
| PD | Parkinson’s disease |
| ET | Essential tremor |
| HC | Healthy control |
| LBs | Lewy bodies |
| EVs | Extracellular vesicles |
| NDEVs | Neuronally derived extracellular vesicles |
| CSN | Central nervous system |
| MDS-UPDRS | MDS—Unified Parkinson’s Disease Rating Scale |
| HY | Hoehn and Yahr |
| ROC | Receiver operator characteristic |
| AUC | Area under the curve |
| RT-QuIC | Real-time quaking-induced conversion |
References
- Thenganatt, M.A.; Jankovic, J. The relationship between essential tremor and Parkinson’s disease. Parkinsonism Relat. Disord. 2016, 22 (Suppl. S1), S162–S165. [Google Scholar] [CrossRef] [PubMed]
- Postuma, R.B.; Berg, D.; Stern, M.; Poewe, W.; Olanow, C.W.; Oertel, W.; Obeso, J.; Marek, K.; Litvan, I.; Lang, A.E.; et al. MDS clinical diagnostic criteria for Parkinson’s disease. Mov. Disord. 2015, 30, 1591–1601. [Google Scholar] [CrossRef] [PubMed]
- Bhatia, K.P.; Bain, P.; Bajaj, N.; Elble, R.J.; Hallett, M.; Louis, E.D.; Raethjen, J.; Stamelou, M.; Testa, C.M.; Deuschl, G.; et al. Consensus Statement on the classification of tremors. from the task force on tremor of the International Parkinson and Movement Disorder Society. Mov. Disord. 2018, 33, 75–87. [Google Scholar] [CrossRef] [PubMed]
- Louis, E.D.; Bares, M.; Benito-Leon, J.; Fahn, S.; Frucht, S.J.; Jankovic, J.; Ondo, W.G.; Pal, P.K.; Tan, E.K. Essential tremor-plus: A controversial new concept. Lancet Neurol. 2020, 19, 266–270. [Google Scholar] [CrossRef]
- Sixel-Döring, F.; Liepe, K.; Mollenhauer, B.; Trautmann, E.; Trenkwalder, C. The role of 123I-FP-CIT-SPECT in the differential diagnosis of Parkinson and tremor syndromes: A critical assessment of 125 cases. J. Neurol. 2011, 258, 2147–2154. [Google Scholar] [CrossRef]
- van de Wardt, J.; van der Stouwe, A.M.M.; Dirkx, M.; Elting, J.W.J.; Post, B.; Tijssen, M.A.; Helmich, R.C. Systematic clinical approach for diagnosing upper limb tremor. J. Neurol. Neurosurg. Psychiatry 2020, 91, 822–830. [Google Scholar] [CrossRef]
- Quattrone, A.; Nisticò, R.; Morelli, M.; Arabia, G.; Crasà, M.; Vescio, B.; Mechelli, A.; Cascini, G.L.; Quattrone, A. Rest Tremor Pattern Predicts DaTscan ((123) I-Ioflupane) Result in Tremulous Disorders. Mov. Disord. 2021, 36, 2964–2966. [Google Scholar] [CrossRef]
- Nisticò, R.; Quattrone, A.; Crasà, M.; De Maria, M.; Vescio, B.; Quattrone, A. Evaluation of rest tremor in different positions in Parkinson’s disease and essential tremor plus. Neurol. Sci. 2022, 43, 3621–3627. [Google Scholar] [CrossRef]
- Sengupta, U.; Kayed, R. Amyloid β, Tau, and α-Synuclein aggregates in the pathogenesis, prognosis, and therapeutics for neurodegenerative diseases. Prog. Neurobiol. 2022, 214, 102270. [Google Scholar] [CrossRef]
- Forloni, G. Alpha Synuclein: Neurodegeneration and Inflammation. Int. J. Mol. Sci. 2023, 24, 5914. [Google Scholar] [CrossRef]
- Kawahata, I.; Finkelstein, D.I.; Fukunaga, K. Pathogenic Impact of alpha-Synuclein Phosphorylation and Its Kinases in alpha-Synucleinopathies. Int. J. Mol. Sci. 2022, 23, 6216. [Google Scholar] [CrossRef] [PubMed]
