Abstract
Banana (Musa spp.) is susceptible to low-temperature stress and other environmental stresses, which can hinder the growth and development. Succinic semialdehyde dehydrogenase (SSADH) is critical for GABA biosynthesis and plays a crucial role in plants. However, the SSADH genes of bananas have not been studied. This study found 19 MaSSADHs, 18 MbSSADHs, and 18 MiSSADHs from the banana genome. According to the phylogenetic tree, these genes can be categorized into five branches. This study cloned the MaSSADH1-14 from banana. The subcellular localization assays of MaSSADH1-14 in tobacco leaves confirmed that the presence of SSADH was not only localized mitochondrion but also localized chloroplast. The cis-elements of the SSADH gene family are related to the potential regulation of the banana SSADH gene family; their involvement in diverse stress responses. Transcriptomic data was utilized to examine the effect of MaSSADH genes under cold stress in bananas. The results of RT-qPCR were consistent with transcriptome data. These results showed that most MaSSADHs are passively responsive to low-temperature treatment. In addition, transient overexpression of MaSSADH1-14 in Nicotiana benthamiana leaves resulted in the content of GABA increasing, indicating that MaSSADH1-14 may be involved in the accumulation of GABA of banana. Collectively, these results improve knowledge of the SSADH gene family in banana and establish a basis for comprehending its biological roles in response to low temperatures.
1. Introduction
SSADH participates in multiple processes associated with plant growth, development, and stress response. SSADH (ALDH5) belongs to the plant acetaldehyde dehydrogenase (ALDH) superfamily in plants [,]. The SSADH gene family has been systematically analyzed in A. thaliana, Sugarcane, Poplar, Setaria italica L., O. sativa, and V. vinifera. Excess aldehydes will cause deleterious effects on organism metabolism. Therefore, the selective elimination of aldehydes is essential for cellular function []. The ALDH gene superfamily consists of enzymes that facilitate the NAD+ or NADP+-dependent transformation of several aldehydes into their respective carboxylic acids []. The ALDH gene family is able to dehydrogenate and oxidise aldehydes to carboxylic acids, thereby protecting plant cells from toxicity [,,].
Low-temperature stress induces the accumulation of reactive oxygen species (ROS) in bananas, triggering membrane lipid peroxidation and compromising cell membrane integrity. In the process of active oxygen metabolism, excessive ROS causes damage to cells and even leads to tissue death []. Succinate semialdehyde dehydrogenase plays an important role in the GABA shunt. SSADH is an important enzyme that constitutes the GABA shunt []. The GABA shunt is a replenishment pathway to the tricarboxylic acid cycle (TCAC). It is crucial to the composition of the carbon skeleton and energy synthesis. It means that the GABA shunt has the function of balancing reactive oxygen species (ROS) and is indispensable in plant resistance to stresses []. SSADH has an established a role in preventing the accumulation of reactive oxygen intermediates and cell death [] in Arabidopsis thaliana. Moreover, GABA shunt is the main anabolic pathway of GABA []. GABA can deal with various growth environments in plants []. Plants produce large amounts of GABA when exposed to extreme temperature stresses [,,]. Increasing endogenous GABA levels in plants enhances resistance to low-temperature stress [,]. Therefore, we can enhance the cold resistance of plants through the GABA shunt pathway.
Banana (Musa spp.) is a significant commercial and food crop globally. The recurrent incidence of low-temperature stress in late winter and early spring has significantly impacted banana production and hindered the robust growth of the banana sector. Despite several investigations conducted by academics, the molecular mechanism governing the cold tolerance of bananas remains inadequately understood [,,]. To date, there have been no prior publications regarding the systematic examination of the banana SSADH gene family. This study aims to comprehensively analyze the characteristics of the SSADH gene family in the banana genome and further investigate its response to low-temperature stress in bananas. We investigated the evolutionary relationships, conserved motifs, chromosomal positions, and promoter cis-acting elements of SSADHs. Additionally, several MaSSADHs were initially assessed for their role in modulating Musa acuminata tolerance to low-temperature stress. Furthermore, we verified subcellular localization of the key SSADH gene and investigated the effects of key MaSSADH genes transient expression endogenous GABA content changes in Nicotiana Benthamian. This study will aid research focused on the role of SSADH genes in plant growth and development, as well as in tolerance and resistance to low-temperature stresses, and will identify prospective candidate SSADH genes for breeding bananas that are tolerant to chilling temperatures.
2. Results
2.1. Identification and Physicochemical Property
This study removed duplicate incomplete sequences and sequences without corresponding structural domains from the sequences after multiple sequence comparison. Based on conserved domain integrity (Table 1), 19 MaSSADHs, 18 MbSSADHs, and 18 MiSSADHs were effectively discovered from the amino acid sequences of the SSADH gene family in Musa acuminata, Musa balbisiana, and Musa itinerans. They were named MaSSADH1-1 to MaSSADH1-19, MbSSADH1-1 to MbSSADH1-18, and MiSSADH1-1 to MaSSADH1-18 according to their gene ID and structure. The findings indicate that the lengths of SSADH genes range from 366 to 814 amino acids. The molecular weight (MW) ranged from 6.586 to 8.949 kDa. The predicted pI was between 5.21 and 9.36. An aliphatic index varied from 29.49 to 52.41. As for the physicochemical properties of the proteins, 42% of the SSADH gene family members GRAVY values are negative. In addition, most of the SSADH proteins did not have transmembrane domains, except MaSSADH1-12 and MbSSADH1-11. The subcellular localization findings indicated that the majority of SSADH genes (94%) were situated in the mitochondrion and cytoplasm. But the MaSSADH1-14, MbSSADH1-12, MiSSADH1-2, and MiSSADH1-11 were localized in the chloroplast.

Table 1.
Physicochemical properties of SSADH proteins.
2.2. Gene Structure, Conserved Motifs, Functional Domain Prediction, and Phylogenetic
This study examined the structure of SSADH genes in banana for further investigation (Figure 1). We utilized the MEME to predict 10 conserved domain models for the MaSSADH, MbSSADH, and MiSSADH protein family members. The 10 conserved motifs of the banana SSADH proteins were analyzed using the MEME online website, and it was found that each MaSSADH contained motif 2. It is interesting that the MaSSADH1-2 only has motif 2. Except for a few MbSSADH proteins with partial deletions, the rest contained motif 1, motif 3, motif 4, motif 5, and motif 7. Most of the MiSSADH proteins contained motif 1, motif 2, motif 3, motif 4, motif 5, motif6, motif 7, motif 8, and motif 10. These data reveal a significant level of sequence conservation within the MaSSADH, MbSSADH, and MiSSADH protein family. The examination of gene structure disclosed the length of the SSADH gene and the quantitative correlation between the coding sequence (CDS) and the untranslated region (UTR). MaSSADHs and most of MbSSADHs have UTR, except for MbSSADH1-7 and MbSSADH1-14. The difference between the other two is that none of the members of the MiSSADH genome have UTR. The results demonstrate the variability of the banana SSADH protein sequences.

