Next Article in Journal
Experimental Conditions to Retrieve Intrinsic Cooperativity α Directly from Single Binding Assay Data Exemplified by the Ternary Complex Formation of FKBP12, MAPRE1 and Macrocyclic Molecular Glues
Previous Article in Journal
Circ_RUSC2 Sequesters miR-661 and Elevates TUSC2 Expression to Suppress Colorectal Cancer Progression
Previous Article in Special Issue
Follicular Skin Disorders, Inflammatory Bowel Disease, and the Microbiome: A Systematic Review
 
 
Font Type:
Arial Georgia Verdana
Font Size:
Aa Aa Aa
Line Spacing:
Column Width:
Background:
Article

Characterization of Gut Microbiota in Patients with Active Spreading Vitiligo Based on Whole-Genome Shotgun Sequencing

1
Department of Dermatology, St. Vincent’s Hospital, College of Medicine, The Catholic University of Korea, Seoul 16247, Republic of Korea
2
Department of Life Science, Dongguk University-Seoul, Goyang 10326, Republic of Korea
3
Department of Dermatology, Uijeongbu St. Mary’s Hospital, The Catholic University of Korea, Seoul 11765, Republic of Korea
*
Authors to whom correspondence should be addressed.
These authors contributed equally to this work.
Int. J. Mol. Sci. 2025, 26(7), 2939; https://doi.org/10.3390/ijms26072939
Submission received: 5 February 2025 / Revised: 19 March 2025 / Accepted: 19 March 2025 / Published: 24 March 2025

Abstract

Vitiligo is an autoimmune skin disease with a significant psychological burden and complex pathogenesis. While genetic factors contribute approximately 30% to its development, recent evidence suggests a crucial role of the gut microbiome in autoimmune diseases. This study investigated differences in gut microbiome composition and metabolic pathways between active spreading vitiligo patients and healthy controls using shotgun whole-genome sequencing in a Korean cohort. Taxonomic profiling reveals distinct characteristics in microbial community structure, with vitiligo patients showing an imbalanced proportion dominated by Actinomycetota and Bacteroidota. The vitiligo group exhibited significantly reduced abundance of specific species including Faecalibacterium prausnitzii, Faecalibacteriumduncaniae, and Meamonas funiformis, and increased Bifidobacterium bifidum compared to healthy controls. Metabolic pathway analysis identified significant enrichment in O-glycan biosynthesis pathways in vitiligo patients, while healthy controls showed enrichment in riboflavin metabolism and bacterial chemotaxis pathways. These findings provide new insights into the gut–skin axis in vitiligo pathogenesis and suggest potential therapeutic targets through microbiota modulation.

1. Introduction

Vitiligo is an autoimmune skin disease caused by destruction of melanocytes, with a worldwide prevalence of 0.5–1% [1]. It has a tremendous psychological burden especially in areas with skin of color and it is associated with a higher risk of developing various other autoimmune diseases such as thyroid disease, inflammatory bowel disease, and rheumatoid arthritis [2]. While there is a clear genetic predisposition to the disease, it is thought that genetics only contribute about 30% of the pathogenesis [3], with other mechanisms including environmental factors and altered inflammatory and immune responses. Therefore, gut microbiome is a subject of research to explore pathogenesis of various autoimmune diseases including metabolic, neurologic, autoimmune rheumatic, and gastrointestinal diseases.
Recent evidence suggests that human microbiome interacts with inflammatory and regulatory T cells (Tregs) to influence the progression and exacerbation of a variety of autoimmune diseases including rheumatoid arthritis, systemic lupus erythematosus, and inflammatory bowel disease [4]. Gut microbes, or their secreted metabolites, directly interact with gut-associated lymphoid tissues, leading to immune cell differentiation [5]. Moreover, they also modulate host genes through microRNAs, short non-coding RNA sequences that silence gene expression [5]. Affected host genes include those linked to differentiation of T cells, production of interleukins, proliferation of intestinal epithelial cells, gut permeability, and autophagy process [6].
Several studies have shown that patients with vitiligo exhibit differences in their gut microbiome compared to healthy controls using traditional 16s rRNA gene sequencing method. Specifically, individuals with vitiligo showed reduced alpha diversity in gut microbiome, with lower levels of Staphylococcal thermophiles and higher levels of Bacteroides fragilis [7]. Microbial composition of vitiligo lesional skin was also different compared to non-lesional sites characterized by reduction in protective bacteria like Bifidobacterium and enrichment in other bacteria [8,9]. Treatment with oral and topical antibiotics induced a redistribution of gut T cells and accumulation of skin Tregs in a mouse model [10]. Increasing evidence indicates that skin and gut dysbiosis is linked to induction of innate immunity and stress markers in patients with vitiligo.
While some patients show lifelong stability or steady progression of few vitiligo lesions, others have a rapid progression throughout the entire body surface area [11]. The cause of this rapid progression or active autoimmune reaction is not clearly understood. Therefore, we aimed to investigate differences in the composition and metabolic pathways of the gut microbiome in active spreading vitiligo patients compared with healthy controls in a Korean cohort by employing shotgun whole-genome sequencing. While shotgun and 16S sequencing provide two different channels to understand microbial composition, shotgun sequencing allows for a more detailed and comprehensive detection of all genomic DNA present in a sample including bacteria, fungi, viruses, and archaea [12]. Through taxonomic and metabolic pathway analyses using shotgun sequencing, we can achieve a more complete understanding of the role of microbial composition and function in the active progression of vitiligo.

2. Results

2.1. Clinical Characteristics

A total of 10 generalized vitiligo patients with active spreading state were enrolled in this study. Active spreading was defined as the presence of either hypochromic lesions or confetti lesions with appearance of new lesion during the last 3 months. Fecal samples were collected, and 10% were taking probiotics. The mean age of vitiligo patients was 36.9 and 8 females were included. The mean Vitiligo Area Scoring Index (VASI) was 30.1 and mean duration was 12.6 years. Two patients had thyroid disease, and one patient had diabetes. Probiotic use was reported in 10% and supplementary vitamins in 60%.