- Fujiwara, H.; Hasegawa, M.; Dohmae, N.; Kawashima, A.; Masliah, E.; Goldberg, M.S.; Shen, J.; Takio, K.; Iwatsubo, T. alpha-Synuclein is phosphorylated in synucleinopathy lesions. Nat. Cell Biol. 2002, 4, 160–164. [Google Scholar] [CrossRef] [PubMed]
- Jiménez-Jiménez, F.J.; Alonso-Navarro, H.; García-Martín, E.; Santos-García, D.; Martínez-Valbuena, I.; Agúndez, J.A.G. Alpha-Synuclein in Peripheral Tissues as a Possible Marker for Neurological Diseases and Other Medical Conditions. Biomolecules 2023, 13, 1263. [Google Scholar] [CrossRef] [PubMed]
- Ma, J.; Tang, Z.; Wu, Y.; Zhang, J.; Wu, Z.; Huang, L.; Liu, S.; Wang, Y. Differences in Blood and Cerebrospinal Fluid Between Parkinson’s Disease and Related Diseases. Cell. Mol. Neurobiol. 2024, 45, 9. [Google Scholar] [CrossRef]
- Shu, H.; Zhang, P.; Gu, L. Alpha-synuclein in peripheral body fluid as a biomarker for Parkinson’s disease. Acta Neurol. Belg. 2024, 124, 831–842. [Google Scholar] [CrossRef]
- Cristiani, C.M.; Scaramuzzino, L.; Quattrone, A.; Parrotta, E.I.; Cuda, G.; Quattrone, A. Serum Oligomeric α-Synuclein and p-tau181 in Progressive Supranuclear Palsy and Parkinson’s Disease. Int. J. Mol. Sci. 2024, 25, 6882. [Google Scholar] [CrossRef]
- Barbour, R.; Kling, K.; Anderson, J.P.; Banducci, K.; Cole, T.; Diep, L.; Fox, M.; Goldstein, J.M.; Soriano, F.; Seubert, P.; et al. Red blood cells are the major source of alpha-synuclein in blood. Neurodegener. Dis. 2008, 5, 55–59. [Google Scholar] [CrossRef]
- Cristiani, C.M.; Scaramuzzino, L.; Parrotta, E.I.; Cuda, G.; Quattrone, A. Erythrocytic α-Synuclein in Parkinson’s Disease and Progressive Supranuclear Palsy-A Pilot Study. Biomedicines 2024, 12, 2510. [Google Scholar] [CrossRef]
- Xie, S.; Zhang, Q.; Jiang, L. Current Knowledge on Exosome Biogenesis, Cargo-Sorting Mechanism and Therapeutic Implications. Membranes 2022, 12, 498. [Google Scholar] [CrossRef]
- Zanirati, G.; Dos Santos, P.G.; Alcará, A.M.; Bruzzo, F.; Ghilardi, I.M.; Wietholter, V.; Xavier, F.A.C.; Gonçalves, J.I.B.; Marinowic, D.; Shetty, A.K.; et al. Extracellular Vesicles: The Next Generation of Biomarkers and Treatment for Central Nervous System Diseases. Int. J. Mol. Sci. 2024, 25, 7371. [Google Scholar] [CrossRef]
- Shi, M.; Liu, C.; Cook, T.J.; Bullock, K.M.; Zhao, Y.; Ginghina, C.; Li, Y.; Aro, P.; Dator, R.; He, C.; et al. Plasma exosomal alpha-synuclein is likely CNS-derived and increased in Parkinson’s disease. Acta Neuropathol. 2014, 128, 639–650. [Google Scholar] [CrossRef] [PubMed]
- Jiang, C.; Hopfner, F.; Katsikoudi, A.; Hein, R.; Catli, C.; Evetts, S.; Huang, Y.; Wang, H.; Ryder, J.W.; Kuhlenbaeumer, G.; et al. Serum neuronal exosomes predict and differentiate Parkinson’s disease from atypical parkinsonism. J. Neurol. Neurosurg. Psychiatry 2020, 91, 720–729. [Google Scholar] [CrossRef]