Figure 1.
The picture describes gene motifs (A), gene structures (B), and protein domains (C) of banana MaSSADH, MbSSADH, and MiSSADH genes, respectively.
To investigate the phylogenetic relationship between the SSADH proteins and their homologs from other species, we created phylogenetic trees (Figure 2). The 57 sequences were divided into five groups, MaSSADH1-9 to MiSSADH1-11, MbSSADH1-7 to MbSSADH1-10, MaSSADH1-12 to MiSSADH1-16, MaSSADH1-13 to MiSSADH1-4, and MbSSADH1-2 to MiSSADH1-1.

Figure 2.
Phylogenetic tree for Musa acuminata, Musa balbisiana, Musa itinerans, Arabidopsis thaliana, and Oryza sativa. The SSADH proteins from Musa acuminata, Musa balbisiana, Musa itinerans, Arabidopsis thaliana, and Oryza sativa were firstly aligned using the ClustalW, and the phylogenetic tree was then constructed using MEGA X by the neighbor-joining method. A total of 1000 bootstrap replications were applied.
2.3. Chromosome Mapping and Collinearity Analysis
In order to comprehend the distribution characteristics and gene replication of the SSADH genes, the genomic annotation information of banana was employed to ascertain the chromosomal localization of the MaSSADH, MbSSADH, and MiSSADH genes.
We respectively mapped MaSSADH, MbSSADH, and MiSSADH to the Musa acuminata, Musa balbisiana, and Musa itinerans chromosomes to study their chromosomal distribution (Figure 3). As depicted in Figure 4, the 19 MaSSADHs exhibited an uneven distribution across 10 chromosomes, accounting for approximately 5/6 of the 12 chromosomes present in Musa acuminata. The 18 MbSSADH members were distributed on 10 chromosomes. Notably, the M. itinerans genome is a Scaffold-level genome. MiSSADH was localized on 18 scaffolds(S).

Figure 3.
Chromosomal localization of MaSSADH (A), MbSSADH (B), and MiSSADH (C). Chromosomes are depicted in orange. Segmental duplication genes are linked by dark red lines.

Figure 4.
The collinearity analysis of MaSSADH (A), MbSSADH (B), and MiSSADH (C). Red lines: gene-duplication events of the SSADH gene family in banana. Grey lines:gene-duplication events of the other genes in banana.
To understand gene-duplication events of the SSADH gene family collinear was used to analyze the whole genome (Figure 4). From the intragenome synteny analysis, there separately were six groups in Musa acuminata, six groups in Musa balbisiana, and two groups in Musa itinerans tandem.
To enhance comprehension of the evolutionary trajectory and source of the SSADH gene family, collinearity maps were generated comparing the three varieties of bananas (Figure 5). Based on the collinearity analysis among the three genomes of Musa acuminata, Musa balbisiana, and Musa itinerans, 26 gene pairs between MaSSADHs and MbSSADHs, 20 gene pairs between MaSSADHs and MiSSADHs, and 12 gene pairs between MbSSADHs and MiSSADHs were found. However, the sequence assembly of the Musa itinerans genome is fragmented and of weak continuity, being in the Scaffold(S) stage, the collinearity with the other two banana species is unclear. These results suggest that the MiSSADHs and MbSSADHs are closer to the MaSSADHs than between them.

Figure 5.
Collinearity visualization between MaSSADHs, MbSSADHs, and MiSSADHs.
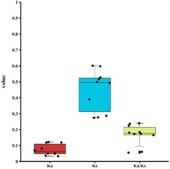
2.4. Ka, Ks, and Ka/Ks of SSADH Gene Family
The Ka/Ks ratio is often a significant signal of selection pressure in evolution. The study assessed the strength of natural selection by calculating the number of non-synonymous substitution sites (Ka) for SSADH homologous genes (Figure 6). The Ka/Ks ratios were determined, with the particular numbers presented in the Supplementary Table S2. Ka/Ks > 1 indicates a good selection effect. Conversely, Ka/Ks < 1 indicates the presence of a purifying selection effect. Neutral selection can solely be determined by a Ka/Ks ratio of 1. Consequently, 10 pairs of SSADH displayed low Ka/Ks values, with no homologous gene pair demonstrating a Ka/Ks ratio beyond 0.3. The Ka/Ks ratios ranged from 0.055 (MaSSADH1-8/MaSSADH1-11) to 0.236 (MiSSADH1-9/MiSSADH1-10), suggesting that the SSADH gene family has seen significant purifying selection following duplication.

Figure 6.
The Ka, Ks, and Ka/Ks value of the collinear SSADH gene pair.
2.5. Prediction Analysis of the SSADH Genes Promoter Cis-Acting Element
The cis-acting elements within promoters are generally related to abiotic stress responses, hormone responses, and developmental processes []. The detailed functional annotations of cis-acting elements are in the Supplementary Table S3. The cis-acting elements of Musa acuminata are involved in defense and stress responses, except for MaSSADH1-1, MaSSADH1-7, MaSSADH1-8, MaSSADH1-13, and MaSSADH1-16. But only MbSSADH1-2, MbSSADH1-10, and MbSSADH1-11 have cis-acting elements involved in defense and stress responses in Musa balbisiana. And MbSSADH1-1, MbSSADH1-7, MbSSADH1-9, MbSSADH1-13, MbSSADH1-15, and MbSSADH1-16 of Musa itinerans have this cis-acting element. In contrast to Musa acuminata, both Musa balbisiana and Musa itinerans possess components that participate in the response to gibberellin and methyl jasmonate. MbSSADH1-5, MbSSADH1-8, MbSSADH1-11, and MbSSADH1-15 in Musa balbisiana, as well as MiSSADH1-3, MiSSADH1-5, MiSSADH1-8, MiSSADH1-9, and MiSSADH1-17 in Musa itinerans, possess cis-acting elements associated with gibberellin response elements. These results suggest that the SSADH gene family possesses many biological functions and is crucial to light response, hormone regulation, and the growth and development in banana(Figure 7).