2.2. Alpha and Beta Diversity Assessment

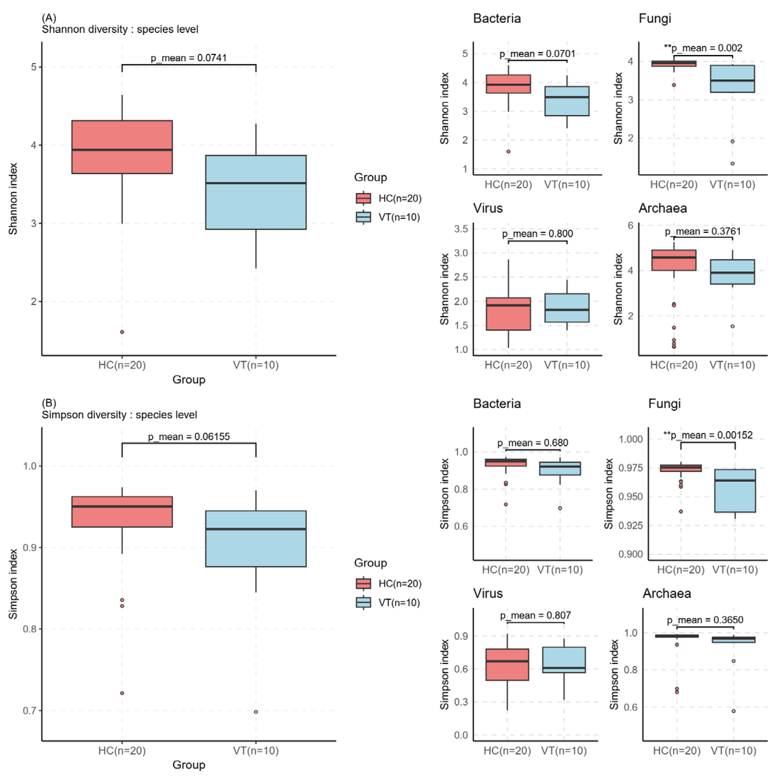
Alpha diversity between the vitiligo patients (VT) and healthy control (HC) groups at species level was calculated using the Simpson index and Shannon index (Figure 1). The VT group exhibited lower Simpson index and Shannon index compared with the HC group, although the difference was not statistically significant. This trend was consistently observed at the genus and species levels. Fungus showed the most significant difference between the two groups. For viruses and archaea, the diversity differences were relatively minimal.
Beta diversity was analyzed using the Bray–Curtis method to calculate distances based on species abundance differences between samples. While the individual values of the HC group were closely clustered together showing similar distribution, the VT group showed distinct distribution compared with the HC group with larger variation between samples (p value, 0.005). This pattern suggests that the gut microbiota of the VT group was imbalanced, in contrast to the consistent homogeneity observed in the HC group. This pattern appeared similar throughout the microbial domains (Figure 2). On the other hand, virus showed a large variation among each sample in both groups, which could be because the gut virome is highly individualized with significant interpersonal variation but low intrapersonal diversity over time [13,14].
Overall, these findings indicate that the VT group has an imbalanced microbiome, with lower diversity and greater variability in microbial composition compared to the HC group. This pattern suggests that the microbiome in the VT group is less resilient and may lack the stability observed in the HC group.

2.3. Taxonomy Analysis

Taxonomic profiling reveals a distinct characteristic in microbial community structure in the VT group compared with the HC group. The three major bacterial phyla were Bacillota, Actinomycetota, and Bacteroidota in both groups. However, the VT group showed an imbalanced proportion of phyla dominated by Actinomycetota and Bacteroiota, although statistically not significant (Figure 3).
The bacterial diversity was found to be reduced in patients with vitiligo at the genus level. Faecalibacterium, Coprococcus, Ruminococcus, Roseburia, Ligilactobacillus, and Megamonas were reduced compared to the HC group, while Parabacteroides and Bifidobacterium were slightly enriched in the VT group (Figure 4). A variety of genus that showed significant differences, although with very low quantity, were distributed in HC groups (Figure 5). Although their roles are not well known, they are thought to be members that each have unique characteristics, and all contribute to the diversity of the microbial ecosystem.
Species-level analysis according to the most abundant species shows that Feacalibacterium prausnizii, Feacalibacterium duncanieae, and Megamonas funiformis were reduced and Bifidobacterium bifidum was enriched in the VT group compared to the HC group (Figure 6). The HC group were enriched by a wide variety of species, including Spiroplasma chrysopicola (p value = 0.000008), Dechloromonas sp. (p value = 0.000011), and Enterobacter bugandensis (p value = 0.000014) (Figure 7).
Among fungi, Zygotorulaspora mrakii was significantly enriched in vitiligo patients, while five species including Cryptococcus gattii VGI and Eremothecium gossypii showed significant depletion. For viruses, Lettuce infectious yellows virus showed enrichment in vitiligo, while crAssphage cr124_1 and Lughvirus lugh were depleted. Three archaeal species—Haloterrigena longa, Methanosalsum zhilinae, and Methanotorris igneus—showed positive enrichment in vitiligo patients while several species including Methanocaldococcus fervens, Methanoregula boonei, Methanofollis liminatans, Methanocella arvoryzae, and Methanocaldococcus sp. SG7 showed significant depletion in vitiligo patients (Figure 7).

2.4. Metabolic Pathway Enrichment Analysis

The comparative pathway analysis revealed distinct molecular signatures between vitiligo and healthy control groups. The vitiligo group showed significant enrichment in several key metabolic and biosynthetic pathways. Most notably, O-glycan biosynthesis pathways (both other types and mannose types) showed the highest enrichment (p value = 0.000155 and p value = 0.000639, respectively). Other significantly enriched pathways in the vitiligo group included terpenoid backbone biosynthesis (p value = 0.006250), RNA polymerase activity (p value = 0.007424), and lipoic acid metabolism (p value = 0.009682). Additionally, endocrine resistance (p value = 0.012151), spliceosome function (p value = 0.016534), and photosynthesis-related pathways (p value = 0.026934) were upregulated in vitiligo patients.
Conversely, the healthy control group showed enrichment in different pathways, with riboflavin metabolism showing the strongest association (p value = 0.001018), followed by bacterial chemotaxis (p value = 0.001982) and efferocytosis (p value = 0.004303). Notable enrichments were also observed in monobactam biosynthesis (p value = 0.004485), phenylalanine metabolism (p value = 0.008238), and cardiac muscle contraction (p value = 0.012696) (Figure 8).