- Jiang, C.; Hopfner, F.; Berg, D.; Hu, M.T.; Pilotto, A.; Borroni, B.; Davis, J.J.; Tofaris, G.K. Validation of alpha-Synuclein in L1CAM-Immunocaptured Exosomes as a Biomarker for the Stratification of Parkinsonian Syndromes. Mov. Disord. 2021, 36, 2663–2669. [Google Scholar] [CrossRef]
- Stuendl, A.; Kraus, T.; Chatterjee, M.; Zapke, B.; Sadowski, B.; Moebius, W.; Hobert, M.A.; Deuschle, C.; Brockmann, K.; Maetzler, W.; et al. Alpha-Synuclein in Plasma-Derived Extracellular Vesicles Is a Potential Biomarker of Parkinson’s Disease. Mov. Disord. 2021, 36, 2508–2518. [Google Scholar] [CrossRef]
- Dutta, S.; Hornung, S.; Kruayatidee, A.; Maina, K.N.; Del Rosario, I.; Paul, K.C.; Wong, D.Y.; Duarte Folle, A.; Markovic, D.; Palma, J.A.; et al. Alpha-Synuclein in blood exosomes immunoprecipitated using neuronal and oligodendroglial markers distinguishes Parkinson’s disease from multiple system atrophy. Acta Neuropathol. 2021, 142, 495–511. [Google Scholar] [CrossRef]
- Meloni, M.; Agliardi, C.; Guerini, F.R.; Zanzottera, M.; Bolognesi, E.; Picciolini, S.; Marano, M.; Magliozzi, A.; Di Fonzo, A.; Arighi, A.; et al. Oligomeric α-synuclein and tau aggregates in NDEVs differentiate Parkinson’s disease from atypical parkinsonisms. Neurobiol. Dis. 2023, 176, 105947. [Google Scholar] [CrossRef]
- Taha, H.B.; Hornung, S.; Dutta, S.; Fenwick, L.; Lahgui, O.; Howe, K.; Elabed, N.; Del Rosario, I.; Wong, D.Y.; Duarte Folle, A.; et al. Toward a biomarker panel measured in CNS-originating extracellular vesicles for improved differential diagnosis of Parkinson’s disease and multiple system atrophy. Transl. Neurodegener. 2023, 12, 14. [Google Scholar] [CrossRef]
- Si, X.; Tian, J.; Chen, Y.; Yan, Y.; Pu, J.; Zhang, B. Central Nervous System-Derived Exosomal Alpha-Synuclein in Serum May Be a Biomarker in Parkinson’s Disease. Neuroscience 2019, 413, 308–316. [Google Scholar] [CrossRef]
- Théry, C.; Witwer, K.W.; Aikawa, E.; Alcaraz, M.J.; Anderson, J.D.; Andriantsitohaina, R.; Antoniou, A.; Arab, T.; Archer, F.; Atkin-Smith, G.K.; et al. Minimal information for studies of extracellular vesicles 2018 (MISEV2018): A position statement of the International Society for Extracellular Vesicles and update of the MISEV2014 guidelines. J. Extracell. Vesicles 2018, 7, 1535750. [Google Scholar] [CrossRef]
- Thenganatt, M.A.; Louis, E.D. Distinguishing essential tremor from Parkinson’s disease: Bedside tests and laboratory evaluations. Expert Rev. Neurother. 2012, 12, 687–696. [Google Scholar] [CrossRef]
- Höglinger, G.U.; Lang, A.E. SynNeurGe: The road ahead for a biological definition of Parkinson’s disease. J. Parkinsons Dis. 2024, 8, 1–8. [Google Scholar] [CrossRef]
- Yan, S.; Jiang, C.; Janzen, A.; Barber, T.R.; Seger, A.; Sommerauer, M.; Davis, J.J.; Marek, K.; Hu, M.T.; Oertel, W.H.; et al. Neuronally Derived Extracellular Vesicle alpha-Synuclein as a Serum Biomarker for Individuals at Risk of Developing Parkinson Disease. JAMA Neurol. 2024, 81, 59–68. [Google Scholar] [CrossRef] [PubMed]