Figure 7.
Cis-acting of SSADH promoter elements in Musa acuminata, Musa balbisiana, and Musa itinerans. The color depth of the square represents the number of cis-acting elements.
2.6. The Expression Analysis of MaSSADHs Under Low-Temperature Stress
The expression levels of all 19 MaSSADHs were investigated thoroughly using a rigorous transcriptome analysis procedure based on public transcriptomic data of different temperatures of “Sanmingyeshengjiao”(Figure 8). The treatment at 4 °C led to the differential expression of 19 MaSSADHs. And two genes (MaSSADH1-3 and MaSSADH1-13) were upregulated, and 17 were downregulated. The expression of the MaSSADH1-1, MaSSADH1-2, MaSSADH1-4, MaSSADH1-10, and MaSSADH1-14 were differentially downregulated from 28 °C to 0 °C. The expression levels of MaSSADH1-13 and MaSSADH1-18 were downregulated from 28 °C to 4 °C and increased from 4 °C to 28 °C. And MaSSADH1-5, MaSSADH1-9, and MaSSADH1-11 had higher expression in 13 °C.

Figure 8.
Expression analysis of banana MaSSADH family at different temperatures.
To investigate the expression pattern of SSADH members under cold treatment, the expression patterns of nine randomly selected MaSSADH genes in different stages at low temperatures (4 °C, 13 °C, and 28 °C) were determined by qRT-PCR. The qRT-PCR results demonstrated that nine MaSSADH genes exhibited significant differences, showing expression patterns consistent with the transcriptome findings. And most of the genes were significantly downregulated under cold treatment (Figure 9). It is noteworthy that MaSSADH1-9 were highly expressed under cold treatment. In addition, MaSSADH1-1, MaSSADH1-2, MaSSADH1-4, MaSSADH1-9, MaSSADH1-10, and MaSSADH1-14 exhibited the highest expression levels at 13 °C. MaSSADH1-8, MaSSADH1-16, and MaSSADH1-17 exhibited a comparatively elevated expression level following cold treatment at 4 °C.


Figure 9.
Expression patterns of nine MaSSADHs under temperature treatment at 28, 13, and 4 °C by qRT-PCR. The data represent the mean ± standard deviation (SD) of three replicates. ** and *** are significantly different from the control at p < 0.01 and 0.001, respectively.
2.7. Subcellular Localization and Transient Expression in N. benthamian Eaves of MaSSADH1-14
In previous studies, most of the SSADH were located in mitochondrion. However, some family members were predicted to target in other places. To explore the fact that the SSADH gene family are not only located in mitochondria, we randomly cloned MaSSADH1-14. One fusion vector was constructed and then transformed into tobacco leaf. And the GFP of the empty protein (35S: GFP) was used as a control group. The results show that MaSSADH1-14 was detected as being localized to the chloroplast (Figure 10).

Figure 10.
The subcellular localization of MSSADH1-14 protein. pCAMBIA1302- MSSADH1-14: GFP protein fusions transiently expressed in Nicotiana benthamiana leaf cells. Excitation light wavelength: GFP field: 488 nm, PM-rk field: 587 nm. Scale bar, 75 mm.
The information diversity of SSADH gene family members in banana are relatively limited. Based on the previous expression analysis, we selected MaSSADH1-14, hypothesizing that it may be involved in the accumulation of GABA in banana. Therefore, we used a transient expression system in N. benthamiana leaves to validate the functions of the genes. In this study, we selected GUS as a screening marker. Compared with the wild type, the GABA composition was changed greatly in the transgenic tobacco (from 1.76 mg/g to 5.52 mg/g). The content of GABA was remarkably higher in positive transgenic tobacco than in wild-type (p < 0.001), indicating that the MaSSADH1-14 may contribute to the accumulation of storage GABA in N. benthamiana leaves (Figure 11).

Figure 11.
(a) Effect of infestation treatments on GABA content in Nicotiana tabacum. (b) Phenotypic map of lettuce under different treatments. *** are significantly different from the control at 0.001.
3. Discussion
Banana often suffers from external low-temperature stresses in winter []. It causes huge economic losses to the banana industry. Cell membrane damage was considered the initial reaction of chilling injury. Low-temperature stress induces the outbreak of reactive oxygen species in banana, accompanied by a decrease in antioxidant capacity. These can lead to impairment of banana cell membrane function []. GABA shunt balances reactive oxygen species (ROS). With the GABA shunt, it is possible to generate GABA. GABA significantly inhibits the low-temperature injury and enhances the anti-oxidative enzyme activities, such as superoxide dismutase, catalase, ascorbate peroxidase, and dehydro-ascorbate reductase []. SSADH is a critical enzyme in the GABA shunt pathway; it is a class of dehydrogenases functioning primarily in the mitochondria []. For example, mutation of this gene has been shown to cause death in Arabidopsis thaliana [], where it produces the metabolite γ-hydroxybutyrate (GHB), which is currently thought to be associated with abiotic stresses in plants []. Furthermore, SSADH is a substantial subfamily of the ALDHs family. In plants, ALDHs are involved in abiotic stress tolerance []. This paper is the first public investigation and identification of SSADH through banana genomic data, enhancing the comprehension of the SSADH gene family function under cold stress in banana.
The majority of currently cultivated bananas originated from inter- or intraspecific crosses between two wild diploid species, Musa acuminata and Musa balbisiana, and their subspecies []. Musa balbisiana is commonly used in breeding studies because of its resistance characteristics to cold, while Musa itinerans has been shown to be one of the most resistant species in the genus Plantago and can be used as material for studies on banana’s resistance to cold []. In this study,19 MaSSADHs, 18 MbSSADHs, and 18 MiSSADHs were identified from the three banana genomes. Nonetheless, substantial disparities exist in the quantity of SSADH gene family members among species, likely due to gene duplication or deletion events during evolutionary history. There are 1, 2, 1, 1, 1, and three SSADH genes in A. thaliana [], Sugarcane [], Poplar [], Setaria italica L. [], O. sativa [], and V. vinifera []. It has been noted that three whole-genome duplication (WGD) events transpired in the banana genome over its evolutionary history []. Gene polyploidy is widespread and recurrent in plant evolution, and polyploidy produces a large number of duplicated genes, which are adaptations to the external environment and evolve genetically innovative material with higher levels of function []. Therefore, the higher number of members of the SSADH gene family in banana may be a response mechanism that occurred in banana during the evolutionary process of adapting to the environmental changes.