3. Discussion

Our study examined the fact that the Korean vitiligo patients exhibited reduced gut microbial diversity and greater variability in microbial composition compared to the healthy control. The bacterial community in both groups primarily consisted of Bacillota, Actinomycetota, and Bacteroidota phyla, though vitiligo patients showed an imbalanced proportion dominated by Actinomycetota and Bacteroidota. At the species level, Feacalibacterium prausnizii, Feacalibacterium duncanieae, and Megamonas funiformis were reduced and Bifidobacterium bifidum was enriched in vitiligo patients. Among non-bacterial microbes, Zygotorulaspora mrakii (fungi), Lettuce infectious yellows virus, and several archaeal species were significantly enriched in vitiligo patients. Metabolic pathway analysis reveals vitiligo patients had significant enrichment in O-glycan biosynthesis. Overall, the findings indicate that vitiligo patients have a less resilient, less diverse, and more variable gut microbiome compared to healthy controls, suggesting microbiome dysbiosis may play a role in the disease.
Recent research highlights the significant role of epigenetic modifications triggered by environmental factors in autoimmune diseases. The gut microbiome can play a pivotal role in modulating epigenetic modifications that can influence the development and progression of autoimmune diseases [15]. Disruptions in the normal microbial community can alter the production of key metabolites like short-chain fatty acids, particularly butyrate, which functions as a histone deacetylase inhibitor and affects gene expression in immune cells [15,16]. Altered tryptophan metabolism has been implicated in autoimmune pathogenesis [17]. These changes can affect the innate immune response via the level of toll-like receptors of antigen-presenting cells and the adaptive immune response by regulating Th17/Treg balance and Treg differentiation [18,19]. Another mechanism by which gut microbiome alterations contribute to autoimmune disorders is through molecular mimicry, where the immune system attacks the body’s own tissues due to structural similarities between self-antigens and microbial components, triggering autoimmune responses [14,20]. Research has shown that restoration of a healthy gut microbiome through dietary intervention, probiotics, or fecal microbiota transplantation can help reverse some of these epigenetic modifications.
Several studies have investigated microbial dysbiosis in vitiligo pathogenesis. Ganju et al. demonstrated reduced alpha diversity in the gut microbiome of vitiligo patients [9]. Subsequent research by a European group focused on skin microbiome changes, revealing distinct dysbiosis patterns in vitiligo lesions compared to non-lesional sites [8]. Their study showed reduction in Bacteroides and Bifidobacterium and increased mitochondrial DNA in the deep layer of lesional skin. A Chinese group revealed that levels of 23 serum metabolites including taurochenodeoxycholate and L-NG-monomethyl-arginine were different in vitiligo patients from healthy control and showed correlation with microbial changes [21].
The latest investigations using advanced shotgun sequencing have provided deeper insights. Luan et al. observed decreased alpha diversity, with decreased Staphylococcus thermophiles and increased Bacteroides fragilis in patients with vitiligo [7]. They also identified enrichment of NOD-like receptor signaling pathways and alterations in metabolic molecules related to cysteine and galactose degradation. Comprehensive meta-analysis by Wang et al. synthesized data from multiple studies, confirming consistent patterns of reduced microbial diversity and altered metabolic pathways across different populations with vitiligo [22]. These findings collectively suggest that microbiome dysbiosis may play a crucial role in vitiligo pathogenesis and could represent a potential therapeutic target.
Our current study took a deeper look into gut dysbiosis of active spreading vitiligo patients compared with age, sex-matched Korean healthy population employing shotgun sequencing method. As expected, the taxonomic analysis revealed distinctive characteristics of gut microbiota in vitiligo patients. The reduction in alpha diversity across multiple microbial kingdoms, particularly pronounced in fungal species, suggests a broader disruption of the microbial ecosystem. This reduced diversity could compromise the gut barrier function and immune regulation, potentially creating an environment conducive to autoimmune responses. The predominance of phyla Actinomycetota and Bacteroidota coupled with reduced microbial diversity indicates a potential shift from a healthy balanced microbiome to an imbalanced and potentially pro-inflammatory state. In a meta-analysis, gut microbial changes in the phyla Bacteroidota and Actinomycetota have been implicated in multiple autoimmune conditions [23].
In species level, vitiligo patients showed significantly reduced Faecalibacterium prausnitzii, Faecalibacterium duncaniae, and Meganonas funiformis and increased Bifidobacteirum bifidum. Faecalibacterium prausnitzii and Faecalibacterium duncanieae abundance have been reported to be decreased in inflammatory bowel diseases [24,25]. Faecalibacterium prasuntzii, which was also decreased in our vitiligo patients, exerts anti-inflammatory activity by inducing Treg cells through butyrate production. Faecalibacterium duncanieae has beneficial effects owing to its production of butyrate and other short-chain fatty acids, which are important for colonic epithelial cell metabolism and protection against colonic diseases [26,27]. Interestingly, Bifidobacterium bifidum, which is often considered a probiotic, was significantly increased in vitiligo patients. Only one patient in the vitiligo group reported taking probiotics, which limits our ability to draw conclusions about the relationship between probiotic use and Bifidobacterium bifidum levels. The observed increase in Bifidobacterium bifidum proportion may be due to an overall decrease in microbial diversity rather than an absolute increase in Bifidobacterium bifidum, and caution will be needed to interpret a causal relationship between the increased Bifidobacterium bifidum levels and vitiligo based on our current data. Therefore, additional research is required to elucidate the specific role of Bifidobacterium bifidum in vitiligo pathogenesis. Moreover, conflicting results have been reported regarding the abundance of Bifidobacterium in patients with various autoimmune diseases. In a recent paper, Bifidobacterium and Lactobacillus has been found to be increased in active inflammatory bowel disease and Behcet’s disease [22,28].
Tolypothrix sp. PCC 7910, Helicobacter suis, Paenibacillus xylanexedens, Vibrio aquimaris, and Mycolicibacterium alvei were significantly increased in vitiligo patients, although they occupied little abundance. Tolypothrix is a type of filamentous cyanobacteria that produces a diverse range of metabolites particularly in neurodegenerative diseases through mechanisms like protein misincorporation or mitochondrial dysfunction [29]. Helicobacter suis is associated with chronic gastritis, peptic ulcer disease, gastric mucosa-associated lymphoid tissue lymphoma, and decreased daily weight gain [30,31]. Helicobacter suis infection changed the mucin composition and glycosylation in animal studies [30], implying that Helicobacter species could inhibit mucus-based defenses. Paenibacillus xylanexedens, a universal bacteria that degrades xylan [18], has been previously classified as Bacillus groups by 16s rRNA sequencing. In vitro studies and animal studies showed its ability to suppress the number of the Escherichia coli; however, its role in humans is not known [32].
The reduction in certain bacterial populations that were predominant in healthy individuals could be the result of the increase in the above dominant species, or it may be the primary cause of the disease, which requires further validation. The decreased abundance of species within Proteobacteriasuch as Enterobacter bugandensis and Neisseria flavescens, which contribute to a healthy gut microbial system, suggests a compromised gut microbial environment that may fail to maintain proper immune homeostasis.
The strong enrichment of O-glycan biosynthesis pathways in vitiligo patients could suggest several things. Certain enriched microbes in vitiligo patients including bifidobacterium may break down O-glycans and use them for energy and carbon. Secondly, O-glycans are a key component of mucus in the intestinal tract that interacts with gut bacteria, implying that potential alterations in protein glycosylation could affect cellular recognition and immune responses [33]. Moreover, these glycan chains act as self-associated molecular patterns, storing crucial biological information for the immune system. Altered IgG glycosylation pattern was discovered in rheumatoid arthritis patients [34]. In vivo study suggested that modulating IgG sialylation could attenuate autoimmune diseases in mouse models and be a potential new strategy for the treatment of autoimmune diseases [35]. Further analysis of O-glycosylation repertoire in vitiligo patients will be necessary to confirm our finding. The enrichment of endocrine resistance pathways in vitiligo patients may indicate that certain bacteria promoting endocrine resistance to hormones in vitiligo patients, suggesting a potential hormonal component in disease progression.
On the other hand, the riboflavin metabolism and bacterial chemotaxis pathways were significantly enriched in healthy controls. Riboflavin, or vitamin B2, is an essential nutrient crucial for various metabolic processes, particularly in mitochondrial function [36]. Riboflavin serves as a precursor for flavin cofactors, which are involved in various processes, including mitochondrial electron transport and fatty acid β-oxidation [37]. It seems relevant with increasing evidence indicating mitochondrial dysfunction in vitiligo patients [38,39]. Inappropriate bacterial chemotaxis could lead to chronic inflammation or missing many pathogenic bacteria lacking this chemotaxis, which could indicate the increased pathogenic or decreased protective bacteria in vitiligo patients.
Our study intended to find microbial factors that cause the progression of vitiligo, focusing on the comparison between active progressing vitiligo patients. This distinctive patient selection provides a unique perspective compared to previous research in the field. Unlike previous studies on vitiligo and gut microbiome dysbiosis, which primarily focused on Western or Chinese populations, our study is the first to investigate Korean vitiligo patients using shotgun metagenomic sequencing (Table A1). Shotgun sequencing offers several advantages over 16S rRNA sequencing for gut microbiome analysis. It provides enhanced detection of bacterial species, increased diversity, and improved prediction of genes [40]. Shotgun sequencing also allows for deeper characterization of microbiome complexity, identifying a larger number of species per sample [41]. It has more power to detect less abundant taxa, which can be biologically meaningful in discriminating between experimental conditions [42].
This study has several limitations. The number of samples was limited, and we utilized Korean healthy control data from the previously published report. Therefore, we could not control many environmental factors such as diet, medications, and family members. Gut microbiome is known to be primarily affected by environmental factors including diet, drugs, family members, and intestinal motility [43]. However, given Korea’s distinct dietary patterns and potential microbial differences, studying Korean patients provides novel insights into population-specific variations in vitiligo-associated gut dysbiosis. Further studies with larger sample size will be required to elucidate the findings in our study.