- Louis, E.D.; Iglesias-Hernandez, D.; Hernandez, N.C.; Flowers, X.; Kuo, S.H.; Vonsattel, J.P.G.; Faust, P.L. Characterizing Lewy Pathology in 231 Essential Tremor Brains From the Essential Tremor Centralized Brain Repository. J. Neuropathol. Exp. Neurol. 2022, 81, 796–806. [Google Scholar] [CrossRef] [PubMed]
- Yu, Z.; Liu, G.; Zheng, Y.; Huang, G.; Feng, T. Erythrocytic alpha-synuclein as potential biomarker for the differentiation between essential tremor and Parkinson’s disease. Front. Neurol. 2023, 14, 1173074. [Google Scholar] [CrossRef]
- Ghanem, S.S.; Majbour, N.K.; Vaikath, N.N.; Ardah, M.T.; Erskine, D.; Jensen, N.M.; Fayyad, M.; Sudhakaran, I.P.; Vasili, E.; Melachroinou, K.; et al. alpha-Synuclein phosphorylation at serine 129 occurs after initial protein deposition and inhibits seeded fibril formation and toxicity. Proc. Natl. Acad. Sci. USA 2022, 119, e2109617119. [Google Scholar] [CrossRef]
- Ogawa, T.; Fujii, S.; Kuya, K.; Kitao, S.I.; Shinohara, Y.; Ishibashi, M.; Tanabe, Y. Role of Neuroimaging on Differentiation of Parkinson’s Disease and Its Related Diseases. Yonago Acta Med. 2018, 61, 145–155. [Google Scholar] [CrossRef]
- Gomes, D.E.; Witwer, K.W. L1CAM-associated extracellular vesicles: A systematic review of nomenclature, sources, separation, and characterization. J. Extracell. Biol. 2022, 1, e35. [Google Scholar] [CrossRef]
- Norman, M.; Ter-Ovanesyan, D.; Trieu, W.; Lazarovits, R.; Kowal, E.J.K.; Lee, J.H.; Chen-Plotkin, A.S.; Regev, A.; Church, G.M.; Walt, D.R. L1CAM is not associated with extracellular vesicles in human cerebrospinal fluid or plasma. Nat. Methods 2021, 18, 631–634. [Google Scholar] [CrossRef]
- Mimmi, S.; Zimbo, A.M.; Rotundo, S.; Cione, E.; Nisticò, N.; Aloisio, A.; Maisano, D.; Tolomeo, A.M.; Dattilo, V.; Lionello, R.; et al. SARS CoV-2 spike protein-guided exosome isolation facilitates detection of potential miRNA biomarkers in COVID-19 infections. Clin. Chem. Lab. Med. 2023, 61, 1518–1524. [Google Scholar] [CrossRef]
- Tolomeo, A.M.; Malvicini, R.; Ventrella, D.; Elmi, A.; Lombardi, V.; Zanella, F.; Andreis, M.; Lazzari, G.; Todeschini, G.; Caicci, F.; et al. Protective effects of mesenchymal stem cells-derived extracellular vesicles against ischemia-reperfusion injury of hearts donated after circulatory death: Preliminary study in a pig model. Biomed. Pharmacother. 2024, 178, 117256. [Google Scholar] [CrossRef]



| PD (n = 43) | ET (n = 21) | HC (n = 45) | p-Value | |
|---|---|---|---|---|
| Sex (F/M) | 13/30 | 7/14 | 25/20 | 0.039 a |
| Age at examination (years) | 71.4 ± 5.98 * | 65.0 ± 11.43 | 68.4 ± 9.59 | 0.022 b |
| Disease duration (years) | 5.7 ± 4.03 | 12.6 ± 9.09 | - | 0.005 c |
| MDS-UPDRS | 22.3 ± 10.52 | - | - | - |
| H&Y rating scale | 2.1 ± 2.12 | - | - | - |
| Fahn–Tolosa–Marín Tremor rating scale | - | 10.6 ± 6.47 | - | - |
| Sex | Age | Disease Duration | MDS- UPDRS-III | H&Y Score | Fahn–Tolosa–Marín Tremor Rating Scale | |||
|---|---|---|---|---|---|---|---|---|
| PD (n = 43) | o-α-syn | Spearman’s rho | 0.18 | −0.11 | 0.12 | 0.07 | 0.08 | - |