And 58% of the SSADH gene family members are hydrophilic proteins, which are favourable for plant adaptation to abiotic stresses [], and it is hypothesised that the proteins play an important role in stressful environments. In the prediction of subcellular localisation of the proteins, most of the members of the banana SSADH gene family were localised in mitochondria, which is the same as in Arabidopsis thaliana, rice, and other plants, and is presumed to be associated with mitochondrial metabolic functions []. Furthermore, MaSSADH1-14, MbSSADH1-12, MiSSADH1-2, and MiSSADH1-11 are localised in the chloroplast and is speculated to be involved in chloroplast formation, thereby affecting photosynthesis. It is proven that MaSSADH1-14 is in the chloroplast through subcellular localization.
The structure of exons and introns affects the function of proteins and the expression and regulation of genes, which means that exons and introns enable genes to play an important role in organisms and thus in the maintenance of life [,]. Our findings indicate that all SSADHs possess introns, suggesting that this characteristic may have been evolutionarily conserved and potentially hold functional significance. These genes may utilize introns to generate unique splice variants, hence modulating gene function for specific developmental stages and tissue types []. Furthermore, members of the SSADH gene family in Musa acuminata and Musa balbisiana have UTR, except for MbSSADH1-13. However, all SSADH gene family members in Musa itinerans do not have a UTR, indicating that the structure of the SSADH gene has diversified between different genomes of banana. Most members of the conserved motifs in these three gene families in banana have the same motif, indicating that there is a high degree of consistency in the structure of the members of this gene family and that the members are highly conserved.
A phylogenetic tree analysis of SSADH family members from Arabidopsis and rice revealed their classification into five subfamilies. Interestingly, over half of these members were grouped together with those from banana, indicating a close relationship among the family members across these species. However, evolutionary selection processes have led to distinct classifications. To assess the evolutionary trajectory of the SSADH gene family, the Ka/Ks values of 10 pairs of duplicated tandem genes were calculated. Remarkably, all sequences exhibited Ka/Ks values below 1, suggesting a prevalence of negative selection or purifying selective pressure within the SSADH gene family. This observation underscores the high conservation of the SSADH gene family throughout evolution, implying a consistent functional role across species.
Gene duplication is a crucial driving force in the evolution of genomes and the genetics of species []. The primary factors contributing to gene family amplification in plants are segmentation and tandem duplication []. Gene duplication can not only add new members to the gene family but also enrich the function of the gene family, which greatly promotes the genetic evolution of various organisms []. Tandem and segmental replication events were identified in the SSADH gene family, suggesting that gene replication was a significant factor in the expansion of SSADH gene family members in banana. The results of the syntenic analysis of SSADHs among Musa acuminata, Musa balbisiana, and Musa itinerans show that there were three collinear gene pairs in Musa acuminata and Musa balbisiana, Musa acuminata, and Musa itinerans, and five collinear gene pairs in Musa balbisiana and Musa itinerans.
The many types of cis-acting elements in the gene promoter suggest that the gene may exhibit diverse roles in response to stress []. The promoter prediction results show that the cis-regulatory element of the three bananas had many response elements linked to photo responses, plant hormone responses, and environmental stress. This shows that it plays a significant role in the growth and development of plants [,]. Plant hormones are essential signaling molecules that regulate plant development, growth, and defense systems [,,]. Recent research indicates that the exogenous administration of plant hormones such as abscisic acid, brassinosteroids, gibberellins, auxins, cytokinins, jasmonic acid, and ethylene can markedly improve cold tolerance []. And three banana genomes contain elements related to low-temperature response or resistance to adversity, suggesting that this clade plays an important role in resistance to adversity and stress response. Additionally, the promoter region of the SSADH gene has a significant quantity of light-responsive components, suggesting a possible association with circadian control.
Gene expression is closely related to gene function []. The expression was significant alter under low temperature of MaSSADH genes, except MaSSADH1-5, MaSSADH1-6, and MaSSADH1-12. This indicates that the SSADH gene family is regulated by temperature in banana. As the temperature decreased, the expression of these 16 members were downregulated, except for MaSSADH1-10 and MaSSADH1-14. The work indicates the substantial regulatory function of the SSADH gene family in banana responses to low-temperature stress.
RNA-seq is typically employed to investigate gene function and structure comprehensively, elucidating the molecular mechanisms behind specific biological processes and disease manifestation [,]. The relative gene expression of some SSADH gene family members in banana was examined by qRT-PCR under low-temperature treatment. Our analysis indicated that of the nine MasSSADHs examined, the majority of genes were downregulated in response to cold stress, but only MasSSADH1-9 was upregulated. The research suggested that these MaSSADHs are probably in response to low-temperature stress. It means that SSADH genes have potential applications in cold-resistant breeding. However, its specific mechanism of action still needs to be further explored.
4. Materials and Methods
4.1. Plant Material and Low Temperature Treatment
The five- to seven-leaf banana used in this study was from the Institute of Horticultural Biotechnology, Fujian province, China. These bananas were divided into three groups. The banana was positioned in a thermostatic incubator (Jiangnan Instrument Factoy, Ningbo, China) at 4 °C, 13 °C, and 28 °C. We collected the leaves of samples at 24 h.
4.2. Identification, Physicochemical and Phylogenetic Tree
The genome information of SSADH genes were acquired from Banana-Genome-Hub (https://banana-genome-hub.southgreen.fr/, accessed on 15 April 2023) []. The AtSSADH sequences were from TAIR (https://www.arabidopsis.org/, accessed on 5 July 2023). To obtain the potential SSADHs in banana, the SSADH gene family member of Arabidopsis thaliana was used as query sequences to obtain preliminary candidate genes using BLAST (2.12.0) in banana (E-value ≤ 1 × 20−5). Next, the hidden horse model PF00171 [] was used to search SSADH genes. And tbtools [] was used to search the genome database. We combined these results to CD search (https://www.ncbi.nlm.nih.gov/Structure/cdd/wrpsb.cgi, accessed on 27 July 2023). It was confirming the candidate SSADH []. ExPAsy (https://web.expasy.org/protparam/, accessed on 28 April 2023) as a tool to predict physicochemical of SSADH proteins []. Plant-mPLoc (http://www.csbio.sjtu.edu.cn/bioinf/plant-multi/, accessed on 22 March 2023) was used for the subcellular locations and []. TMHMM Server (https://services.healthtech.dtu.dk/service.php?tmhmm-2.0, accessed on 23 March 2023) was used for the transmembrane analysis []. The study used MEGAX to examine SSADHs from Musa acuminata, Musa balbisiana, Musa itinerans, rice, and Arabidopsis to determine their phylogenetic relationship. MEGAX [] was utilized to build a phylogenetic tree.