4. Materials and Methods

4.1. Materials

Stool samples were collected from 10 Korean adult vitiligo patients who were diagnosed and treated at The Catholic University of Korea, St. Vincent’s Hospital. These samples were collected sequentially from August 2022 to March 2023, with participants aged from their 20s to 50s, including 2 females and 8 males. Each sample had a read length of 151 bp and was labeled in the collection order as VT1 to VT10. Comparative analyses were conducted between these VT samples and those from a healthy adult control group. We selected stool samples from healthy adults who visited Hanyang University Hospital for the healthy control (HC) group [43]. The HC group consisted of individuals in their 30s, 40s, and 50s, including 8 males and 29 females. Regarding medical history, 11.5% of the participants reported having been prescribed antibiotics in the past year, 34.4% reported not visiting a hospital, and 50.8% visited a hospital fewer than three times during the past year. These samples were obtained from the PRJEB33013 project on the European Nucleotide Archive (ENA), and each sample had a read length of 151 bp [44].

4.2. Demographic Matching for Comparative Analysis

Demographic alignment between the VT and HC groups was achieved through systematic sampling to adjust for age and sex distributions. Twenty samples were systematically extracted from this subset to establish proportional representation corresponding to the VT group’s demographic parameters. This statistical approach yielded 10,478,160 possible sample combinations, where we conducted statistical tests (described in the subsequent section) across all combinations. Additionally, by maintaining proportionality in age and sex while maximizing the number of samples reviewed, we were able to capture trends across the groups more effectively. This sampling approach ensured robust comparative analyses while maintaining demographic homogeneity between cohorts (Figure A1).

4.3. Shotgun Sequencing Data Analysis

Shotgun sequencing was conducted to classify each read into its respective taxon, thereby estimating the relative abundance of microbiome taxa and obtaining metabolic pathway data. Raw data for the VT and HC groups were provided in fastq file format, and initial quality control was performed using Sickle (ver. 1.33) [45]. This tool removes low-quality reads, excluding those with quality scores below 20 or lengths under 100 bp to ensure data reliability. Since this is whole-genome sequencing without an amplification process, a high presence of host genome sequences was anticipated. To address this, BWA-MEM2 (ver. 2.2.1) was used to retain only the reads that did not map to the human genome [46].

4.4. Taxonomic Classification

For taxonomic classification, Kraken2 was employed. Kraken2 is a highly efficient and accurate tool based on k-mer analysis, which classifies reads to specific taxa. Reads were divided into 35-mers, and each k-mer was compared to the NCBI RefSeq database we constructed, which included bacterial, archaeal, viral, and fungal genomes [47,48]. Kraken2 calculates the weighted sum of k-mers to assign each read to the most suitable taxon, allowing us to determine the relative abundance of microbial taxa.

4.5. Calculation of Diversity Indices

Next, we calculated alpha diversity and beta diversity based on Kraken2 results. Alpha diversity is a measure of microbial diversity within each sample, reflecting both species’ richness and evenness. For alpha diversity analysis, we used indices such as the Shannon index and Simpson index [49]. Beta diversity assesses the differences in microbial community composition between the VT and HC groups by comparing microbial communities across samples. For beta diversity, we used non-metric multidimensional scaling (NMDS) to represent rank-based dissimilarities in community structure [50]. NMDS focuses on the rank order of sample distances, allowing for a flexible, non-linear representation of differences between samples based on community composition. This method enabled us to highlight differences in microbial community structure between the VT and HC groups. Results from the beta diversity analysis were visualized using NMDS plots, allowing for a clear comparison of microbial community differences between the groups.

4.6. Estimation of Metabolic Pathway Enrichment

The HMP Unified Metabolic Analysis Network (HUMANN3.0) was used to analyze the metabolic functions of the microbial communities. HUMANN3.0 maps shotgun sequencing reads to known gene families and links these to metabolic pathways. Using information from the taxonomic classification, reads were assigned based on amino acid sequences to specific pathways by referencing protein information and annotations in the UniRef database [51,52]. This allowed us to calculate the relative abundance of genes and pathways within the microbial communities. Additionally, HUMANN results were further processed to convert metabolic data into Kyoto Encyclopedia of Genes and Genomes (KEGG) pathways for downstream analysis, enabling a more comprehensive exploration of metabolic functions within the microbial communities.

4.7. Statistical Analysis

In the demographic matching process, 20 out of 37 HC samples were selected for comparison with the VT group using the Wilcoxon rank-sum test. Comparison of taxonomic, metabolic, and alpha diversity between the two groups were conducted by Wilcoxon rank-sum test. All analyses were conducted using the R (ver. 4.3.3).

5. Conclusions

Overall, these findings indicate that the VT group has a gut microbial imbalance, characterized by reduced diversity and greater variability in microbial composition compared to the HC group. This pattern suggests that the microbiome in the VT group is less resilient and may lack the stability or homeostasis observed in the HC group. These contribute to our understanding of the gut–skin axis in vitiligo and suggest that gut microbiota modulation could be a potential therapeutic target. Future studies should investigate whether restoration of these altered microbial communities could help in disease management or prevention.