| p-value | 0.26 | 0.50 | 0.46 | 0.65 | 0.60 | - | ||
| p129-α-syn | Spearman’s rho | 0.10 | 0.18 | 0.20 | 0.08 | 0.10 | - | |
| p-value | 0.52 | 0.26 | 0.20 | 0.59 | 0.54 | - | ||
| ET (n = 21) | o-α-syn | Spearman’s rho | 0.17 | −0.05 | 0.31 | - | - | −0.16 |
| p-value | 0.47 | 0.82 | 0.17 | - | - | 0.55 | ||
| p129-α-syn | Spearman’s rho | 0.28 | 0.10 | 0.09 | - | - | 0.02 | |
| p-value | 0.21 | 0.68 | 0.70 | - | - | 0.94 | ||
| HC (n = 45) | o-α-syn | Spearman’s rho | 0.18 | 0.18 | - | - | - | - |
| p-value | 0.24 | 0.24 | - | - | - | - | ||
| p129-α-syn | Spearman’s rho | −0.04 | −0.06 | - | - | - | - | |
| p-value | 0.81 | 0.71 | - | - | - | - |
Disclaimer/Publisher’s Note: The statements, opinions and data contained in all publications are solely those of the individual author(s) and contributor(s) and not of MDPI and/or the editor(s). MDPI and/or the editor(s) disclaim responsibility for any injury to people or property resulting from any ideas, methods, instructions or products referred to in the content. |
© 2025 by the authors. Licensee MDPI, Basel, Switzerland. This article is an open access article distributed under the terms and conditions of the Creative Commons Attribution (CC BY) license (https://creativecommons.org/licenses/by/4.0/).
Share and Cite
Cristiani, C.M.; Mimmi, S.; Parrotta, E.I.; Talarico, M.; Tolomeo, A.M.; Pingitore, E.; Fatima, K.; Vescio, B.; Scaramuzzino, L.; Crapella, V.; et al. Neuronally Derived Extracellular Vesicles’ Oligomeric and p129-α-Synuclein Levels for Differentiation of Parkinson’s Disease from Essential Tremor. Int. J. Mol. Sci. 2025, 26, 3819. https://doi.org/10.3390/ijms26083819
Cristiani CM, Mimmi S, Parrotta EI, Talarico M, Tolomeo AM, Pingitore E, Fatima K, Vescio B, Scaramuzzino L, Crapella V, et al. Neuronally Derived Extracellular Vesicles’ Oligomeric and p129-α-Synuclein Levels for Differentiation of Parkinson’s Disease from Essential Tremor. International Journal of Molecular Sciences. 2025; 26(8):3819. https://doi.org/10.3390/ijms26083819
Chicago/Turabian StyleCristiani, Costanza Maria, Selena Mimmi, Elvira Immacolata Parrotta, Mariagrazia Talarico, Anna Maria Tolomeo, Elisabetta Pingitore, Khushboo Fatima, Basilio Vescio, Luana Scaramuzzino, Valentina Crapella, and et al. 2025. "Neuronally Derived Extracellular Vesicles’ Oligomeric and p129-α-Synuclein Levels for Differentiation of Parkinson’s Disease from Essential Tremor" International Journal of Molecular Sciences 26, no. 8: 3819. https://doi.org/10.3390/ijms26083819
APA StyleCristiani, C. M., Mimmi, S., Parrotta, E. I., Talarico, M., Tolomeo, A. M., Pingitore, E., Fatima, K., Vescio, B., Scaramuzzino, L., Crapella, V., Zimbo, A. M., Iaccino, E., Cuda, G., Quattrone, A., & Quattrone, A. (2025). Neuronally Derived Extracellular Vesicles’ Oligomeric and p129-α-Synuclein Levels for Differentiation of Parkinson’s Disease from Essential Tremor. International Journal of Molecular Sciences, 26(8), 3819. https://doi.org/10.3390/ijms26083819