4.3. Gene Structure, Motifs and Domains
The exon-intron architecture was inferred by delineating the gene structure of all potential banana SSADH genes utilizing TBtools (2.056). The conserved motifs of the SSADH family in banana species were examined using the MEME online tool (https://meme-suite.org/meme/doc/meme.html, accessed on 20 March 2025), with the motif parameter configured to 10 []. The TBtools mapping program helped one to see the gene structure. TBtools displayed the chromosomal sites of banana in line with the genomic annotation file.
4.4. Cis-Acting Element Prediction
We submitted the sequences of SSADH genes to PlantCART (http://bioinformatics.psb.ugent.be/webtools/plantcare/html/, accessed on 3 May 2023). The 2000 bp upstream sequences were employed to forecast the cis-acting elements. Subsequently, tbtools serves as a tool to illustrate the results of PlantCART [].
4.5. Chromosome Mapping and Collinearity
Drawing distribution map and length scale of chromosome by TBtools software []. We respectively analyzed SSADH gene family collinearity and gene replication by TBtools (v2.056) in three bananas. The relationships were verified and visualized by the JCVI [] for collinearity analysis in three bananas.
4.6. Ka/Ks Values Analysis
The Ka/Ks values is a genetic metric that evaluates the impact of selection pressure on these genes. The study utilized TBtools (v2.056) software to calculate it.
4.7. Transcriptome Data and qRT-PCR
To investigate the expression profiles of MaSSADHs across various temperature, the transcriptome data of MaSSADH genes were retrieved from the bioproject database []. The raw data was deposited in NCBI-SRA database (SRA: SRS3320042). And the expression heatmap was drawn using tbtools to analyse the expression of the MaSSADHs.
Differentially expressed SSADH family genes were verified using qRT-PCR. The primers were used IDT to design (https://sg.idtdna.com/pages, accessed on 20 March 2025) []. The nine SSADH genes were selected randomly. CAC was used as a reference gene []. The relative expression levels of MaSSADHs were calculated using the 2−∆∆Ct. Prism GraphPad 9.5 was employed to assess the significance test among samples. All data were analyzed using GraphPad Prism 9.5 for one-way ANOVA and Dunnett’s multiple comparison test (* p < 0.05, ** p < 0.01, and *** p < 0.001).
4.8. Subcellular Localization
We used snapgene 7.1 to design primers of pCAMBIA1302-MaSSADH1-14:GFP (Table S1). The MaSSADH1-14 was cloned without stop codon into pCAMBIA1302 vector. SpeI and NcoI were utilized to linearize pCAMBIA1301. Subsequently, we introduced the 35S: MaSSADH-GFP construct into tobacco leaves. The vector devoid of the gene were utilized as controls. The overexpression vector pCAMBIA1302-MaSSADH1-14: GFP was successfully transformed into tobacco epidermal cells, while pCAMBIA1302: GFP alone was transformed to use as a control. We cultivated N. benthamiana in the dark for 24 h after injection into the abaxial epidermis []. The Olympus-FV1200 (Japan) was employed to examine the GFP fluorescence signals post-treatment.
4.9. Transient Expression of in N. benthamiana Leaves
The snapgene 7.1 was the tool to design primers of pCAMBIA1301-MaSSADH1-14 (Table S1). XbaI and SalI were utilized to linearized pCAMBIA1301. The three experimental treatment groups were blank group (no injection), overexpression group, injection group (injection of pCAMBIA1301-MaSSADH1-14) and empty vector (injection with pCAMBIA1301). Each treatment had 30 Nicotiana benthamiana. We extracted DNA to verify the positive transformation. Samples were collected to measure the GABA content after 48 h of treatment.
4.10. Measurement of the Contents of GABA
We used the GABA assay kit (Herui, Fuzhou, China) to measure the content of GABA. The assay was measured at an absorbance at 640 nm, which is based on the reaction of phenol and sodium hypochlorite with GABA.
5. Conclusions
The study found and analyzed 19 MaSSADH, 18 MbSSADH, and 18 MiSSADH genes using banana genomic data. Most of the SSADH genes are in response to low-temperature stress. The transient expression of MaSSADH1-14 underscores its importance in regulating GABA accumulation. These results indicated the important role of the SSADH gene family in low-temperature responses. This will serve as a foundation for subsequent research on the role of SSADH genes in bananas under low-temperature conditions. Furthermore, this study provides a theoretical basis and molecular mechanism support for breeding cold-tolerant banana varieties.
Supplementary Materials
The following supporting information can be downloaded at: https://www.mdpi.com/article/10.3390/ijms26073006/s1.
Author Contributions
X.G. designed and performed the experiments and statistical analyses, produced the figures and tables, and wrote this manuscript. F.Y. conducted some of the experiments and analyzed the data. X.Z.: supervision, review, and editing. M.T.: supervision, review, and editing. K.W.: supervision, review, and editing. C.L.: supervision, review, and editing. Z.L.: Methodology and supervision. Y.L.: Methodology, writing—review and editing, and supervision. All authors have read and agreed to the published version of the manuscript.
Funding
This research was funded by the National Key Research and Development Project (2019YFD1000900) and the National Modern Agricultural Industrial Technology System (Banana) Special Fund (GARS-31-15).
Institutional Review Board Statement
Not applicable.
Informed Consent Statement
Not applicable.
Data Availability Statement
The data sets presented in this study can be found in online repositories. The names of the repository/repositories and accession number(s) can be found in the article/Supplementary Materials.
Acknowledgments
Materials used for experiments are from the Fujian Agriculture and Forestry University.
Conflicts of Interest
The authors declare that the research was conducted in the absence of any commercial or financial relationships that could be construed as a potential conflict of interest.