Author Contributions

Conceptualization, H.J.J.; methodology, J.M.B. and Y.B.L.; validation, J.H.L. and M.L.; formal analysis, W.H.S. and J.H.S.; investigation, W.H.S.; resources, Y.B.L. and M.L.; data curation, J.M.B.; writing—original draft preparation, H.J.J.; writing—review and editing, Y.B.L. and M.L.; visualization, W.H.S. and J.H.S.; supervision, M.L.; project administration, H.J.J.; funding acquisition, H.J.J. All authors have read and agreed to the published version of the manuscript.

Funding

The authors wish to acknowledge the financial support of the Catholic Medical Center Research Foundation made in the program year of 2024.

Institutional Review Board Statement

The study was conducted in accordance with the Declaration of Helsinki, and approved by the Institutional Review Board of St. Vincent’s Hospital (protocol code VC20TISI0167, date of approval 18 August 2020).

Informed Consent Statement

Informed consent was obtained from all subjects involved in the study.

Data Availability Statement

The raw sequencing data generated in this study have been deposited in the NCBI Sequence Read Archive (SRA) under BioProject accession number PRJNA1222148. The data are publicly available.

Acknowledgments

This work was supported by Korea Research Environment Open NETwork (KREONET), which is managed and operated by Korea Institute of Science and Technology Information (KISTI).

Conflicts of Interest

The authors declare no conflicts of interest.

Appendix A

Figure A1. Demographic matching of vitiligo (VT) and healthy control (HC) groups for comparative analysis.
Figure A1. Demographic matching of vitiligo (VT) and healthy control (HC) groups for comparative analysis.
Ijms 26 02939 g0a1
Table A1. Summary of clinical studies about gut microbiome in vitiligo patients.
Table A1. Summary of clinical studies about gut microbiome in vitiligo patients.
Author and YearCountryMethodologySample SizeAlpha Diversity Compared to ControlsBeta DiversityMain FindingsPathway AnalysisMetabolome Data
Bzioueche et al., 2021 [8]France16S rRNA10 vitiligo, 10 controlsReduced Significantly altered microbial compositionReduced Bacteroides Not availableNot available
Kumar et al., 2024 [53]India16S rRNA22 vitiligo, 10 controlsReduced Significantly altered microbial compositionReduced SCFA-producing taxa; increased gut mucosal degradation genesNot availableSCFA reduction
Ni et al., 2020 [21]China16S rRNA30 vitiligo, 30 controlsReducedSignificantly altered microbial compositionDecreased Bacteroidetes to Firmicutes ratio; increased Corynebacterium and PsychrobacterNot available23 altered metabolites, including taurochenodeoxycholate
Wu et al., 2023 [54]China16S rRNA32 vitiligo, 27 controlsNot availableSignificantly altered microbial compositionIncreased Firmicutes-to-Bacteroidota ratio in the young adult vitiligo patients;
increased Megamonas, Bifidobacterium and Psychrobacter
Paraxanthine, caffeine, and xanthosine from caffeine metabolism pathway downregulated in young vitiligo1,7-dimethyl uric
acid reduction
Luan et al., 2023 [7]ChinaShotgun25 vitiligo, 25 healthy controlReduced No significant differencePhylum: increased Bacillota; decreased Bacteroidota species: reduced Staphylococcus thermophiles; increased Bacteroides fragilisNOD-like receptor signaling pathway enriched in vitiligoCysteine degradation down-regulated, and galactose degradation up-regulated
Our studySouth KoreaShotgun10 active spreading vitiligo, 20 controlsReduced Significantly altered microbial compositionPhylum: Actinomycetota and Bacteroidota dominance in vitiligo
Species: Feacalibacterium prausnizii, Feacalibacterium duncanieae, and Megamonas funiformis were reduced and Bifidobacterium bifidum was enriched
O-glycan biosynthesis enriched in vitiligoNot available

References

  1. Ezzedine, K.; Eleftheriadou, V.; Whitton, M.; van Geel, N. Vitiligo. Lancet 2015, 386, 74–84. [Google Scholar]
  2. Ezzedine, K.; Soliman, A.M.; Li, C.; Camp, H.S.; Pandya, A.G. Comorbidity Burden Among Patients with Vitiligo in the United States: A Large-Scale Retrospective Claims Database Analysis. Dermatol. Ther. 2023, 13, 2265–2277. [Google Scholar]
  3. Spritz, R.A.; Santorico, S.A. The Genetic Basis of Vitiligo. J. Investig. Dermatol. 2021, 141, 265–273. [Google Scholar] [PubMed]
  4. Bhutta, N.K.; Xu, X.; Jian, C.; Wang, Y.; Liu, Y.; Sun, J.; Han, B.; Wu, S.; Javeed, A. Gut microbiota mediated T cells regulation and autoimmune diseases. Front. Microbiol. 2024, 15, 1477187. [Google Scholar]
  5. Mousa, W.K.; Chehadeh, F.; Husband, S. Microbial dysbiosis in the gut drives systemic autoimmune diseases. Front. Immunol. 2022, 13, 906258. [Google Scholar]
  6. Oliveira, G.L.V.d. The Gut Microbiome in Autoimmune Diseases. In Microbiome and Metabolome in Diagnosis, Therapy, and Other Strategic Applications; Academic Press: Cambridge, MA, USA, 2019. [Google Scholar]
  7. Luan, M.; Niu, M.; Yang, P.; Han, D.; Zhang, Y.; Li, W.; He, Q.; Zhao, Y.; Mao, B.; Chen, J.; et al. Metagenomic sequencing reveals altered gut microbial compositions and gene functions in patients with non-segmental vitiligo. BMC Microbiol. 2023, 23, 265. [Google Scholar]
  8. Bzioueche, H.; Simonyté Sjödin, K.; West, C.E.; Khemis, A.; Rocchi, S.; Passeron, T.; Tulic, M.K. Analysis of Matched Skin and Gut Microbiome of Patients with Vitiligo Reveals Deep Skin Dysbiosis: Link with Mitochondrial and Immune Changes. J. Investig. Dermatol. 2021, 141, 2280–2290. [Google Scholar]
  9. Ganju, P.; Nagpal, S.; Mohammed, M.H.; Nishal Kumar, P.; Pandey, R.; Natarajan, V.T.; Mande, S.S.; Gokhale, R.S. Microbial community profiling shows dysbiosis in the lesional skin of Vitiligo subjects. Sci. Rep. 2016, 6, 18761. [Google Scholar]
  10. Dellacecca, E.R.; Cosgrove, C.; Mukhatayev, Z.; Akhtar, S.; Engelhard, V.H.; Rademaker, A.W.; Knight, K.L.; Le Poole, I.C. Antibiotics Drive Microbial Imbalance and Vitiligo Development in Mice. J. Investig. Dermatol. 2020, 140, 676–687.e676. [Google Scholar]
  11. Peralta-Pedrero, M.L.; Morales-Sánchez, M.A.; Cruz-Peralta, A.; Guerrero-Oliva, G. [Translated article] Quantification of the Progression Rate in Vitiligo and Prognostic Implications. Actas Dermosifiliogr. 2024, 115, T505–T507. [Google Scholar]
  12. Bars-Cortina, D.; Ramon, E.; Rius-Sansalvador, B.; Guinó, E.; Garcia-Serrano, A.; Mach, N.; Khannous-Lleiffe, O.; Saus, E.; Gabaldón, T.; Ibáñez-Sanz, G.; et al. Comparison between 16S rRNA and shotgun sequencing in colorectal cancer, advanced colorectal lesions, and healthy human gut microbiota. BMC Genom. 2024, 25, 730. [Google Scholar]
  13. Moreno-Gallego, J.L.; Chou, S.-P.; Rienzi, S.C.D.; Goodrich, J.; Spector, T.D.; Bell, J.T.; Youngblut, N.D.; Hewson, I.; Reyes, A.; Reyes, A.; et al. Virome Diversity Correlates with Intestinal Microbiome Diversity in Adult Monozygotic Twins. Cell Host Microbe 2019, 25, 261–272.e265. [Google Scholar] [PubMed]
  14. Reyes, A.; Haynes, M.; Hanson, N.C.; Angly, F.E.; Heath, A.C.; Rohwer, F.L.; Gordon, J.I. Viruses in the fecal microbiota of monozygotic twins and their mothers. Nature 2010, 466, 334–338. [Google Scholar] [PubMed]
  15. Chen, B.; Sun, L.; Zhang, X. Integration of microbiome and epigenome to decipher the pathogenesis of autoimmune diseases. J. Autoimmun. 2017, 83, 31–42. [Google Scholar] [CrossRef] [PubMed]
  16. Kobayashi, T.; Matsuoka, K.; Sheikh, S.Z.; Russo, S.M.; Mishima, Y.; Collins, C.; DeZoeten, E.F.; Karp, C.L.; Ting, J.P.; Sartor, R.B. IL-10 regulates Il12b expression via histone deacetylation: Implications for intestinal macrophage homeostasis. J. Immunol. 2012, 189, 1792–1799. [Google Scholar] [PubMed]
  17. Brown, J.; Robusto, B.; Morel, L. Intestinal Dysbiosis and Tryptophan Metabolism in Autoimmunity. Front. Immunol. 2020, 11, 1741. [Google Scholar]
  18. Abdollahi-Roodsaz, S.; Joosten, L.A.; Koenders, M.I.; Devesa, I.; Roelofs, M.F.; Radstake, T.R.; Heuvelmans-Jacobs, M.; Akira, S.; Nicklin, M.J.; Ribeiro-Dias, F.; et al. Stimulation of TLR2 and TLR4 differentially skews the balance of T cells in a mouse model of arthritis. J. Clin. Investig. 2008, 118, 205–216. [Google Scholar]
  19. Maeda, Y.; Kurakawa, T.; Umemoto, E.; Motooka, D.; Ito, Y.; Gotoh, K.; Hirota, K.; Matsushita, M.; Furuta, Y.; Narazaki, M.; et al. Dysbiosis Contributes to Arthritis Development via Activation of Autoreactive T Cells in the Intestine. Arthritis Rheumatol. 2016, 68, 2646–2661. [Google Scholar]
  20. Rinaldi, M.; Perricone, R.; Blank, M.; Perricone, C.; Shoenfeld, Y. Anti-Saccharomyces cerevisiae autoantibodies in autoimmune diseases: From bread baking to autoimmunity. Clin. Rev. Allergy Immunol. 2013, 45, 152–161. [Google Scholar]
  21. Ni, Q.; Ye, Z.; Wang, Y.; Chen, J.; Zhang, W.; Ma, C.; Li, K.; Liu, Y.; Liu, L.; Han, Z.; et al. Gut Microbial Dysbiosis and Plasma Metabolic Profile in Individuals With Vitiligo. Front. Microbiol. 2020, 11, 592248. [Google Scholar]
  22. Wang, W.; Chen, L.; Zhou, R.; Wang, X.; Song, L.; Huang, S.; Wang, G.; Xia, B. Increased Proportions of Bifidobacterium and the Lactobacillus Group and Loss of Butyrate-Producing Bacteria in Inflammatory Bowel Disease. J. Clin. Microbiol. 2013, 52, 398–406. [Google Scholar] [CrossRef] [PubMed]
  23. Sai, A.; Shetty, G.B.; Shetty, P.; Nanjeshgowda, H.L. Influence of gut microbiota on autoimmunity: A narrative review. Brain Behav. Immun. Integr. 2024, 5, 100046. [Google Scholar] [CrossRef]
  24. Lopez-Siles, M.; Duncan, S.H.; Garcia-Gil, L.J.; Martinez-Medina, M. Faecalibacterium prausnitzii: From microbiology to diagnostics and prognostics. ISME J. 2017, 11, 841–852. [Google Scholar] [CrossRef] [PubMed]
  25. Cabezas-Cruz, A.; Bermúdez-Humarán, L.G. Exploring the relationship between Faecalibacterium duncaniae and Escherichia coli in inflammatory bowel disease (IBD): Insights and implications. Comput. Struct. Biotechnol. J. 2023, 23, 1–9. [Google Scholar] [CrossRef]
  26. Verstraeten, S.; Layec, S.; Auger, S.; Juste, C.; Henry, C.; Charif, S.; Jaszczyszyn, Y.; Sokol, H.; Beney, L.; Langella, P.; et al. Faecalibacterium duncaniae A2-165 regulates the expression of butyrate synthesis, ferrous iron uptake, and stress-response genes based on acetate consumption. Sci. Rep. 2024, 14, 987. [Google Scholar] [CrossRef] [PubMed]
  27. Chollet, L.; Heumel, S.; Deruyter, L.; Bouilloux, F.; Delval, L.; Robert, V.; Gevaert, M.-H.; Pichavant, M.; Sencio, V.; Robil, C.; et al. Faecalibacterium duncaniae as a novel next generation probiotic against influenza. Front. Immunol. 2024, 15, 1347676. [Google Scholar] [CrossRef]
  28. Shimizu, J.; Kubota, T.; Takada, E.; Takai, K.; Fujiwara, N.; Arimitsu, N.; Ueda, Y.; Wakisaka, S.; Suzuki, T.; Suzuki, N. Bifidobacteria Abundance-Featured Gut Microbiota Compositional Change in Patients with Behcet’s Disease. PLoS ONE 2016, 11, e0153746. [Google Scholar] [CrossRef]
  29. Nugumanova, G.; Ponomarev, E.D.; Askarova, S.; Fasler-Kan, E.; Barteneva, N.S. Freshwater Cyanobacterial Toxins, Cyanopeptides and Neurodegenerative Diseases. Toxins 2023, 15, 233. [Google Scholar] [CrossRef]
  30. Padra, M.; Adamczyk, B.; Flahou, B.; Erhardsson, M.; Chahal, G.; Smet, A.; Jin, C.; Thorell, A.; Ducatelle, R.; Haesebrouck, F.; et al. Helicobacter suis infection alters glycosylation and decreases the pathogen growth inhibiting effect and binding avidity of gastric mucins. Mucosal Immunol. 2019, 12, 784–794. [Google Scholar] [CrossRef]
  31. De Bruyne, E.; Flahou, B.; Chiers, K.; Meyns, T.; Kumar, S.; Vermoote, M.; Pasmans, F.; Millet, S.; Dewulf, J.; Haesebrouck, F.; et al. An experimental Helicobacter suis infection causes gastritis and reduced daily weight gain in pigs. Vet. Microbiol. 2012, 160, 449–454. [Google Scholar] [CrossRef]
  32. Ekim, B.; Calik, A.; Ceylan, A.; Saçaklı, P. Effects of Paenibacillus xylanexedens on growth performance, intestinal histomorphology, intestinal microflora, and immune response in broiler chickens challenged with Escherichia coli K88. Poult. Sci. 2020, 99, 214–223. [Google Scholar]
  33. Yamada, T.; Hino, S.; Iijima, H.; Genda, T.; Aoki, R.; Nagata, R.; Han, K.H.; Hirota, M.; Kinashi, Y.; Oguchi, H.; et al. Mucin O-glycans facilitate symbiosynthesis to maintain gut immune homeostasis. EBioMedicine 2019, 48, 513–525. [Google Scholar]
  34. Pinho, S.S.; Alves, I.; Gaifem, J.; Rabinovich, G.A. Immune regulatory networks coordinated by glycans and glycan-binding proteins in autoimmunity and infection. Cell. Mol. Immunol. 2023, 10, 1101–1113. [Google Scholar]
  35. Pagan, J.D.; Kitaoka, M.; Anthony, R.M. Engineered Sialylation of Pathogenic Antibodies In Vivo Attenuates Autoimmune Disease. Cell 2018, 172, 564–577.e13. [Google Scholar] [PubMed]