References
- Brocker, C.; Vasiliou, M.; Carpenter, S.; Carpenter, C.; Zhang, Y.; Wang, X.; Kotchoni, S.O.; Wood, A.J.; Kirch, H.-H.; Kopečný, D.; et al. Aldehyde dehydrogenase (ALDH) superfamily in plants: Gene nomenclature and comparative genomics. Planta 2013, 237, 189–210. [Google Scholar] [CrossRef]
- Vasiliou, V.; Bairoch, A.; Tipton, K.F.; Nebert, D.W. Eukaryotic aldehyde dehydrogenase (ALDH) genes: Human polymorphisms, and recommended nomenclature based on divergent evolution and chromosomal mapping. Pharmacogenetics 1999, 9, 421–434. [Google Scholar]
- Lindahl, R. Aldehyde dehydrogenases and their role in carcinogenesis. Crit. Rev. Biochem. Mol. Biol. 1992, 27, 283–335. [Google Scholar]
- Yoshida, A.; Rzhetsky, A.; Hsu, L.C.; Chang, C. Human aldehyde dehydrogenase gene family. Eur. J. Biochem. 1998, 251, 549–557. [Google Scholar] [PubMed]
- Baek, N.-I.; Choi, S.Y.; Park, J.K.; Cho, S.-W.; Ahn, E.-M.; Jeon, S.G.; Lee, B.R.; Bahn, J.H.; Kim, Y.K.; Shon, I.H. Isolation and identification of succinic semialdehyde dehydrogenase inhibitory compound from the rhizome of Gastrodia elata Blume. Arch. Pharmacal Res. 1999, 22, 219–224. [Google Scholar]
- Ludewig, F.; Hüser, A.; Fromm, H.; Beauclair, L.; Bouché, N. Mutants of GABA transaminase (POP2) suppress the severe phenotype of succinic semialdehyde dehydrogenase (ssadh) mutants in Arabidopsis. PLoS ONE 2008, 3, e3383. [Google Scholar]
- Busch, K.B.; Fromm, H. Plant succinic semialdehyde dehydrogenase. Cloning, purification, localization in mitochondria, and regulation by adenine nucleotides. Plant Physiol. 1999, 121, 589–598. [Google Scholar] [CrossRef]
- Fan, Z.; Zhao, B.; Zeng, Y.; Lai, R.; Zhao, X.; Chen, Y.; Lin, Y.; Du, Y.; Lai, Z. MaMPK19, a Key Gene Enhancing Cold Resistance by Activating the CBF Pathway in Banana. Plant Physiol. Biochem. 2024, 217, 109290. [Google Scholar]
- Che-Othman, M.H.; Jacoby, R.P.; Millar, A.H.; Taylor, N.L. Wheat mitochondrial respiration shifts from the tricarboxylic acid cycle to the GABA shunt under salt stress. New Phytol. 2020, 225, 1166–1180. [Google Scholar] [CrossRef]
- Bown, A.W.; Shelp, B.J. Does the GABA shunt regulate cytosolic GABA. Trends Plant Sci. 2020, 25, 422–424. [Google Scholar] [CrossRef]
- Bouché, N.; Fait, A.; Bouchez, D.; Møller, S.G.; Fromm, H. Mitochondrial succinic-semialdehyde dehydrogenase of the γ-aminobutyrate shunt is required to restrict levels of reactive oxygen intermediates in plants. ProC. Natl. Acad. Sci. USA 2003, 100, 6843–6848. [Google Scholar] [CrossRef] [PubMed]
- Ayenew, B.; Degu, A.; Manela, N.; Perl, A.; Shamir, M.O.; Fait, A. Metabolite profiling and transcript analysis reveal specificities in the response of a berry derived cell culture to abiotic stresses. Front. Plant Sci. 2015, 6, 728. [Google Scholar] [CrossRef] [PubMed]
- Bor, M.; Seckin, B.; Ozgur, R.; Yilmaz, O.; Ozdemir, F.; Turkan, I. Comparative effects of drought, salt, heavy metal and heat stresses on gamma-aminobutyric acid levels of sesame (Sesamum indicum L). Acta Physiol. Plant. 2009, 31, 655–659. [Google Scholar]
- Cheng, B.; Li, Z.; Liang, L.; Cao, Y.; Zeng, W.; Zhang, X.; Ma, X.; Huang, L.; Nie, G.; Liu, W.; et al. The γ-aminobutyric acid (GABA) alleviates salt stress damage during seeds germination of white clover associated with Na+/K+ transportation, dehydrins accumulation, and stress-related genes expression in white clover. Int. J. Mol. Sci. 2018, 19, 2520. [Google Scholar] [CrossRef] [PubMed]
- Li, L.; Dou, N.; Zhang, H.; Wu, C. The versatile GABA in plants. Plant Signal. Behav. 2021, 16, 1862565. [Google Scholar] [CrossRef]
- Wang, J.; Zhang, Y.; Wang, J.; Khan, A.; Kang, Z.; Ma, Y.; Zhang, J.; Dang, H.; Li, T.; Hu, X. SlGAD2 is the target of SlTHM27,positively regulates cold tolerance by mediating anthocyanin biosynthesis in tomato. Hortic. Res. 2024, 11, 39–51. [Google Scholar]
- Liu, W.; Cheng, C.; Chen, F.; Ni, S.; Lin, Y.; Lai, Z. High-throughput sequencing of small RNAs revealed the diversified cold-responsive pathways during cold stress in the wild banana (Musa itinerans). BMC Plant Biol. 2018, 18, 308. [Google Scholar] [CrossRef] [PubMed]
- Moreano, J.P.S.; Xu, X.; Criollo, C.B.A.; Chen, X.; Lin, Y.; Munir, N.; Lai, Z. Genome-Wide Identification and Comprehensive Analyses of TCP Gene Family in Banana (Musa L.). Trop. Plant Biol. 2021, 14, 180–202. [Google Scholar]
- Han, Y.C.; Fu, C.C. Cold-inducible MaC2H2s are associated with cold stress response of banana fruit via regulating MaICE1. Plant Cell Rep. 2019, 38, 673–680. [Google Scholar] [CrossRef]
- Meng, J.; Hu, B.; Yi, G.; Li, X.; Chen, H.; Wang, Y.; Yuan, W.; Xing, Y.; Sheng, Q.; Su, Z.; et al. Genome-wide analyses of banana fasciclin-like AGP genes and their differential expression under low-temperature stress in chilling sensitive and tolerant cultivars. Plant Cell Rep. 2020, 39, 693–708. [Google Scholar]