  36. Balasubramaniam, S.; Yaplito-Lee, J. In Riboflavin metabolism: Role in mitochondrial function. J. Transl. Genet. Genom. 2020, 4, 285–306. [Google Scholar]
  37. Henriques, B.J.; Olsen, R.K.; Bross, P.; Gomes, C.M. Emerging roles for riboflavin in functional rescue of mitochondrial β-oxidation flavoenzymes. Curr. Med. Chem. 2010, 17, 3842–3854. [Google Scholar] [PubMed]
  38. Sant’Anna-Silva, A.C.B.; Botton, T.; Rossi, A.; Dobner, J.; Bzioueche, H.; Thach, N.; Blot, L.; Pagnotta, S.; Kleszczynski, K.; Steinbrink, K.; et al. Vitiligo auto-immune response upon oxidative stress-related mitochondrial DNA release opens up new therapeutic strategies. Clin. Transl. Med. 2024, 14, e1810. [Google Scholar]
  39. Papaccio, F.; Bellei, B.; Ottaviani, M.; D’Arino, A.; Truglio, M.; Caputo, S.; Cigliana, G.; Sciuto, L.; Migliano, E.; Pacifico, A.; et al. A Possible Modulator of Vitiligo Metabolic Impairment: Rethinking a PPARγ Agonist. Cells 2022, 11, 3583. [Google Scholar] [CrossRef]
  40. Ranjan, R.; Rani, A.; Metwally, A.; McGee, H.S.; Perkins, D.L. Analysis of the microbiome: Advantages of whole genome shotgun versus 16S amplicon sequencing. Biochem. Biophys. Res. Commun. 2016, 469, 967–977. [Google Scholar]
  41. Laudadio, I.; Fulci, V.; Palone, F.; Stronati, L.; Cucchiara, S.; Carissimi, C. Quantitative Assessment of Shotgun Metagenomics and 16S rDNA Amplicon Sequencing in the Study of Human Gut Microbiome. Omics 2018, 22, 248–254. [Google Scholar]
  42. Durazzi, F.; Sala, C.; Castellani, G.; Manfreda, G.; Remondini, D.; De Cesare, A. Comparison between 16S rRNA and shotgun sequencing data for the taxonomic characterization of the gut microbiota. Sci. Rep. 2021, 11, 3030. [Google Scholar]
  43. Rothschild, D.; Weissbrod, O.; Barkan, E.; Kurilshikov, A.; Korem, T.; Zeevi, D.; Costea, P.I.; Godneva, A.; Kalka, I.N.; Bar, N.; et al. Environment dominates over host genetics in shaping human gut microbiota. Nature 2018, 555, 210–215. [Google Scholar]
  44. Kim, J.; Park, K.Y.; Park, H.K.; Hwang, H.S.; Seo, M.R.; Kim, B.; Cho, Y.; Rho, M.; Pai, H. High fecal carriage of bla(CTX-M), bla(CMY-2), and plasmid-mediated quinolone resistance genes among healthy Korean people in a metagenomic analysis. Sci. Rep. 2021, 11, 5874. [Google Scholar]
  45. Joshi, N.; Fass, J. Sickle: A Sliding-Window, Adaptive, Quality-Based Trimming Tool for FastQ Files (Version 1.33) [Software]. 2011. Available online: https://github.com/najoshi/sickle (accessed on 19 March 2025).
  46. Li, H. Aligning sequence reads, clone sequences and assembly contigs with BWA-MEM. arXiv 2013, arXiv:1303.3997. [Google Scholar]
  47. Wood, D.E.; Lu, J.; Langmead, B. Improved metagenomic analysis with Kraken 2. Genome Biol. 2019, 20, 257. [Google Scholar]
  48. Wood, D.E.; Salzberg, S.L. Kraken: Ultrafast metagenomic sequence classification using exact alignments. Genome Biol. 2014, 15, R46. [Google Scholar] [CrossRef]
  49. Whittaker, R.H. Evolution and measurement of species diversity. Taxon 1972, 21, 213–251. [Google Scholar]
  50. Legendre, P.; Gallagher, E.D. Ecologically meaningful transformations for ordination of species data. Oecologia 2001, 129, 271–280. [Google Scholar]
  51. Abubucker, S.; Segata, N.; Goll, J.; Schubert, A.M.; Izard, J.; Cantarel, B.L.; Rodriguez-Mueller, B.; Zucker, J.; Thiagarajan, M.; Henrissat, B. Metabolic reconstruction for metagenomic data and its application to the human microbiome. PLoS Comput. Biol. 2012, 8, e1002358. [Google Scholar] [CrossRef]
  52. Franzosa, E.A.; McIver, L.J.; Rahnavard, G.; Thompson, L.R.; Schirmer, M.; Weingart, G.; Lipson, K.S.; Knight, R.; Caporaso, J.G.; Segata, N. Species-level functional profiling of metagenomes and metatranscriptomes. Nat. Methods 2018, 15, 962–968. [Google Scholar]
  53. Kumar, S.; Mahajan, S.; Kale, D.; Chourasia, N.; Khan, A.; Asati, D.; Kotnis, A.; Sharma, V.K. Insights into the gut microbiome of vitiligo patients from India. BMC Microbiol. 2024, 24, 440. [Google Scholar] [CrossRef] [PubMed]
  54. Wu, Q.; Cheng, P.; Shao, T.; Li, Z.; Ji, Q.; Wang, L.; Yao, S.; Lu, B. Alterations of gut microbiota and gut metabolites in the young-adult vitiligo patients. J. Eur. Acad. Dermatol. Venereol. 2023, 37, e904–e907. [Google Scholar] [CrossRef] [PubMed]
Figure 1. The α-diversity analysis of gut microbiota in vitiligo (VT) and health control (HC) groups at species level using (A) Shannon’s diversity, (B) Simpson’s diversity. ** p value < 0.01.
Figure 1. The α-diversity analysis of gut microbiota in vitiligo (VT) and health control (HC) groups at species level using (A) Shannon’s diversity, (B) Simpson’s diversity. ** p value < 0.01.
Ijms 26 02939 g001
Figure 2. The β-diversity analysis of gut microbiome in vitiligo (VT, blue) and health control (HC, red) groups using NMDS plot across multiple microbial domains: (A) Overall microbial community, (B) Bacteria, (C) Fungi, (D) Virus, and (E) Archea. * p value < 0.05, ** p value < 0.01.
Figure 2. The β-diversity analysis of gut microbiome in vitiligo (VT, blue) and health control (HC, red) groups using NMDS plot across multiple microbial domains: (A) Overall microbial community, (B) Bacteria, (C) Fungi, (D) Virus, and (E) Archea. * p value < 0.05, ** p value < 0.01.
Ijms 26 02939 g002
Figure 3. The gut microbial composition of all domains at the phylum level between the vitiligo (VT) and healthy control (HC) groups.
Figure 3. The gut microbial composition of all domains at the phylum level between the vitiligo (VT) and healthy control (HC) groups.
Ijms 26 02939 g003
Figure 4. The gut microbial abundance of the vitiligo (VT) and healthy control (HC) groups at the genus level. * p value < 0.05, ** p value < 0.01.
Figure 4. The gut microbial abundance of the vitiligo (VT) and healthy control (HC) groups at the genus level. * p value < 0.05, ** p value < 0.01.
Ijms 26 02939 g004
Figure 5. The most significantly enriched genus between the vitiligo (VT, blue) and healthy control (HC, red) groups across multiple microbial domains: (A) Overall microbial community, (B) Bacteria, (C) Fungi, (D) Virus, and (E) Archaea. The color scale represents the log-transformed mean p value, indicating the statistical significance of each pathway and the lower p values are indicated in darker color gradient.
Figure 5. The most significantly enriched genus between the vitiligo (VT, blue) and healthy control (HC, red) groups across multiple microbial domains: (A) Overall microbial community, (B) Bacteria, (C) Fungi, (D) Virus, and (E) Archaea. The color scale represents the log-transformed mean p value, indicating the statistical significance of each pathway and the lower p values are indicated in darker color gradient.
Ijms 26 02939 g005
Figure 6. The gut microbial abundance of the vitiligo (VT) and healthy control (HC) groups at the species level. * p value < 0.05.
Figure 6. The gut microbial abundance of the vitiligo (VT) and healthy control (HC) groups at the species level. * p value < 0.05.
Ijms 26 02939 g006
Figure 7. The most significantly enriched species between the vitiligo (VT, blue) and healthy control (HC, red) groups across multiple microbial domains: (A) Overall microbial community, (B) Bacteria, (C) Fungi, (D) Virus, and (E) Archaea. The color scale represents the log-transformed mean p value, indicating the statistical significance of each pathway and the lower p values are indicated in darker color gradient.
Figure 7. The most significantly enriched species between the vitiligo (VT, blue) and healthy control (HC, red) groups across multiple microbial domains: (A) Overall microbial community, (B) Bacteria, (C) Fungi, (D) Virus, and (E) Archaea. The color scale represents the log-transformed mean p value, indicating the statistical significance of each pathway and the lower p values are indicated in darker color gradient.
Ijms 26 02939 g007
Figure 8. The pathway analysis of the vitiligo (VT, blue) and health control (HC, red) groups. The color scale represents the log-transformed mean p value, indicating the statistical significance of each pathway and the lower p values are indicated in darker color gradient.
Figure 8. The pathway analysis of the vitiligo (VT, blue) and health control (HC, red) groups. The color scale represents the log-transformed mean p value, indicating the statistical significance of each pathway and the lower p values are indicated in darker color gradient.
Ijms 26 02939 g008
Disclaimer/Publisher’s Note: The statements, opinions and data contained in all publications are solely those of the individual author(s) and contributor(s) and not of MDPI and/or the editor(s). MDPI and/or the editor(s) disclaim responsibility for any injury to people or property resulting from any ideas, methods, instructions or products referred to in the content.

Share and Cite

MDPI and ACS Style

Ju, H.J.; Song, W.H.; Shin, J.H.; Lee, J.H.; Bae, J.M.; Lee, Y.B.; Lee, M. Characterization of Gut Microbiota in Patients with Active Spreading Vitiligo Based on Whole-Genome Shotgun Sequencing. Int. J. Mol. Sci. 2025, 26, 2939. https://doi.org/10.3390/ijms26072939

AMA Style

Ju HJ, Song WH, Shin JH, Lee JH, Bae JM, Lee YB, Lee M. Characterization of Gut Microbiota in Patients with Active Spreading Vitiligo Based on Whole-Genome Shotgun Sequencing. International Journal of Molecular Sciences. 2025; 26(7):2939. https://doi.org/10.3390/ijms26072939

Chicago/Turabian Style

Ju, Hyun Jeong, Woo Hyun Song, Ji Hae Shin, Ji Hae Lee, Jung Min Bae, Young Bok Lee, and Minho Lee. 2025. "Characterization of Gut Microbiota in Patients with Active Spreading Vitiligo Based on Whole-Genome Shotgun Sequencing" International Journal of Molecular Sciences 26, no. 7: 2939. https://doi.org/10.3390/ijms26072939

APA Style

Ju, H. J., Song, W. H., Shin, J. H., Lee, J. H., Bae, J. M., Lee, Y. B., & Lee, M. (2025). Characterization of Gut Microbiota in Patients with Active Spreading Vitiligo Based on Whole-Genome Shotgun Sequencing. International Journal of Molecular Sciences, 26(7), 2939. https://doi.org/10.3390/ijms26072939

Note that from the first issue of 2016, this journal uses article numbers instead of page numbers. See further details here.

Article Metrics

Back to TopTop