- Song, Z.; Lai, X.; Yao, Y.; Qin, J.; Ding, X.; Zheng, Q.; Pang, X.; Chen, W.; Li, X.; Zhu, X. F-box protein EBF1 and transcription factor ABI5-like regulate banana fruit chilling-induced ripening Disorder. Plant Physiol. 2022, 188, 1312–1334. [Google Scholar] [PubMed]
- Yang, A.; Cao, S.; Yang, Z.; Cai, Y.; Zheng, Y. γ-Aminobutyric acid treatment reduces chilling injury and activates the defence response of peach fruit. Food Chem. 2011, 129, 1619–1622. [Google Scholar]
- Fait, A.; Yellin, A.; Fromm, H. GABA shunt deficiencies and accumulation of reactive oxygen intermediates: Insight from Arabidopsis mutants. FEBS Lett. 2005, 579, 415–420. [Google Scholar]
- Breitkreuz, K.E.; Allan, W.L.; Van Cauwenberghe, O.R.; Jakobs, C.; Talibi, D.; André, B.; Shelp, B.J. A novel gamma-hydroxybutyrate dehydrogenase: Identification and expression of an Arabidopsis cDNA and potential role under oxygen deficiency. J. Biol. Chem. 2003, 278, 41552–41556. [Google Scholar]
- Kotchoni, S.O.; Jimenez-Lopez, J.C.; Gao, D.; Edwards, V.; Gachomo, E.W.; Margam, V.M.; Seufferheld, M.J. Modeling-Dependent Protein Characterization of the Rice Aldehyde Dehydrogenase (ALDH) Superfamily Reveals Distinct Functional and Structural Features. PLoS ONE 2010, 5, e11516. [Google Scholar]
- Baurens, F.-C.; Bocs, S.; Rouard, M.; Matsumoto, T.; Miller, R.N.; Rodier-Goud, M.; Mbéguié-A.-Mbéguié, D.; Yahiaoui, N. Mechanisms of haplotype divergence at the RGA08 nucleotide-binding leucine-rich repeat gene locus in wild banana (Musa balbisiana). BMC Plant Biol. 2010, 10, 149. [Google Scholar]
- Wu, W.; Yang, Y.-L.; He, W.-M.; Rouard, M.; Li, W.-M.; Xu, M.; Roux, N.; Ge, X.-J. Whole genome sequencing of a banana wild relative Musa itinerans provides insights into lineage-specific diversification of the Musa genus. Sci. Rep. 2016, 6, 31586. [Google Scholar] [CrossRef]
- Zhang, J.; Guo, C.; Wang, B.; Zhang, M.; Chen, Y.; Chen, R. Cloning and Expression Analysis of a Water Stress-Induced ALDH Gene from Sugarcane. Sci. Agric. Sin. 2009, 42, 2676–2685. [Google Scholar]
- Zhu, C.; Ming, C.; Zhao-shi, X.; Lian-cheng, L.; Xue-ping, C.; You-zhi, M. Characteristics and Expression Patterns of the Aldehyde Dehydrogenase (ALDH) Gene Superfamily of Foxtail Millet (Setaria italica L.). PLoS ONE 2014, 9, e101136. [Google Scholar]
- He, X.; Zhang, J. Rapid subfunctionalization accompanied by prolonged and substantial neofunctionalization in duplicate gene evolution. Genetics 2005, 169, 1157–1164. [Google Scholar]
- D’Hont, A.; Denoeud, F.; Aury, J.M.; Baurens, F.-C.; Carreel, F.; Garsmeur, O.; Noel, B.; Bocs, S.; Droc, G.; Rouard, M.; et al. The banana (Musa acuminata) genome and the evolution of monocotyledonous plants. Nature 2012, 488, 213–217. [Google Scholar] [CrossRef]
- Luo, Y.; Wang, H.; Wang, Y.; Lu, Z.; Liu, Y.; Shan, Y.; Chen, X.; Ye, H.; Gao, L.; Xia, T. Expression and Optimization of Anthocyanin Reductase Gene of Tea Plant [Camellia sinensis (L.) O. Kuntze] in Escherichia coli. J. Tea Sci. 2011, 31, 326–332. [Google Scholar]
- Xu, G.; Guo, C.; Shan, H.; Kong, H. Divergence of duplicate genes in exon-intron structure. Proc. Natl. Acad. Sci. USA 2012, 109, 1187–1192. [Google Scholar] [CrossRef]
- Gorlova, O.; Fedorov, A.; Logothetis, C.; Amos, C.; Gorlov, I. Genes with a large intronic burden show greater evolutionary conservation on the protein level. BMC Evol. Biol. 2014, 14, 50. [Google Scholar] [CrossRef]
- Magadum, S.; Banerjee, U.; Murugan, P.; Gangapur, D.; Ravikesavan, R. Gene duplication as a major force in evolution. Gene 2013, 92, 155–161. [Google Scholar] [CrossRef]
- Lawton-Rauh, A. Evolutionary dynamics of duplicated genes in plants. Molecular Phylogenetics Evol. 2020, 29, 396–409. [Google Scholar] [CrossRef]
- Du, H.; Zhang, W.; Zhang, W.; Zhang, W.; Pan, H.; Pan, Y.; Bazylinski, D.A.; Wu, L.F.; Xiao, T.; Lin, W. Magnetosome gene duplication as an important driver in the evolution of magnetotaxis in the Alphaproteobacteria. Msystems 2019, 4, e00315–e00319. [Google Scholar] [CrossRef]
- Chen, J.; Wang, B.; Chung, J.-S.; Chai, H.; Liu, C.; Ruan, Y.; Shi, H. The role of promoter cis-element, mRNA capping, and ROS in the repression and salt-inducible expression of AtSOT12 in Arabidopsis. Front. Plant Sci. 2015, 6, 974. [Google Scholar] [CrossRef]
- Ramesh, S.A.; Tyerman, S.D.; Gilliham, M.; Xu, B. gamma-Aminobutyric acid (GABA) signalling in plants. Cell Mol. Life Sci. 2017, 74, 1577–1603. [Google Scholar]
- Seifikalhor, M.; Aliniaeifard, S.; Hassani, B.; Niknam, V.; Lastochkina, O. Diverse role of gamma-aminobutyric acid in dynamic plant cell responses. Plant Cell Rep. 2019, 38, 847–867. [Google Scholar] [CrossRef]
- Verma, V.; Ravindran, P.; Kumar, P.P. Plant hormone-mediated regulation of stress responses. BMC Plant Biol. 2016, 16, 86. [Google Scholar] [CrossRef]
- Küpers, J.J.; Oskam, L.; Pierik, R. Photoreceptors regulate plant developmental plasticity through auxin. Plants 2020, 9, 940. [Google Scholar] [CrossRef]
- Jang, G.; Yoon, Y.; Choi, Y.D. Crosstalk with jasmonic acid integrates multiple responses in plant development. Int. J. Mol. Sci. 2020, 21, 305. [Google Scholar] [CrossRef]
- Wang, F.; Zhang, L.; Chen, X.; Wu, X.; Xiang, X.; Zhou, J.; Xia, X.; Shi, K.; Yu, J.; Foyer, C.H.; et al. SlHY5 integrates temperature, light, and hormone signaling to balance plant growth and cold tolerance. Plant Physiol. 2019, 179, 749–760. [Google Scholar] [CrossRef]
- Xu, Z.; Sun, L.; Zhou, Y.; Yang, W.; Cheng, T.; Wang, J.; Zhang, Q. Identification and expression analysis of the SQUAMOSA promoter-binding protein (SBP)-box gene family in Prunus mume. Mol. Genet. Genom. 2015, 290, 1701–1715. [Google Scholar] [CrossRef]
- Luo, W.; Li, Y.; Sun, Y.; Lu, L.; Zhao, Z.; Zhou, J.; Li, X. Comparative RNA-seq analysis reveals candidate genes associated with fruit set in pumpkin. Sci. Hortic. 2021, 288, 110255. [Google Scholar] [CrossRef]
- Prater, M.; Hamilton, R.S.; Wa Yung, H.; Sharkey, A.M.; Robson, P.; Abd Hamid, N.E.; Jauniaux, E.; Charnock-Jones, D.S.; Burton, G.J.; Cindrova-Davies, T. RNA-Seq reveals changes in human placental metabolism, transport and endocrinology across the first-second trimester transition. Biol. Open 2021, 10, 058222. [Google Scholar] [CrossRef]
- Droc, G.; Martin, G.; Guignon, V.; Summo, M.; Sempéré, G.; Durant, E.; Soriano, A.; Baurens, F.-C.; Cenci, A.; Breton, C.; et al. The banana genome hub: A community database for genomics in the Musaceae. Hortic. Res. 2022, 9, uhac221. [Google Scholar] [CrossRef]
- Zheng, J.; Zhang, Z.; Zhang, N.; Liang, Y.; Gong, Z.; Wang, J.; Ditta, A.; Sang, Z.; Wang, J.; Li, X. Identification and function analysis of GABA branch three gene families in the cotton related to abiotic stresses. BMC Plant Biol. 2024, 24, 57. [Google Scholar] [CrossRef]
- Chen, C.J.; Chen, H.; Zhang, Y.; Thomas, H.R.; Frank, M.H.; He, Y.H.; Xia, R. TBtools: An integrative toolkit developed for interactive analyses of big biological data. Mol. Plant 2020, 13, 1194–1202. [Google Scholar] [CrossRef]
- Marchler-Bauer, A.; Bryant, S.H. CD-Search: Protein domain annotations on the fly. Nucleic Acids Res. 2004, 32 (Suppl. S2), W327–W331. [Google Scholar]
- Garg, V.K.; Avashthi, H.; Tiwari, A.; Jain, P.A.; Ramkete, P.W.; Kayastha, A.M.; Singh, V.K. MFPPI–multi FASTA ProtParam interface. Bio. Inf. 2016, 12, 74–77. [Google Scholar] [CrossRef]
- Chou, K.C.; Shen, H.B. Plant-mPLoc: A top-down strategy to augment the power for predicting plant protein subcellular localization. PLoS ONE 2010, 5, e11335. [Google Scholar] [CrossRef]
- Krogh, A.; Larsson, B.; von Heijne, G.; Sonnhammer, E.L. Predicting transmembrane protein topology with a hidden Markov model: Application to complete genomes. J. Mol. Biol. 2001, 305, 567–580. [Google Scholar]
- Kumar, S.; Stecher, G.; Tamura, K. MEGA7: Molecular Evolutionary Genetics Analysis Version 7.0 for Bigger Datasets. Mol. Biol. Evol. 2016, 33, 1870–1874. [Google Scholar]
- Bailey, T.L.; Boden, M.; Buske, F.A.; Frith, M.; Grant, C.E.; Clementi, L.; Ren, J.; Li, W.W.; Noble, W.S. MEME SUITE: Tools for motif discovery and searching. Nucleic Acids Res. 2009, 37 (Suppl. S2), W202–W208. [Google Scholar] [CrossRef]
- Gao, S.; Li, L.; Han, X.; Liu, T.; Jin, P.; Cai, L.; Xu, M.; Zhang, T.; Zhang, F.; Chen, J.; et al. Genome-wide identification of the histone acetyltransferase gene family in Triticum aestivum. BMC Genom. 2021, 22, 49. [Google Scholar]
- Tang, H.; Bowers, J.E.; Wang, X.; Ming, R.; Alam, M.; Paterson, A.H. Synteny and collinearity in plant genomes. Science 2008, 320, 486–488. [Google Scholar]
- Liu, W.; Cheng, C.; Lin, Y.; Xu, H.; Lai, Z. Genome-wide identification and characterization of mRNAs and lncRNAs involved in cold stress in the wild banana (Musa itinerans). PLoS ONE 2018, 13, e0200002. [Google Scholar] [CrossRef]
- Li, Y.; Li, X.; Wei, J.; Cai, K.; Zhang, H.; Ge, L.; Ren, Z.; Zhao, C.; Zhao, X. Genome-Wide Identification and Analysis of the WRKY Gene Family and Cold Stress Response in Acer truncatum. Genes 2021, 12, 1867. [Google Scholar] [CrossRef]
- Chen, L.; Zhong, H.; Kuang, J.; Li, J.; Lu, W.; Chen, J. Validation of reference genes for RT-qPCR studies of gene expression in banana fruit under different experimental conditions. Planta 2011, 234, 377–390. [Google Scholar] [CrossRef]
- Qiao, Z.; Li, J.; Zhang, X.; Guo, H.; He, C.; Zong, D. Genome-Wide Identification, Expression Analysis, and Subcellular Localization of DET2 Gene Family in Populus yunnanensis. Genes 2024, 15, 148. [Google Scholar] [CrossRef]
Disclaimer/Publisher’s Note: The statements, opinions and data contained in all publications are solely those of the individual author(s) and contributor(s) and not of MDPI and/or the editor(s). MDPI and/or the editor(s) disclaim responsibility for any injury to people or property resulting from any ideas, methods, instructions or products referred to in the content. |
© 2025 by the authors. Licensee MDPI, Basel, Switzerland. This article is an open access article distributed under the terms and conditions of the Creative Commons Attribution (CC BY) license (https://creativecommons.org/licenses/by/4.0/).